Бёрч, Артур Джон
| Артур Джон Бёрч | |
|---|---|
| англ. Arthur John Birch | |
| Дата рождения | 3 августа 1915[1][2] |
| Место рождения | |
| Дата смерти | 8 декабря 1995[1][2] (80 лет) |
| Место смерти | |
| Страна | |
| Род деятельности | химик, преподаватель университета |
| Научная сфера | органическая химия |
| Место работы | |
| Альма-матер | |
| Научный руководитель | Роберт Робинсон |
| Награды и премии | |
Артур Джон Бёрч (англ. Arthur John Birch; 3 августа 1915 — 8 декабря 1995) — австралийский учёный, специализировавшийся в области органической химии. Внёс вклад в развитие биохимии и металлорганической химии, наиболее известен благодаря реакции восстановления ароматических соединений раствором натрия и этанола в жидком аммиаке, названной его именем. Восстановление по Бёрчу используется в органическом синтезе, в частности при модификации стероидов. В 1948 году впервые опубликовал полный синтез мужского полового гормона — 19-нортестостерона.
Член Лондонского королевского общества (1958)[3], иностранный член АН СССР (1976)[4], вице-президент Королевского Австралийского Химического Института (1976—1977), президент Королевского Австралийского Химического Института (1977—1978)[5].
Биография
Ранние годы
Артур Бёрч родился в Сиднее 3 августа 1915 года, был единственным ребёнком в семье. Отец Спенсер Бёрч родился в Нортгемптоншире, Англия, жил в Канаде, Фиджи и Новой Зеландии, где познакомился с Лили Бэйли, эмигрировавшей из центральной части Тасмании. Спенсер Бёрч работал шеф-поваром в крупном отеле в Сиднее, а позже был менеджером в кафетерии Woolworth. Артур родился через год после переезда пары в Сидней, учился в школе в пригороде Вуллахры, окончив которую был зачислен в Сиднейскую техническую среднюю школу[6].
В 1932 году выиграл грант на бесплатное обучение в Сиднейском университете[6]. После смерти отца в 1937 году Артур работал для обеспечения себя и семьи, получение стипендии в конце первого года обучения позволило продолжить учёбу. После окончания университета в 1936 году Бёрч был отмечен медалью Университета по химии[6].
Научная деятельность Бёрча во время обучения под руководством профессора Дж. К. Эрла заключалась в анализе пиперитона, получаемого из эвкалиптового масла[7][8][9][10][11]. В 1938 году Бёрч был награждён стипендией Королевской Комиссии для получения степени доктора в Англии, (в Австралии в то время научные степени по химии не присуждались).
Работа в университетах Великобритании, Австралии и США
В 1938 году Бёрч переехал в Оксфорд, Англия, где в рамках работы над диссертацией под руководством доктора Роберта Робинсона занимался изучением карбоновых кислот, в частности структурой жирных кислот, входящих в состав липидных мембран микобактерий. В 1940 году Бёрч прекратил работу с жирными кислотами[12]. В 1942 году Артур Бёрч стал сотрудником Imperial Chemical Industries и получил грант на исследования в области синтеза аналогов стероидных гормонов. Данная работа стала основной отраслью фармацевтической промышленности. С 1949 года Артур Бёрч продолжил исследования по синтезу стероидов в Кембридже совместно с Х. Смитом, которые начал в ICI. Его деятельность была сосредоточена на определении новых структур природных соединений.
В 1951 году Бёрч переехал в Австралию по приглашению химического факультета Сиднейского университета, деканом которого он стал в 1952 году. Оснащение лабораторий и финансирование университета оставляло желать лучшего, поэтому приходилось прибегать к финансовой поддержке фондов Наффилда и Рокфеллера. В 1954 году Бёрч был избран членом Австралийской академии наук[6]. В 1955 году получил предложение возглавить кафедру фундаментальной химии в Исследовательской школе Физических наук в новом Австралийском национальном университете (ANU) в Канберре. Ввиду плохого финансирования университетов в Австралии Бёрч предпочёл ANU Манчестерский университет, куда переехал в 1956 году. Данный поступок учёного привел к последующей реорганизации австралийских университетов. Позднее Бёрч заметил: «Своим демонстративным уходом я, вероятно, внес свой самый большой вклад в австралийскую университетскую систему»[6].
В Манчестере Бёрч продолжил сотрудничество с Х. Смитом в рамках исследования половых гормонов и других природных соединений, которые интересовали его вплоть до выхода на пенсию. В 1958 году Бёрч был избран членом Королевского Научного Общества[6], создал и возглавил первый Факультет биологической химии в Манчестере. Бёрч присутствовал на 1-м симпозиуме IUPAC по природным соединениям, который состоялся в Сиднее, Канберре и Мельбурне в 1960 году. Бёрч был инициатором создания в Канберре Исследовательской школы химии в ANU, с 1965 года был избран деканом (до 1976 года), что стало одной из причин его переезда в Канберру в 1967 году. Впоследствии главное здание Исследовательской школы было названо в честь Артура Бёрча[6]. В 1977-1978 годах был избран вице-президентом, а впоследствии и президентом Королевского Австралийского Химического Института.
Отставка и пенсионные годы
В 1980 году Артур Бёрч вышел на пенсию в должности профессора кафедры органической химии в ANU, однако и после этого продолжал организационную и научную деятельность. В 1994 году стал почётным стипендиатом Королевского Австралийского Химического Института. В 1982—1986 годах являлся президентом Австралийской академии наук. В 1979—1987 годах был консультантом проекта Программы развития ЮНЕСКО «Усовершенствование исследований и преподавания в университетах» в Китайской Народной Республике.
Научная автобиография Бёрча («Видеть очевидное»[13]), была написана в течение последних 10 лет его жизни для серии «Профили, пути и мечты Американского химического общества. Автобиографии видных химиков», была опубликована незадолго до его 80-летия в августе 1995 года.
Артур Бёрч умер в Канберре 8 декабря 1995 года.
Научная деятельность и достижения
Разработка реакции восстановления
В рамках исследования по синтезу стероидных гормонов Артур Бёрч разработал метод восстановления производных ароматических соединений до дигидропроизводных под действием натрия и этанола в жидком аммиаке. Продукты данной реакции являются прекурсорами для получения стероидных гормонов и их аналогов. Важным является устойчивость предшественников природных соединений ко многим изменениям с сохранением функциональных групп, необходимых для их синтеза.
Первым прямым применением нового метода получения аналогов стероидных гормонов было превращение глицеринового эфира эстрадиола в 19-нортестостерон с помощью неконъюгированного изомера. 19-Нортестостерон оказался мощным анаболическим андрогеном, а неконъюгированный изомер был эстрогеном.
Берч также предположил механизм открытой им реакции (рис. 1). Его заключительная работа по данной теме появилась в сотрудничестве с Лео Радом, который использовал ab initio вычисления для обоснования механизма, уже описанного в ранней экспериментальной работе[14]. Метоксибензол присоединяет сольватированный электрон из раствора натрия в аммиаке, обратимо превращается в ион-радикал, который, в свою очередь, присоединяет протон из спирта. Полученный нейтральный радикал обратимо присоединяет второй электрон с образованием стабилизированного аниона. Окончательное присоединение второго протона к этому аниону практически необратимо в обычных условиях восстановления по Бёрчу и приводит к термодинамическому продукту — 2,5-дигидро-1-метоксибензолу.

Рис.1. Схема механизма реакции восстановления по Бёрчу[14]
Хотя восстановление по Берчу, безусловно, являлось его главным научным достижением в Оксфорде, он также внес вклад в некоторые исследования Робинсона в области синтеза стероидов, включая широко применимый метод введения угловых метильных групп[15].
Поликетидная теория ароматического биосинтеза
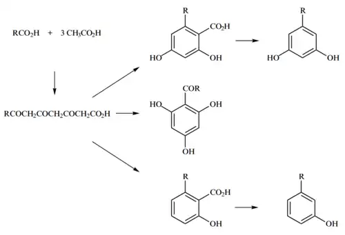
Исследование происхождения растущего числа фенольных соединений, выделенных из природных источников, в частности из новогвинейского дерева, привело к поликетидной теории биосинтеза ароматических соединений. Бёрч предположил, что сцепление ацетатных единиц голова к хвосту может приводить к фенольным веществам несколькими способами[16]. В частности, замыкание цикла поликетоновых интермедиатов посредством альдольной конденсации или C-ацилирования может приводить к производным орцинола или флороглюцина соответственно (рис. 2). Кислота, инициирующая цепь, может быть уксусной или другой природной алифатической, ароматической кислотой, например, гидроксикоричная кислоты. Стильбены и флавоноиды также могут являться инициаторами реакции.

Рис.2. Схема синтеза фенольных соединений в процессе биосинтеза[16].
Биохимическое доказательство гипотезы было получено при изучении распределения радиоактивного углерода в 6-метилсалициловой кислоте. Данная кислота была выделена из гриба Penicíllium griseofúlvum, растущего в среде, содержащей [карбоксил-14C]-меченную уксусную кислоту[17].
Синтез металлоорганических соединений
В 1960-е годы Бёрчем и Смитом был получен ряд трикарбонильных комплексов железа и изучена их реакционная способность с рядом соединений[18]. При этом разработанный метод используется для синтеза соединений и разделения полученных изомеров с целью получения промежуточных звеньев биохимического пути.
Награды и научное признание
Премии и награды
- Университетская медаль по химии, Сиднейский университет (1937).
- Премия Эрнеста Гюнтера (1963).
- Премия Франклина за выдающийся вклад в химию (1963).
- Медаль Дэви (1972).
- Медаль Флинтоффа, Химическое общество (1972).
- Медаль Мэтью Флиндерса(1972).
- Премия Роберта Робинсона (1981).
- Премия Королевского химического общества (1982).
- Премия Тетраэдр за творчество в области органической химии (1987).
- Медаль ANZAAS (1990).
Почетные звания
- Магистр Манчестерского университета (1962).
- Иностранный член АН СССР (1976).
- Почётный доктор наук Сиднейского университета (1977).
- Кавалер ордена Святого Михаила и Святого Георгия (1979).
- Почетный член Королевского химического общества (1980).
- Почётный доктор наук Университет Монаша (1982).
- Почётный доктор наук Манчестерского университета (1982).
- Почетный член Королевского общества Нового Южного Уэльса (1986).
- Почетный член Королевского Австралийского Химического Института (1994).
Членства в различных организациях
- Член Австралийской академии наук (1954).
- Член Королевского общества (1958).
- Член Королевского химического института (1960).
- Член Королевского Австралийского Химического Института (1968).
В честь Артура Бёрча названа Медаль, которая вручается Отделом органической химии Королевского Австралийского Химического Института с 1992 года[6]. В 1995 году Главное здание Исследовательской школы химии Австралийского национального университета носит имя Артура Бёрча.
Научные труды
У Артура Бёрча насчитывается около 460 публикаций, среди которых 1 монография[19] и 2 патента[20][21].
Примечания
- 1 2 3 Deutsche Nationalbibliothek Record #11930614X // Gemeinsame Normdatei (нем.) — 2012—2016.
- 1 2 Arthur Birch (organic chemist) // SNAC (англ.) — 2010.
- ↑ Birch; Arthur John (1915—1995) (англ.)
- ↑ Бёрч (Birch) Артур // Большая советская энциклопедия : [в 30 т.] / гл. ред. А. М. Прохоров. — 3-е изд. — М. : Советская энциклопедия, 1969—1978.
- ↑ Архивированная копия. Дата обращения: 15 сентября 2017. Архивировано из оригинала 7 марта 2016 года.
- 1 2 3 4 5 6 7 8 Australian Academy of Science — Biographical memoirs-Arthur Birch (6 августа 2011). Дата обращения 14 декабря 2017
- ↑ Birch A. and Earl J. The structure of origanene. Part II. Its identity with α-thujene // J. Proc. Roy. Soc. New South Wales. 1938. V. 72. P. 55-61.
- ↑ Birch A. Isonitroso-α-thujene //J. Proc. Roy. Soc. New South Wales. 1938. V.72. P. 106—108.
- ↑ [Birch A. Note on the exudation of Araucaria bidwilli // J. Proc. Roy. Soc. New South Wales. 1938. V. 71. P. 259—260.
- ↑ Birch A. The structure of origanene. I //J. Proc. Roy. Soc. New South Wales. 1938. V. 71. P. 330—335.
- ↑ Birch A.Theα-phellandrene fraction of eucalyptus oils //J. Proc. Roy. Soc. New South Wales. 1938. V.71. P. 261—266.
- ↑ Birch A. and Robinson R. Long chain acids containing a quaternary carbon atom. Part I //J. Chem. Soc. P. 488—497.
- ↑ Birch A. To See the Obvious //Profiles, pathways, and dreams. Autobiographies of eminent chemists (ed Seeman J.). Washington: American Chemical Society.PP. xxviii and 269.
- 1 2 Birch, A.,Hinde A., Radom L. A theoretical approach to the Birch reduction. Structures and stabilities of cyclohexadienes // J. Am. Chem. Soc. 1981. V. 103. P. 284—289.
- ↑ Birch A. and Robinson R. The direct introduction of angular Me groups //J. Chem. Soc. 1944. P. 501—502.
- 1 2 Birch A., Donovan F. Studies in relation to biosynthesis. I. Some possible routes to derivatives of orcinol and phloroglucinol // Aust. J. Chem. 1953. V. 6. P. 360—368.
- ↑ Birch A., Massy-Westropp R., Moye C. Studies in relation to biosynthesis. VII. 2-Hydroxy-6-methylbenzoic acid in Penicillium griseofulvum Dierckx // Aust. J. Chem. 1955. V. 8. P. 539—544.
- ↑ Birch, A.,Cross P., Lewis J., White D. Iron tricarbonyl adducts of dihydroanisoles: an adduct of a tautomer of phenol // Chemy Ind. 1964. V. 20. P. 838.
- ↑ Birch A. How Chemistry Works. London: Sigma, 1949. PP. 218.
- ↑ Birch A., Grove J. and Nixon I. Gibberellic acid. Brit. Pat. GB844341 19600810. 1960.
- ↑ Birch A. A-Homoestratrien-3-onederivatives. Ger. Pat. DE 1252679 19671026. 1967.
Литература
- Немецкая национальная библиотека, Берлинская государственная библиотека, Баварская государственная библиотека, Австрийская национальная библиотека // Общий нормативный контроль (GND) — 2012—2016.
- Бёрч Артур // Большая советская энциклопедия: в 30 т./ гл. ред. А. М. Прохоров. — 3-е изд. — М.: =Советская энциклопедия, 1969—1978.
- Birch A. To See the Obvious // Profiles, pathways, and dreams. Autobiographies of eminent chemists (ed Seeman J.). Washington: American Chemical Society.PP. xxviii and 269. Архивная копия от 6 декабря 2020 на Wayback Machine
Ссылки
- SNAC — 2010. Архивная копия от 7 ноября 2020 на Wayback Machine
- Rickards R., Cornforth J. Arthur John Birch. 3 August 1915 — 8 December 1995: Elected FRS 1958 //Biogr. Mems Fell. R. Soc. 2007. V. 53. P. 21-44. doi:10.1098/rsbm.2007.0017. Архивная копия от 7 декабря 2020 на Wayback Machine
- Australian Academy of Science — Biographical memoirs-Arthur Birch (6 августа 2011). Дата обращения 14 декабря 2017.
- Arthur John Birch
- Восстановление по Бёрчу
- Восстановление по Бёрчу