Браун, Дэниель Макгилливрей
| Дэниель Макгилливрей Браун | |
|---|---|
| Daniel McGillivray Brown | |
| |
| Дата рождения | 3 февраля 1923 |
| Место рождения | |
| Дата смерти | 24 апреля 2012 (89 лет) |
| Место смерти | |
| Страна | |
| Род деятельности | химик |
| Альма-матер | |
| Награды и премии | |
Дэниель Макгилливрей Браун (англ.: Daniel McGillivray Brown 3 февраля 1923 г., Гиффнок - 24 апреля 2012 г., Кембридж, Великобритания) – британский химик-биоорганик, своими исследованиями заложивший основные представления о структуре РНК и ДНК, внесший значительный вклад в представления о мутагенезе.
Ранние годы
Браун вырос в Гиффноке, маленьком городке на южной стороне Глазго. Его предки по отцовской линии прибыли туда в 1844 году и открыли чайную «Дэнни Браун». Отец Брауна, Дэвид, продолжил бизнес, хотя сам надеялся стать инженером, как его отец во время Первой мировой войны. Мать Брауна, Кэтрин, была учительницей. Браун учился в Академии Глазго – платной гимназии, где его учителем химии был А.Дж. Ми, который позже, в 1964 году, написал очень известный учебник «Физическая химия». В сарае, построенном его отцом на заднем дворе дома, он производил опыты, получая хлороформ и газообразный хлористый водород из поваренной соли и концентрированной серной кислоты.С 1941 года учился в Университете Глазго, который закончил с отличием и получил место в Институте Честера Битти, а затем в Хэмпстеде, Лондон[1].
Институт Честера Битти, 1948–1953 годы
Должность Браун получил по рекомендации главы химического отдела Глазго Дж. У. Кука. Кук и Э. Л. Кеннауэй вместе с Израэлем Хейглером смогли получить из каменноугольной смолы первый чистый кристаллический бензопирен и другие родственные канцерогены. В это время исследования рака начали получать развитие, появилась концепция о том, что канцерогены в низких концентрациях могут быть ингибиторами опухолей. Синтезы этих соединений были основаны на том факте, что диэтилстилбоэстрол и другие эстрогены считались полезными для лечения больных раком. Задача Брауна заключалась в создании гетероциклических производных стильбена, исследование которых было опубликовано в 1948 году в Journal of the Chemical Society [1][2], механизм канцерогенеза в то время активно обсуждался в Институте.
Молодой генетик Энтони Лавлесс излагал свою теорию о том, что канцерогенные алкилирующие агенты являются мутагенами нуклеиновых кислот, которые считались генетическим материалом,что отразилось в книге 1966 года «Генетические и родственные эффекты алкилирующих агентов», в то время как некоторые другие по-прежнему утверждали, что нуклеиновые кислоты не имеют ничего общего с основами генетики и наследственности. Браун заинтересовался предметом нуклеиновых кислот, когда его исследования на степень доктора философии подошли к концу. В дальнейшем Браун был направлен химическом факультете в Кембридже, где Александр Тодд создавал свою лабораторную группу.
Годы работы с Тоддом (1953–1958) и структура РНК
В Кембридже Брауна сначала направили в Christ’s колледж , поскольку Браун хотел получить еще одну докторскую степень, так как его не устраивало качество своей квалификации, полученной в Chester Beatty. Компания выпускников и аспирантов, собранная Тоддом, включала большое количество зарубежных аспирантов, что особенно поразило Брауна. Тодд занял кафедру химии в 1944 году, приехав из Манчестера. Он продвинулся в синтезе нуклеозидов со своим основным сотрудником Бэзилом Литгоу . Браун приехал в 1948 году.
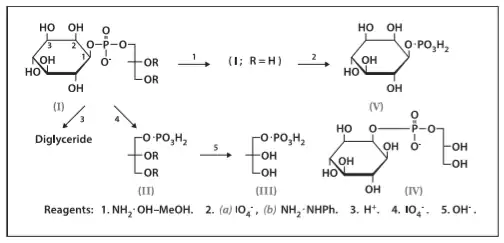
Первой работой Брауна с Бэзилом Литгоу был химический синтез некоторых нуклеозидов. Он намеревался окончательно подтвердить химическую структуру фуранозы сахарной части нуклеозидов в природных нуклеиновых кислотах, о которой только на этом этапе можно было догадаться. Очень скоро Браун и Бэзил доказали, что действительно все четыре компонента 2 -деоксинуклеозида ДНК были устойчивы к окислению периодатом натрия, тем самым доказав их химическую структуру фуранозы, а не пиранозы, для которой потребовались бы две соседние гидроксильные группы, что было опубликовано в Journal of the Chemical Society в 1950 г [3].
Следующая работа Брауна привела к химическим структурам РНК и, соответственно, ДНК. Эта работа началась с селективного фосфорилирования нуклеозидов с образованием нуклеотидов. Хотя работа Левена и Харриса в 1932 г. по гидролизу РНК позволила предположить, что межнуклеотидная связь образовалась через 3’-гидроксильное положение сахара, но все еще оставались неопределенности, потому что ферменты, используемые в этой области, не обладали достаточной степенью очистки и сильно разлагались. В 1948 году, было показано, что на самом деле не один, а два нуклеотида (а и b) для каждого основания образуются гидролитически и во всех случаях изомеры a были 2’-фосфатами, а изомеры b были 3’ -фосфатами[4] . В кислых условиях изомеры взаимно превращались через 2’,3’-циклический фосфат, что в дальнейшем проверялось путем их синтеза.
Эта работа была представлена Тоддом на конференции Американского химического общества летом 1951 года, где обсуждались последствия для 3’–5’ (или 2’–5’) межнуклеотидных связей в РНК и ДНК (5). Окончательно 3'-5' связь междунуклеотидами была доказана ферментативно с помощью рибонуклеазы А (РНКазы А) при действии на гомополимеры нуклеотидов - в результате получались 2’-3’ -циклические фосфаты. Позже было показано , что только 3’- эфиры (а не 2’-эфиры) гидролизуются нуклеазными ферментами.
Работая в это время с Мелом Фридом, Браун провел по предложению Тодда несколько экспериментов [5]. Много лет спустя, в 1970-х, эти результаты легли в основу некоторых методов секвенирования РНК.
Структура ДНК
Работа над структурой РНК имела, конечно же, глубокие последствия и для соответствующей структуры ДНК. Браун и другие члены группы Тодда имели тесное общение с Фрэнсисом Криком и Джимом Уотсоном и, таким образом, держали их в курсе событий в области химической структуры РНК. Работа Брауна, вместе с Майкельсоном, Декером и другими по циклонуклеозидам привела к выводу, что ДНК, как и РНК, содержит 3'-5' связи. Уотсон и Крик начали действовать, обнаружив на основании наблюдений Чаргаффа, что пары оснований A: T и G: C точно таким же образом соединяются с сахарным остовом, что привело к предложению о двойной спиральной структуре. ДНК.

Браун вместе с Тоддом написал более 20 научных статей, прежде чем он стал независимым ученым в химической лаборатории университета Ленсфилд-Роуд.
Химический факультет университета. Работа над фосфоинозитидами.
Браун руководил небольшой группой в группе Тодда с 1951 года, но только в 1959 году он стал преподавателем на химическом факультете. В 1957 году его интересы переместились к фосфоинозитидам. Как позже заявил Браун, «их химия была по сути хаосом».
Самым простым случаем было определение химической структуры монофосфоинозитидов . Конкретный вопрос разногласий заключался в том, в каком положении на сахаре был присоединен глицерилфосфат. В 1961 году Браун, работая с Брайаном Кларком и Бобом Леттерсом, показал, что в монофосфоинозитиде, выделенном из разных организмов и их органов присоединен глицерилфосфат через положение 1' сахара [6][7][8] (8,9). Работая с Джоном Стюартом в 1963 году, было показано, что такое же связывание через положение 1' сахара с глицерилфосфатом происходит и для трифосфоинозитида (10). В 1963 году, Браун также это продемонстрировал путем синтеза и измерения оптической активности аналогичного (+) - транс-2’-гидроксициклогексилфосфата[9][10](6).

Особенность химии этих соединений основана на открытии Брауном и Стюартом того факта, что сложный эфир глицерилфосфата можно аккуратно удалить из инозитида (после деацилирования) путем разрыва связи C – C, расположенной межу соседними гидроксильными группами глицерина, с получением соответствующего фосфата гликолевого альдегида.
Работа над инозитидами также привела Брауна к изучению гидролиза сложных эфиров фосфорной кислоты с точки зрения кинетики в различных условиях, а также влияния соседних гидроксильных групп. Фосфодиэфиры, как известно, обычно довольно устойчивы к гидролизу, но участие соседних гидроксильных групп существенно увеличивает скорости расщепления. Таким образом, механизм расщепления был приведен в соответствие, например, с гидролизом простых эфиров ацетата.
Мутагенез нуклеотидов
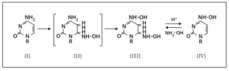
Вскоре Браун вернулся к нуклеиновым кислотам. В 1961 году он заинтересовался действием мутагенов на ДНК в результате посещения лекции Сиднея Бреннера по генетике бактерий. В том же году Freese et al. (1961) показали, что гидроксиламин является мощным мутагеном нереплицирующейся ДНК, атакуя основной цитозин. Питер Шелл и Браун показали правильный механизм через так называемый «бис-аддукт», в конечном итоге приводящий к N4-гидроксицитозину[11].

От других исследователей, занимающихся генетикой бактериофагов, стало ясно, что природа мутагенного повреждения ДНК представляет собой переход от С к Т. Химия Брауна смогла объяснить это ошибочным спариванием либо бис-аддукта, либо N4-гидроксицитозина с остатками A, и это было подтверждено экспериментально[12] . Дальнейшая работа включала проведение экспериментов с использованием фермента полинуклеотидфосфорилазы для создания РНК-матриц и РНК-полимераз для их транскрипции после мутагенеза под действием гидроксиламина или метоксиамина, а также для подтверждения природы мутации как перехода C в T (U).
Работа с Майком Хьюлинсом в Кембридже показала тесную взаимосвязь между таким переходным мутагенезом и таутомерией мутировавшего основания[13].
Лаборатория молекулярной биологии MRC (LMB) (1982–2007)
После ухода Бэзила Литгоу в 1953 году, Браун стал преподавателем в Королевском колледже. Он продолжал участвовать в студенческой жизни до конца своей жизни. В 1974 году он стал вице-проректором King’s Fellow, пост, который ему очень нравился и который он занимал до 1981 года.
В 1970-е годы Брауна все больше интересовали структурированные РНК, такие как транспортные РНК. Браун со своей лабораторной группой приступили к работе с тРНК Tyr и Lys и их соответствующими кодонами. Особый интерес Брауна вызвала избирательная реакция метоксиамина с определенными остатками в супрессорной тРНК Tyr, которая происходила в 100–1000 раз быстрее, чем для неструктурированной РНК или одноцепочечной ДНК[14][15] .
Значение этой работы в том, чтобы лучше понять трехмерные структуры тРНК после того, как в 1965 году Роберт Холли и его коллеги получили Нобелевскую премию за открытие ее первичной последовательности и вторичной структуры (клеверный лист). Химические исследования Брауна помогли определить пары оснований и провести сравнения общих конфигураций различных тРНК и, таким образом, химические методы исследования стали особенно полезными для сравнительного структурного анализа.
Дальнейшая работа привела к способу обнаружения РНК с использованием синтетического олигодезоксирибонуклеотида, полученного путем твердофазного синтеза на подложке-носителе в качестве праймера на ДНК фага M13 для обнаружения последовательностей РНК[16] .
Последовательности ДНК, где избыточность генетического кода вызвала необходимость использовать зонды смешанных последовательностей ДНК, часто с высокой множественностью. Браун занялся разработкой новых неприродных оснований, которые могут образовывать вырожденные пары и тем самым уменьшать сложность смесей зондов.
Работая Полом Конгом, Браун разработал и синтезировал бициклический дезоксирибозид, названный dP. При использовании в качестве трифосфатного производного вместо трифосфата dC, аналог dP был включен в растущую олигонуклеотидную цепь благодаря действию фермента ДНК-полимеразы. Позже Пол Конг синтезировал аналогично транс-стабилизированные производные пурина A и G, одно из которых, названное K, оказалось наилучшим[17] .

dP и dK оказались пригодными для использования аналогами, которые действительно нашли существенное применение, особенно когда вошла в использование полимеразная цепная реакция (ПЦР), включающая амплификацию участков с неизвестной кодирующей последовательностью ДНК.
Браун провел оставшиеся годы. на LMB. Здесь он стремился преобразовать знания, полученные в результате разработки вырожденных оснований, в разработку и синтез действительно «универсальных» оснований, то есть оснований, которые могут образовывать пары оснований со всеми четырьмя естественными основаниями, так что только одна последовательность будет нуждаться в химически синтезированном дополнении ряда для альтернативных целевых последовательностей. Можно ожидать, что такие базы они будут иметь важное применение в направленном мутагенезе ДНК, а также в эволюции белков.
Первая задача заключалась в том, чтобы лучше понять неправильное спаривание аналогов синтетических оснований со структурной точки зрения. Для этих целей, Браун и Пол Конг синтезировали самокомплементарную олигонуклеотидную последовательность, d (CGCGMG), где M представляет собой N4-метоксиC, которая в определенных условиях с высоким содержанием соли образовывала дуплексы Z-формы, содержащие пары оснований M: G. Аналогичным образом были проведены исследования и для основания P в той же последовательности, то есть d (CGCGPG)[18].
Это решило половину задачи по созданию универсального основания. Использование оснований P и K также дало толчок к синтезу модифицированных оснований, которые могли оказаться полезными при секвенировании ДНК участков ДНК, которые были высоко структурированы или агрегированы, а также в создании мутаций в ДНК для эволюции новых белков, а также дизайна агентов против ВИЧ.
Мутагенные основания и противовирусные нуклеозиды
В сотрудничестве с Мануэлой Закколо и Эрмани Герарди, Браун и Дэвид Уильямс исследовали, как совместное использование дезоксинуклеозидтрифосфата P (dPTP) и 8-оксо-dGTP, трансверсионного мутагена, в присутствие ДНК-полимеразы Thermus aquaticus (Taq) могло генерировать тысячи точечных мутантов в участках кодирующей ДНК, которые при последующем клонировании приводили к мутациям полипептидов в соответствующих кодонах. Как показали эксперименты,основание P оказалось хорошим генератором переходных мутаций.
Дэвид Лоукс и Браун потратили некоторое время на поиски, в конечном итоге безуспешных, аналога основания, подходящего для трансверсионного мутагенеза, тем не менее, был достигнут значительный прогресс в разработке универсальных оснований, пригодных для использования в секвенировании ДНК. Особенным достижением было создание и использование Брауном и Лоаксом 5-нитроиндола в качестве универсального основания, который был особенно полезен в экспериментах по циклическому секвенированию ДНК[19].
Заключительный эпизод научной работы Брауна возник непосредственно из его работы по мутагенезу. Было известно, что РНК-вирусы, такие как полиовирус, и ретровирусы, такие как ВИЧ, имеют высокую частоту спонтанных ошибок ферментов репликации, РНК-полимеразы и обратной транскриптазы соответственно. Если бы эти коэффициенты ошибок можно было увеличить на небольшую величину, это могло бы вызвать катастрофу ошибок и, следовательно, потерю жизнеспособности вирусов. Браун и его коллеги Дэвид Лоукс и Кэтлин Тоо выступили с предположением, что рибонуклеозидтрифосфаты известного мутагенного основания P ДНК могут быть мутагенными во время транскрипции вирусных РНК-матриц, и поэтому полученные мутантные РНК могут быть менее эффективными в распознавании вирусных белков и, следовательно, вести к катастрофе вирусной ошибки[20] (30). В случае обратной транскриптазы ВИЧ они смогли показать, что Р-рибонуклеозидтрифосфат может вызывать мутации в модельной системе РНК ВИЧ in vitro, что приводит к снижению связывания с белками.
Эти исследования были проведены в 2007 году и стали заключительными в его карьере, после чего Дэниэль Браун ушел в отставку. Вплоть до своей кончины, Браун принимал активное участие в образовательном процессе у себя на кафедре и лаборатории, являлся активным слушателем и оппонентом на различных совещаниях, конференциях и прочем.
Умер в апреле 2012 года в результате агрессивной раковой опухоли, от которой страдал последние годы жизни.
Почетные звания
- Член Королевского химического общества с 1942 г.,
- член Лондонского королевского общества с 1982 г.
Семья
- Жена – Маргарет Джойс Герберт (браке с 1953 года).
- Дети: дочери Кэтрин, Фрэнсис и Мойра и сын Дэвид.
Примечания
- 1 2 Gait Michael J. // Daniel McGillivray Brown. 3 February 1923—24 April 2012 Biogr. Mems Fell. R. Soc.: 66. P. 79–100. 2019. http://doi.org/10.1098/rsbm.2018.0008
- ↑ Brown, D. M., & Kon, G. A. R. Some heterocyclic analogues of stilbenes // Journal of the Chemical Society. — 1948. — № 433. — С. 2147–2154. — ISSN doi:10.1039/JR9480002147.
- ↑ Brown, D. M., & Lythgoe, B. (1950). 406. Deoxyribonucleosides and related compounds. Part II. A proof of the furanose structure of the natural 2-deoxyribonucleosides. Journal of the Chemical Society (Resumed), 1990. Brown, D. M., & Todd, A. R. (1952). 12. Nucleotides. Part IX. The synthesis of adenylic acids a and b from 5′-trityl adenosine. J. Chem. Soc., 0(0), 44–51. doi:10.1039/JR9520000044
- ↑ Brown, D. M., & Todd, A. R. [doi:10.1039/JR9520000052 Nucleotides. Part X. Some observations on the structure and chemical behaviour of the nucleic acids.] // Journal of the Chemical Society. — 1952. — № 13. — С. 52–58.
- ↑ D M Brown, M Fried & A R Todd. The determination of nucleotide sequence in polyribonucleotides. // Chem and Ind.. — 1953. — С. 352-353.
- ↑ Brown, D. M., & Clark, B. F. C. Structure of a Monophosphoinositide from Brain // Nature. — 1962. — № 194(4833). — С. 1081–1082. — ISSN doi:10.1038/1941081a0.
- ↑ D.M. Brown and J.C. Stewart. Phospholipids. Part IX. phosphate elimination from glycolaldehyde phosphate // J. Chem. Soc.. — 1964. — С. 5362-5364. — ISSN doi:10.1039/JR9630001475.
- ↑ D M Brown & J C Stewart. The structure of triphosphoinositide from beef brain. // Biochim. et Biophys. Acta. — 1966. — № 125. — С. 413-421. — ISSN doi:10.1016/0005-2760(66)90029-4.
- ↑ Brown, D. M., & Hamer, N. K. The solvolysis of dibenzyl trans-2-hydroxycyclohexyl phosphate. // Journal of the Chemical Society. — 1960. — № 77. — С. 406–410. — ISSN doi:10.1039/JR9600000406.
- ↑ D.M. Brown and B.F.C. Clark. Phospholipids. Part VIII. Synthesis of (+)-trans-2-hydroxycyclohexyl phosphate and a calculation of the configuration of the myoinositol 1-phosphate residue in monophosphoinositide. // J. Chem. Soc.. — 1963. — С. 1475-1477. — ISSN doi:10.1039/JR9610003774.
- ↑ Brown, D. M., & Usher, D. A. Hydrolysis of hydroxyalkyl phosphate esters: effect of changing ester group. // Journal of the Chemical Society. — 1965. — № 1207. — С. 6558 - 6564. — ISSN doi:10.1039/JR9650006558.
- ↑ D M Brown & P Schell Nucleotides. Part XLVIII. The reaction of hydroxylamine with cytosine and related compounds. J. Chem. Soc., 1965, 208-215. Nucleotides. Part XLVIII. The reaction of hydroxylamine with cytosine and related compounds. // J. Chem. Soc.. — 1965. — С. 208-215. — ISSN doi:10.1039/JR9650000208.
- ↑ D M Brown, M J E Hewlins & P Schell. The tautomeric state of N(4)-hydroxy- and of N(4)-amino-cytosine derivatives. // J. Chern. Soc.. — 1968. — С. 1925-1929. — ISSN doi:10.1039/J39680001925.
- ↑ A R Cashmore, D M Brown & J D Smith Selective reaction of methoxyamine with cytosine bases in tyrosine transfer ribonucleic acid. J. Mol. Biol., 1971, 59, 359-373. Selective reaction of methoxyamine with cytosine bases in tyrosine transfer ribonucleic acid. // J. Mol. Biol.. — 1971. — № 59. — С. 359-373. — ISSN doi:10.1016/0022-2836(71)90056-8.
- ↑ S E Chang, A R Cashmore & D M Brown. Selective modification of uridine and guanosine residues in tyrosine transfer ribonucleic acid. // J. Mol. BioI. — 1972. — № 68. — С. 455-464. — ISSN doi:10.1016/0022-2836(72)90099-X.
- ↑ D M Brown, J Frampton, P Goelet & J Karn. Sensitive detection of RNA using strand-specific M13 probes. Gene // Gene. — 1982. — № 20. — С. 139-144. — ISSN doi:10.1016/0378-1119(82)90032-4.
- ↑ P V S Kong Thoo Lin & D M Brown. Base analogues related to N4-hydroxycytosine. // Nucleosides and Nucleotides. — 1989. — № 8. — С. 871-874. — ISSN doi:10.1080/07328318908054233.
- ↑ L Van Meervelt, M H Moore, P Kong Thoo Lin, D M Brown & O Kennard. Molecular and Crystal Structure of d(CMO4CGmo4CG): N4-methoxycytosine. guanine base pairs in Z-DNA. // J. Mol. Biol. — 1990. — № 216. — С. 773-781. — ISSN doi:10.1016/0022-2836(90)90398-6.
- ↑ P Kong Thoo Lin & D M Brown. Synthesis of oligodeoxynucleotides-containing degenerate bases as primers in the polymerase chain reaction. // Nucl. Acids. Res.. — 1992. — № 20. — С. 5149-5152.. — ISSN doi:10.1093/nar/20.19.5149.
- ↑ K Too, D M Brown & D Loakes Mutagenic nucleoside analogues for use as antivirals by error catastrophe. Coll. Czech. Chem. Comm. Symp. Series, 2005, 7, 315-318. Mutagenic nucleoside analogues for use as antivirals by error catastrophe. // Czech. Chem. Comm. Symp.. — 2005. — № 7. — С. 315-318. — ISSN doi:10.1135/css200507315.
Ссылки
- https://www2.mrc-lmb.cam.ac.uk/about-lmb/lmb-alumni/alumni/dan-brown-1923-2010/dan-browns-publications-list/ Архивная копия от 23 января 2021 на Wayback Machine - полный список научных публикаций Дэниеля Брауна.
