Эволюция звёзд

Эволю́ция звёзд (звёздная эволюция) в астрономии — изменение со временем физических и наблюдаемых параметров звезды из-за идущих в ней термоядерных реакций, излучения ею энергии и потери массы[1]. Часто говорят об эволюции как о «жизни звезды», начинающейся, когда единственным источником энергии звезды становятся ядерные реакции, и заканчивающейся, когда реакции прекращаются, — у различных звёзд эволюция идёт по-разному[2][3][4]. Согласно астрофизическим моделям, срок жизни звезды, в зависимости от начальной массы, продолжается от нескольких миллионов до десятков триллионов лет[5][6], поэтому астрономы прямо наблюдают только очень малый по сравнению с продолжительностью жизни звезды период её эволюции, на протяжении которого эволюционные изменения практически незаметны[7].
Звёзды образуются из холодных разреженных облаков межзвёздного газа, которые сжимаются из-за гравитационной неустойчивости, в процессе сжатия разогреваются настолько, что в их недрах начинаются термоядерные реакции синтеза гелия из водорода[8]. В момент начала термоядерных реакций протозвезда становится звездой главной последовательности (исключение могут составлять субкарлики и коричневые карлики), на которой будет находиться бо́льшую часть своей жизни — Солнце также находится на этой стадии звезды главной последовательности[9].
Дальнейшая эволюция звёзд различается также в зависимости от начальной массы и химического состава (металличности) звезды. Так, звёзды средних масс при эволюции проходят стадии субгигантов, красных гигантов, горизонтальную ветвь, голубую петлю и асимптотическую ветвь. В любом случае, по мере выгорания водорода как внешние, так и внутренние характеристики звёзд меняются, и при достаточной массе в определённый момент в звёздах начинается тройная гелиевая реакция, при которой в них образуется углерод. В более тяжёлых звёздах далее могут синтезироваться ядра более тяжёлых элементов, но в любом случае синтез более тяжёлых ядер химических элементов останавливается на железе, так как синтез более тяжёлых элементов энергетически невыгоден[8].
На конечной стадии эволюции, в зависимости от массы, звезда либо сбрасывает внешнюю оболочку, становясь белым карликом, либо превращается в сверхновую звезду, после взрыва сверхновой остаётся нейтронная звезда или чёрная дыра[8].
В тесных двойных системах на поздних стадиях эволюции, когда звезда, увеличившись в размерах, заполняет свою полость Роша, между звёздами происходит перетекание вещества, которое приводит к изменению параметров звёзд. Из-за этого эволюция звёзд в таких системах отличается от эволюции одиночных звёзд, а её ход зависит также от параметров орбиты и начальных масс звёзд двойной системы[10][11].
Термоядерный синтез в недрах звёзд

Развитие представлений об источнике энергии звёзд
С момента открытия закона сохранения энергии встал вопрос об источнике энергии звёзд. Выдвигались различные гипотезы, и одной из наиболее известных была контракционная гипотеза: в ней предполагаемым источником энергии считалось гравитационное сжатие звезды (которое также объясняло видимое разнообразие звёзд). Её поддерживали лорд Кельвин и Герман фон Гельмгольц, но в дальнейшем выяснилось её противоречие: для Солнца подобного источника энергии хватило бы на 107 лет, в то время как возраст Земли, по геологическим и биологическим данным составлял как минимум 109 лет[12][13][14].
Было показано, что при сжатии звезда должна нагреваться, а не остывать, как предполагалось ранее — это позволило увеличить теоретический срок жизни звёзд. В 1880-х годах Джозеф Локьер выдвинул гипотезу, что при высоких плотностях уравнение состояния вещества звезды сильно отклоняется от уравнения состояния идеального газа, её сжатие останавливается, и она начинает остывать и тускнеть — таким образом, звезда проходит путь от красного гиганта к белой звезде типа Сириуса, после чего снова краснеет, но становится более тусклой — сначала жёлтым, а потом красным карликом.
Когда была составлена диаграмма Герцшпрунга — Рассела, то главная последовательность и ветвь гигантов оказались близко совпадающими с эволюционным путём звезды в гипотезе Локьера. Но затем эта гипотеза была опровергнута: выяснилось, что состояние вещества звёзд главной последовательности остаётся всё так же близко к состоянию идеального газа. Тем не менее, на данный момент контракционная гипотеза хорошо объясняет эволюцию протозвёзд, которые действительно излучают за счёт сжатия, пока не перейдут на главную последовательность[13][14].
В 1896 году Анри Беккерель открыл радиоактивность, а в 1903 году Пьер Кюри — выделение тепла радиоактивными элементами. Поэтому Джеймс Джинс выдвинул гипотезу, что звёзды излучают энергию за счёт радиоактивного распада. Эта гипотеза также не могла объяснить большой возраст Солнца, и в дальнейшем Джинс предположил, что в звёздах происходит не радиоактивный распад, а аннигиляция вещества. Хотя гипотеза аннигиляции и давала достаточно большой возможный срок жизни Солнца, она не нашла подтверждения при дальнейшем развитии астрофизики. Однако сама идея о внутриядерном источнике энергии звёзд оказалась верной[13].
В 1906 году Альберт Эйнштейн исходя из созданной им теории относительности открыл эквивалентность массы и энергии. В 1920 году Артур Эддингтон, знакомый с работами Эйнштейна, предположил, что энергия в звёздах выделяется за счёт превращения водорода в гелий: при такой реакции за счёт дефекта массы должно выделяться достаточно энергии для излучения звёзд в течение многих миллионов и даже миллиардов лет[14]. Гипотеза Эддингтона впоследствии подтвердилась: к 1939 году Хансом Бёте, Карлом Вайцзеккером и Чарльзом Критчфильдом независимо друг от друга были предложены два механизма превращения водорода в гелий: протон-протонный цикл и CNO-цикл. В 1941 году Мартин Шварцшильд рассчитал модель Солнца с термоядерным источником энергии, и его результаты подтвердили теорию термоядерного синтеза в недрах звёзд. На данный момент она общепринята, и на ней основываются модели звёздной эволюции[13].
Именно из-за термоядерного синтеза со временем меняется химический состав звёзд и происходят эволюционные изменения[15][16]. Но эти изменения происходят очень медленно, и эволюцию отдельно взятой звезды практически невозможно проследить даже при очень длительных наблюдениях. Лишь в редких случаях, когда звезда находится на очень короткой стадии своей эволюции, возможно заметить систематическое изменение её параметров, например, изменение периода пульсаций у цефеид. Поэтому теория эволюции строится на некоторых косвенных признаках и по наблюдениям множества звёзд, находящихся на разных стадиях эволюции[7].
Реакции термоядерного синтеза
В звёздах на разных стадиях эволюции проходят различные термоядерные реакции[17].
Так, в недрах звёзд главной последовательности синтезируются ядра гелия из ядер водорода (протонов). Это превращение может идти двумя путями. В протон-протонном цикле идёт последовательное слияние протонов напрямую с превращением 4 протонов в ядро гелия, и этот процесс доминирует при меньших температурах — в ядрах звёзд малой массы. Второй путь — CNO-цикл. В нём углерод, азот и кислород выступают как катализаторы, цикл доминирует при высоких температурах и за счёт этого процесса выделяется бо́льшая часть энергии в массивных звёздах. Мощность энерговыделения на единицу массы этих двух процессов уравнивается при массе звезды примерно 1,5 M⊙ и температуре в центре примерно 18 миллионов K[18][19].
В массивных звёздах на более поздних этапах эволюции синтезируются более тяжёлые элементы: сначала углерод в тройном гелиевом процессе, а в самых тяжёлых звёздах синтезируются и более тяжёлые элементы вплоть до железа — дальнейший нуклеосинтез более тяжёлых элементов не идёт, так как энергетически невыгоден[20]. Тем не менее, звёзды на более поздних этапах эволюции, как правило, становятся ярче, а удельное энерговыделение на единицу массы исходного для синтеза вещества, наоборот, снижается, так как разница в удельной энергии связи становится меньше. Это обуславливает сравнительно малую продолжительность более поздних стадий эволюции по сравнению с длительностью нахождения звезды на главной последовательности: например, длительность нахождения Солнца на главной последовательности оценивается в 12 миллиардов лет, а стадия горения гелия в Солнце продлится только в 110—130 миллионов лет[21][22][23].
Элементы тяжелее железа также образуются в звёздах, но не когда они находятся на главной последовательности, а при особых обстоятельствах: например, при взрывах сверхновых, когда выделяется большое количество энергии — при так называемом взрывном нуклеосинтезе[24][25][26].
Наконец, коричневые карлики, хотя и не являются звёздами в классическом понимании, поддерживают горение дейтерия и горение лёгких элементов — лития, бериллия, бора, которые могут идти при довольно низких температурах и поэтому являются только реакциями синтеза, происходящей в таких маломассивных объектах[27][28][29]. Кроме этого, в самых массивных коричневых карликах могут в течение некоторого времени идти реакции синтеза гелия из водорода. Однако в отличие от настоящих звёзд, горение водорода в них быстро прекращается и никогда не становится единственным источником энергии[30].
Формирование звёзд

Сжатие молекулярного облака
Эволюция звезды начинается в гигантском молекулярном облаке, также иногда образно называемом «звёздной колыбелью». Начальная концентрация атомов в нём — около 102 частиц на кубический сантиметр, тогда как межзвёздное пространство в среднем содержит не более 0,1 частицы на кубический сантиметр. Такие облака могут иметь массу в 105—107 M⊙, диаметр — от 50 до 300 световых лет, а температура газа в них составляет 10—30 K[31][32].
При развитии гравитационной неустойчивости облако может начать сжиматься. Неустойчивость может быть вызвана различными факторами, например, столкновением двух облаков, прохождением облака через плотный рукав спиральной галактики или же взрывом сверхновой звезды на достаточно близком расстоянии, ударная волна от которой, распространяющаяся по межзвёздному газу, может столкнуться с молекулярным облаком. Кроме того, при столкновениях галактик столкновения газовых облаков, связанных с галактиками, начинают происходить чаще, что объясняет увеличение темпа звездообразования при столкновениях галактик[33].
Для того чтобы гравитационная неустойчивость привела к сжатию молекулярного облака, нужно, чтобы сумма его потенциальной энергии и удвоенной кинетической, в соответствии с теоремой вириала, стала отрицательна. При постоянной плотности облака радиусом модуль потенциальной энергии (сама она отрицательна) растёт пропорционально а сумма значений кинетической энергии всех молекул — пропорционально Следовательно, облако начнёт сжиматься, если его масса больше определённой величины которая при плотности облака молярной массе его газа и температуре равняется[31][34]:
Отсюда следует, что изначально облако будет сжиматься при массе не менее 103 M⊙. По мере сжатия облако будет уплотняться практически без нагрева, так как оно прозрачно для излучения и почти вся выделяемая энергия излучается во внешнее пространство. Это приводит к уменьшению пороговой массы для развития гравитационной неустойчивости, и, как следствие, — сжиматься начнут области меньшей массы и размера — этот процесс называется фрагментацией облака звёздообразования, он объясняет наблюдаемое формирование звёзд в основном группами — в частности, в скоплениях. Кроме того, явление фрагментации объясняет, почему образованные звёзды имеют сравнительно узкий диапазон масс — от 10−1 до 102 M⊙ по порядку величины[31][35].
По мере уплотнения облака оно становится всё менее прозрачным для излучения, например, при массе облака в 1 M⊙ это происходит при его радиусе в 2,5⋅104 R⊙. При этом выделяемая энергия от гравитационного сжатия начинает его разогревать: по теореме вириала половина выделяемой за счёт сжатия энергии тратится на излучение, а другая половина — на нагревание вещества[36]. Принято считать, что с этого момента облако называется протозвездой[35].
Стадия протозвезды

Сжатие облака происходит неравномерно, и через некоторое время после начала сжатия в облаке образуется гидростатически равновесное ядро — принято считать, что именно с этого момента облако, а точнее его ядро, является протозвездой[37]. Характеристики ядра практически не зависят от массы облака, масса составляет 0,01 M⊙, радиус — несколько а.е., а температура в центре — 200 K. Аккреция внешних слоёв облака на ядро приводит к росту его массы и температуры, но при температуре в ~2000 K её рост останавливается, так как энергия расходуется на диссоциацию молекул водорода. В некоторый момент гидростатическое равновесие нарушается, и ядро начинает сжиматься. Следующее гидростатически равновесное состояние достигается для более маленького, теперь уже ионизированного ядра туманности с массой ~0,001 M⊙, радиусом около 1 R⊙ и температурой 2⋅104 K. При этом ядро, излучающее в оптическом диапазоне, закрыто от окружающего пространства пылегазовой оболочкой, которая имеет гораздо меньшую температуру и излучает только в инфракрасном диапазоне[37][38][39].
Аккреция внешних слоёв продолжается, а падающее на ядро со скоростью ~15 км/с вещество образует ударную волну. В дальнейшем на ядро выпадает всё вещество оболочки (хотя у массивных звёзд часть вещества может покинуть звезду из-за сильного давления излучения), ионизируется, и в то же время протозвезда становится доступной для наблюдения в видимом диапазоне[39]. До этого момента сжатие внешней оболочки идёт по динамической временной шкале, то есть, её длительность соответствует времени свободного падения вещества, которому не препятствует давление газа[40].
Звёзды до главной последовательности


Протозвёзды, у которых уже закончилась аккреция оболочек, иногда выделяются в отдельный тип, называемый звёздами до главной последовательности. Протозвезда, имеющая низкую температуру и высокую светимость, находится в её верхней правой части на Диаграмме Герцшпрунга — Рассела. Пока в звезде не начались термоядерные реакции и она выделяет энергию за счёт гравитационного сжатия, она медленно движется на диаграмме к главной последовательности[37][38][39].
Так как на этой стадии вещество удерживается от сжатия давлением газа, протозвёзды сжимаются гораздо медленнее, чем на предыдущей стадии — в тепловой временной шкале, то есть, за период, за который половина потенциальной гравитационной энергии израсходуется на излучение[40], согласно теореме вириала. У самых массивных звёзд она занимает около 105 лет, а у наименее массивных — порядка 109 лет. Для Солнца стадия сжатия и перехода на главную последовательность продлилась 30 миллионов лет[37][41][42].
В 1961 году Тюсиро Хаяси (Хаяши) показал, что если весь объём звезды занимает конвективная зона, то при медленном сжатии температура её вещества практически не меняется, а светимость падает — это соответствует движению положения звезды вертикально вниз на диаграмме, и такой путь звезды принято называть треком Хаяши. У звёзд с массами в диапазоне от 0,3—0,5 M⊙ (по разным оценкам) до 3 M⊙ в течение сжатия исчезают конвективные слои и в какой-то момент такие звёзды сходят с трека Хаяши, в то время как звёзды с массами менее 0,3—0,5 M⊙ находятся на треке Хаяши на протяжении всего времени сжатия[35][43][44].
После схода с трека Хаяши (для звёзд промежуточной массы) или с самого начала медленного сжатия (для массивных звёзд), звезда перестаёт быть конвективной и при сжатии начинает нагреваться, при этом светимость меняется незначительно, так как уменьшается площадь излучающей поверхности. Это соответствует почти горизонтальному движению влево на диаграмме, и эта часть пути называется треком Хеньи[43][44][45].
В любом случае, в течение сжатия температура в центре звезды возрастает, и в веществе звезды, при достаточной её массе, начинают протекать термоядерные реакции. На ранних этапах сжатия они производят меньше энергии, чем излучает звезда, и сжатие продолжается, но, вместе с тем, доля термоядерных реакций в выделении энергии увеличивается. В некоторый момент, если звезда имеет массу больше 0,07—0,08 M⊙, мощность выделения энергии за счёт термоядерных реакций сравнивается со светимостью звезды и сжатие прекращается — этот момент считается окончанием формирования звезды и её перехода на главную последовательность. Если звезда имеет массу менее 0,07—0,08 M⊙, то в ней тоже возможны термоядерные реакции, однако вещество звезды в ядре становится вырожденным раньше, чем прекращается сжатие, поэтому термоядерные реакции никогда не становятся единственным источником энергии. Такие объекты известны как коричневые карлики[8][35][46].
В процессе сжатия также формируются протопланетные диски вокруг звезды, которые впоследствии могут эволюционировать в планетные системы. Образование протопланетного диска происходит из-за того, что облако изначально может иметь некоторый момент импульса, и при уплотнении облака учащаются столкновения частиц, из-за чего вещество, не вошедшее в звезду, начинает формировать диск, вращающийся вокруг звезды в одной плоскости[47].
Главная последовательность



Когда сжатие заканчивается и термоядерные реакции синтеза гелия из водорода становятся единственным источником энергии, протозвезда становится звездой главной последовательности. Возраст звезды принято отсчитывать именно с этого момента. Звёзды нулевого возраста образуют так называемую нулевую главную последовательность, расположенную в нижней части этой области диаграммы[48][49]. В это время их химический состав сформировавшихся звёзд всё ещё близок к составу межзвёздной среды: они состоят в основном из водорода (около 91 %) и гелия (около 9 %), тогда как более тяжёлых элементов — менее 1 %[50][51]. Звёзды главной последовательности имеют широкий диапазон параметров, которые определяются в первую очередь их массой и в меньшей степени металличностью. Так, например, звезда с массой 0,1 M⊙ будет иметь светимость в 0,0002 L⊙, температуру 3000 K и спектральный класс M6, а звезда с массой 18 M⊙ — светимость в 30000 L⊙, температуру 33000 K и спектральный класс O9,5[5]. Также от массы зависит внутреннее строение звёзд: звёзды малых масс полностью конвективны, у звёзд промежуточных масс происходит лучистый перенос в ядре и конвекция во внешних слоях, а у массивных звёзд — конвекция в ядре и лучистый перенос во внешних слоях. Конвекция приводит к относительно быстрому перемешиванию вещества, что выравнивает химический состав конвективного слоя. Это влияет на то, будет ли сохраняться при дальнейшей эволюции однородность слоёв звезды по химическому составу и на её дальнейшую эволюцию[18][52].
Перейдя на главную последовательность, звезда остаётся на ней большую часть времени жизни — около 90 %. Это обусловлено тем, что светимость звёзд на стадии главной последовательности низка по сравнению с другими стадиями, а удельное энерговыделение при синтезе гелия выше, чем при других термоядерных реакциях[22][53][54]. Длительность стадии главной последовательности соответствует ядерной временной шкале для горения водорода, то есть, времени, за которое звезда излучает всю энергию, которая выделяется в реакциях превращения водорода в гелий[40][55]. У самых тяжёлых звёзд, по разным оценкам, она составляет от одного до нескольких миллионов лет[56], а у самых маломассивных — порядка 10 триллионов лет, что превышает возраст Вселенной[6]. Для Солнца срок нахождения на главной последовательности составит 10—13 миллиардов лет[23][35][57]. Большая часть дальнейших стадий эволюции также идёт по ядерной временной шкале, но уже не для водорода, а для других элементов, поэтому занимают меньше времени[40][55].
После перехода звезды на главную последовательность в ней постоянно идёт превращение водорода в гелий. Гелий накапливается в ядре, а водорода остаётся всё меньше, что замедляет скорость синтеза гелия. Поэтому ядро по мере исчерпания водорода сжимается под давлением внешних слоёв, его плотность увеличивается, и в итоге скорость реакций возрастает. Это приводит к заметному изменению характеристик звезды: к примеру, светимость Солнца, когда оно попало на главную последовательность, составляла 70 % от современной, а ко времени окончания стадии будет в 2,2 раза больше неё — то есть светимость меняется более чем в три раза[23]. В дальнейшем эти изменения приводят к настолько существенным изменениям в звезде, что она окончательно сходит с главной последовательности[35][49][58].
Разная длительность стадии главной последовательности у звёзд разной массы позволяет по наблюдениям вычислять возраст звёздных скоплений. В них звёзды образовались практически одновременно, и чем старше скопление, тем меньшую массу имеют те звёзды, которые ещё остались на главной последовательности. Возраст скопления рассчитывается как длительность нахождения на главной последовательности звёзд, которые начали отходить от неё по их известным массам[59][60].
Субкарлики
Субкарлики — звёзды, похожие на звёзды главной последовательности, однако, при одинаковых спектральных классах, субкарлики на 1—2m тусклее[61]. Такая особенность связана с очень низкой металличностью: тяжёлые элементы в звёздах ионизуются не полностью, и у них остаются электроны на глубоких электронных оболочках. Так как размер таких ионов гораздо больше, чем размер ядер водорода и гелия, тяжёлые элементы уменьшают прозрачность вещества звезды, из-за чего энергия из внутренних слоёв медленнее переносится во внешние слои, а вещество субкарликов, наоборот, более прозрачно, чем вещество звёзд главной последовательности, и основным механизмом передачи энергии служит лучистый перенос[8][62].
Низкая металличность субкарликов, в свою очередь, объясняется тем, что субкарлики — старые звёзды, образовавшиеся вскоре после Большого взрыва из реликтового вещества, которое ещё не побывало в недрах звёзд и не претерпело нуклеосинтез тяжёлых элементов и потому не обогатилось тяжёлыми элементами. Субкарлики принадлежат к звёздному населению типа II[8].
Эволюция после стадии главной последовательности




В определённый момент, когда в ядре накапливается слишком много гелия, горение водорода не может продолжаться в том же режиме, что и до этого. Дальнейшая эволюция звёзд существенно зависит от их массы[63].
Звёзды малой массы
Исследование эволюции звёзд малой массы осложняется тем, что длительность стадии главной последовательности для них больше возраста Вселенной — среди звёзд малой массы ещё нет таких, которые сошли с главной последовательности. Однако некоторые данные получены теоретическими расчётами: звёзды с массами менее 0,2 M⊙ не станут красными гигантами, так как их недра полностью конвективны, и, следовательно, химически однородны. Эти звёзды будут, по мере накопления гелия, нагреваться, превращаясь в голубые карлики[6][64].
Звёзды средней массы
Стадия субгигантов
Когда ядро звезды средней массы становится практически полностью гелиевым, реакции в нём прекращаются. Водород всё ещё присутствует во внешней оболочке вокруг ядра, где у звёзд массой до 1,5 M⊙ уже идёт синтез гелия. В звёздах с большей массой гелий в оболочке ещё не синтезируется: сначала начинается кратковременное сжатие, которое приводит к разогреву оболочки ядра и началу горения водорода в ней. Звезда немного нагревается и становится ярче, и на диаграмме Герцшпрунга — Рассела сжатие соответствует движению вверх и влево — так называемому крюку (англ. hook)[41][63].
Новый источник энергии горения водорода называется слоевым источником, и он постепенно перемещается наружу, при этом гелиевое ядро увеличивается. Эта стадия называется ветвью субгигантов, её продолжительность составляет около миллиона лет для звёзд массой 6 M⊙ и около 700 миллионов лет — для звёзд массой 1 M⊙[23][34]. В это время радиус звезды увеличивается, а температура снижается — светимость может изменяться в небольших пределах, то есть звезда по диаграмме движется в основном вправо. Светимость Солнца в конце стадии субгигантов будет не сильно отличаться от той, что в её начале — 2,7 L⊙. Температура будет составлять 4900 K, а радиус — 2,3 R⊙[23]. Малая продолжительность стадии субгигантов для массивных звёзд приводит к тому, что на ней находится небольшое количество наблюдаемых звёзд, и соответствующая область на диаграмме называется пробелом Герцшпрунга[34][63]. Массивные звёзды, проходя эту стадию, временно оказываются на полосе нестабильности и становятся цефеидами, однако, прохождение полосы нестабильности происходит относительно очень быстро — за 102—104 лет. Из-за этого, у некоторых цефеид, за время наблюдательной астрономии замечено изменение периода пульсаций со временем, но, по этой же причине, таких цефеид известно немного. У достаточно массивных звёзд нахождение на голубой петле (см. ниже) занимает значительно больше времени, в течение которого возможен переход полосы нестабильности — поэтому звёзды на последней тоже могут становиться цефеидами и являются ими значительно дольше, чем на стадии субгигантов[65][66].
Ветвь красных гигантов
В конце стадии субгигантов гелиевое ядро у звезды становится достаточно массивным и начинает сжиматься, но то, как проходит этот процесс, зависит от массы звезды. В звёздах с массой более 2,3 M⊙ сжатие ядра начинается из-за того, что в какой-то момент его масса превышает предел Шёнберга — Чандрасекара, при этом вещество ядра остаётся в состоянии, близком к идеальному газу. В звёздах с меньшей массой гелиевое ядро начинает сжиматься после того, как станет вырожденным. На прохождение стадии красного гиганта это не влияет, но от состояния гелиевого ядра зависит, как именно эта стадия окончится[34].
Сжатие ядра приводит к его нагреву и сильному расширению внешних слоёв звезды; точный механизм этого неизвестен, однако так должно происходить, чтобы одновременно выполнялся закон сохранения энергии и теорема вириала[67]. После стадии субгигантов звезда, в любом случае, переходит на ветвь красных гигантов, однако у звёзд меньшей массы гелиевое ядро оказывается вырожденным, а у звёзд большей массы остаётся в состоянии, близком к идеальному газу. Из-за этого поведение звёзд на ветви красных гигантов отличается[34][63][67]. В любом случае, у звезды появляется протяжённая зона конвекции во внешних слоях, которая, в определённый момент, достигает ядра, что приводит к перемешиванию вещества в звезде — так называемому первому вычерпыванию. Происходит быстрый рост радиуса и светимости, хотя температура снижается. Ядро, не имея источника энергии в центре, становится изотермическим, возникает сильный звёздный ветер, приводящий к некоторой потере массы звездой[34][63]. Солнце пробудет на ветви красных гигантов около 600 миллионов лет[23].
В итоге, у звёзд с начальной массой более 2,3 M⊙ постепенно, с ростом температуры и плотности ядра, загорается гелий: при тройной гелиевой реакции из трёх ядер гелия в ядре синтезируется ядро углерода. Для таких звёзд ветвь красных гигантов на этом заканчивается, и они переходят на голубую петлю[34][63][67].
У звёзд с меньшей массой ядро остаётся в вырожденном состоянии, из-за чего вещество ядра хорошо проводит тепло и может быстро отдавать энергию. Кроме того, в это время звезда в большом количестве излучает нейтрино в механизме нейтринного охлаждения, из-за чего рост температуры замедляется и повторное загорание гелия откладывается. Тем не менее, масса гелиевого ядра возрастает, и при массе 0,48—0,50 M⊙ температура оказывается достаточной для запуска тройной гелиевой реакции — порядка 108 K. В отличие от более тяжёлых звёзд, здесь возгорание гелия происходит взрывообразно и за несколько минут выделяется огромное количество энергии, бо́льшая часть которой уходит на снятие вырожденного состояния с вещества ядра — это явление известно как гелиевая вспышка[34][63][67][68]. Непосредственно перед гелиевой вспышкой масса Солнца будет составлять 0,725 M⊙. Его радиус будет составлять 170 R⊙, температура — 3100 K, а светимость — 2300 L⊙[23].
Наконец, в диапазоне масс 0,2—0,5 M⊙ звезда, в какой-то момент, переходит на ветвь красных гигантов, но оказывается недостаточно массивной, чтобы в ней началась тройная гелиевая реакция, и она превращается в белый карлик (см. ниже)[6][69].
Горизонтальная ветвь

В звёздах с массами менее 2,3 M⊙ гелиевая вспышка и начало термоядерных реакций горения гелия в ядре приводят к исчезновению конвективной зоны и быстрому движению звезды в сторону главной последовательности. Звезда быстро уменьшается в размерах и нагревается, её светимость также падает, и она оказывается на горизонтальной ветви (также встречается название «горизонтальная ветвь гигантов») или на красном сгущении — на диаграмме Герцшпрунга — Рассела это самая правая часть горизонтальной ветви, образованная звёздами с металличностью, сравнимой с солнечной[34][63]. Для Солнца переход в красное сгущение займёт лишь около 104 лет, и по окончании перехода оно будет иметь радиус 9,5 R⊙, температуру — 4700 K, а светимость — 41 L⊙[23].
Конкретное положение звезды, только что попавшей на горизонтальную ветвь (горизонтальную ветвь нулевого возраста) зависит от общей массы звезды и массы гелиевого ядра, а также содержания гелия и более тяжёлых элементов во внешней оболочке. Звёзды горизонтальной ветви имеют практически одинаковые светимости, но отличаются по температуре, из-за чего эта ветвь расположена горизонтально на диаграмме Герцшпрунга — Рассела. Она проходит через полосу нестабильности, пересечение с которой образует на диаграмме пробел Шварцшильда. Там нет постоянных звёзд, а только переменные типа RR Лиры. Пробел делит ветвь на две части: холодную и горячую, причём звёзды холодной части образуют на диаграмме красное сгущение[41][67].
В звёздах горизонтальной ветви постепенно расходуется гелий в ядрах, что приводит к некоторому изменению их параметров. В определённый момент запускается гелиевый слоевой источник, а углеродно-кислородное ядро становится неактивным — звезда сходит с горизонтальной ветви[41]. Для Солнца нахождение на горизонтальной ветви продлится 110—130 миллионов лет, и за это время его параметры практически не будут меняться[22][23].
Голубая петля
В звёздах с массами более 2,3 M⊙ гелий загорается не взрывообразно, а постепенно, из-за чего они эволюционируют по-другому. Такого быстрого изменения параметров и положения на диаграмме не происходит, однако с увеличением выработки энергии в гелиевом ядре звезда постепенно сжимается и становится горячее, практически не изменяя светимость, и двигается влево на диаграмме, но потом возвращается к ветви гигантов. Эта часть эволюционного трека называется голубой петлёй[34][41].
Важная особенность голубой петли заключается в том, что на ней звезда может пройти через полосу нестабильности, из-за чего она становится переменной — в этом случае, в отличие от звёзд на горизонтальной ветви, звезда становится цефеидой. Большинство цефеид — это именно звёзды голубой петли, так как её прохождение длится значительно дольше, чем стадия субгигантов. В зависимости от массы и металличности переход полосы нестабильности может случиться дважды (при росте температуры и при её снижении), но может и единожды, если температура звезды на голубой петле не превышает высокотемпературной границы полосы, а может не случиться вообще[41][65][66]. Длительность прохождения голубой петли зависит от массы звезды: при начальной массе звезды в 10 M⊙ время прохождения составит 4 миллиона лет, а при массе в 5 M⊙ — 22 миллиона лет[34].
Асимптотическая ветвь гигантов

Асимптотическая ветвь гигантов условно делится на две части. Первая часть начинается после стадии горизонтальной ветви и голубой петли, когда запасы гелия у звёзд в ядрах практически исчерпаны, а ядра в основном состоят из углерода и кислорода. Горение гелия в ядре заканчивается и запускается гелиевый слоевой источник, подобный водородному, который возникает при завершении стадии главной последовательности. Внешние слои звезды снова начинают быстро расширяться, а поверхность — охлаждаться. В то же время горение водорода в слоевом источнике прекращается. Как и на ветви красного гиганта, появляется протяжённая конвективная оболочка, которая для звёзд тяжелее 3—5 M⊙ (точное значение зависит от начального химического состава) в некоторый момент приводит к перемешиванию вещества — второму вычерпыванию[34][41].
Это приводит к движению звезды на диаграмме Герцшпрунга — Рассела вверх и вправо. У звёзд с массами менее 2,3 M⊙ путь звезды на диаграмме проходит довольно близко к ветви красных гигантов, лишь с немного более высокой температурой, из-за чего эта стадия получила название «асимптотическая ветвь гигантов». Этот же термин используется для описания эволюции звёзд тяжелее 2,3 M⊙, хотя для них асимптотическая ветвь гигантов расположена значительно выше ветви красных гигантов[34][41].
Вторая часть, известная как фаза температурных пульсаций (англ. thermally pulsing phase), наступает, когда гелиевый слоевой источник доходит до оставшейся водородной оболочки. С этого момента слоевые гелиевый и водородный источники начинают чередоваться: звезда становится очень нестабильной, начинает пульсировать и терять массу, выбрасывая вещество и несколько раз перемешивая собственное вещество; период пульсаций звезды составляет от десятков до сотен тысяч лет[70]. На этой стадии у звёзд с массами более 1,2—1,5 M⊙ происходит третье вычерпывание, при котором на поверхность может быть вынесено большое количество углерода, в результате чего звезда может стать углеродной звездой[34]. Звёзды массой менее 8 M⊙ не в состоянии создать в недрах достаточно высокую температуру, чтобы началось ядерное горение углерода, и для них эта стадия становится последней, на которой идут термоядерные реакции — после сброса оболочки от звезды остаётся белый карлик, состоящий из углерода и кислорода[34][41]. К концу этой стадии масса Солнца будет составлять 0,54 M⊙[23].
Звёзды большой массы

Эволюционные стадии звёзд большой начальной массы (более 8 M⊙) имеют сходства с таковыми для менее массивных звёзд, однако есть и отличия. Так, например, горение гелия в таких звёздах начинается ещё до того, как звезда переходит на ветвь красных гигантов, поэтому самые массивные звёзды становятся сверхгигантами, постепенно увеличиваются и охлаждаются, либо, если теряют оболочку из-за сильного звёздного ветра — превращаются в звёзды типа Вольфа — Райе[41].
Эволюция звёзд с массами 8—10 M⊙ проходит так же, как и для менее массивных, однако на завершающих стадиях эволюции они способны зажечь углерод в своих недрах. Запуск этого процесса получил название «углеродная детонация»; он происходит взрывообразно, как и гелиевая вспышка[71]. При углеродной детонации выделяется очень много энергии, что не только снимает вырождение газа ядра, но и способно привести к взрыву звезды как сверхновой типа II. Если же звезда не взрывается, то в ядре начинает накапливаться неон, и, возможно, более тяжёлые элементы. Рано или поздно ядро становится вырожденным, после чего возможны две ситуации: либо звезда сбрасывает оболочку после фазы температурных пульсаций, либо взрывается как сверхновая. В первом случае на месте звезды остаётся белый карлик, во втором — нейтронная звезда[41][72][73].
В звёздах с массами более 10 M⊙ углеродно-кислородное ядро, которое в ней образуется, не вырождено и углеродная детонация не происходит — углерод загорается постепенно, когда заканчивается горение гелия в ядре. Аналогичный процесс происходит и с более тяжёлыми элементами, и в звезде образуется несколько слоевых источников и слоёв разного химического состава, которые распространяются от центра звезды. От массы звезды зависит, на каком элементе закончится термоядерный синтез — однако в любом случае элементы тяжелее железа, имеющего максимальную энергию связи нуклонов на нуклон, синтезироваться не будут, так как это энергетически невыгодно[20][41]. Железо образуется в звёздах с начальной массой более 10—15 M⊙[74], но в любом случае в звезде появляется ядро, в котором не идут термоядерные реакции, а его масса увеличивается. В какой-то момент происходит коллапс ядра с нейтронизацией вещества, и сама звезда взрывается как сверхновая типа II. В зависимости от массы остатка после взрыва звезды, он становится либо нейтронной звездой, либо чёрной дырой[41][75].
Финальные стадии звёздной эволюции
Белые карлики

Белый карлик — горячий объект с малыми размерами и большой плотностью вещества: при массе порядка солнечной его радиус в ~100 раз меньше. Такая большая плотность вызвана вырожденным состоянием его вещества[76].
Звёзды с массами менее 8—10 M⊙ в конце своей эволюции становятся белыми карликами. У звёзд с массами менее 0,2 M⊙ этот процесс проходит без сброса оболочки, так как они химически однородны из-за постоянной конвекции и в конце жизни становятся полностью гелиевыми[6][64]. Звёзды большей массы, когда в них происходит горение слоевого источника, сбрасывают значительную часть массы, что наблюдается как планетарная туманность. От самой звезды остаётся только вырожденное ядро, которое, лишившись оболочки, и является белым карликом. От звёзд с начальной массой менее 0,5 M⊙ остаётся гелиевый белый карлик, от более массивных звёзд до 8 M⊙ — углеродно-кислородный. Если от звёзды с массой 8—10 M⊙ остаётся белый карлик, а не нейтронная звезда, то он состоит из более тяжёлых элементов: кислорода, неона, магния и, возможно, других элементов[41][72].
Так или иначе, в белых карликах не вырабатывается энергия, и они излучают лишь за счёт высокой температуры вещества. Несмотря на то, что самые горячие из них могут иметь поверхностную температуру в 70000 K, их абсолютная светимость невелика из-за малых размеров излучающей поверхности. Постепенно, в течение миллиардов лет, белые карлики остывают и становятся чёрными карликами[76][77].
Нейтронные звёзды

Масса белого карлика ограничена сверху пределом Чандрасекара, равным приблизительно 1,46 M⊙ — для большей массы давление вырожденного электронного газа при любом радиусе белого карлика не может компенсировать силу гравитационного сжатия. В этом случае происходит коллапс ядра, при котором бо́льшая часть его вещества нейтронизуется: электроны «вдавливаются» в протоны, образуя нейтроны и излучая нейтрино. При ядерных плотностях вещества бета-распад нейтронов становится энергетически невыгодным и нейтроны становятся стабильными частицами[78]. Ядро звезды превращается не в белый карлик, а в нейтронную звезду, при этом выделяется огромное количество энергии и происходит взрыв сверхновой. Звёзды с начальной массой более 8—10 M⊙ могут стать как нейтронными звёздам, так и чёрными дырами[41][79][80].
Нейтронные звёзды — ещё более плотные объекты, чем белые карлики. Минимально возможная масса нейтронной звезды составляет 0,1 M⊙, и в таком случае радиус нейтронной звезды будет составлять около 200 км. При массе около 2 M⊙ радиус будет ещё меньше — около 10 км[79].
Чёрные дыры
В случае, если масса ядра будет превышать предел Оппенгеймера — Волкова, равный 2—2,5 M⊙, нейтронная звезда также не будет устойчивой по отношению к гравитационному сжатию, и коллапс продолжится. Состояния вещества, которые могут предотвратить гравитационное сжатие, неизвестны, и ядро будет далее коллапсировать. В какой-то момент его радиус становится равным радиусу Шварцшильда, при котором вторая космическая скорость становится равной скорости света, и возникает чёрная дыра звёздной массы[41][79].
Однако, существует и иной сценарий образования чёрных дыр, при котором взрыв сверхновой не происходит — вместо этого происходит коллапс звезды и её превращение в чёрную дыру, коллапсирующая таким образом звезда называется неудавшейся сверхновой. Предположительно, от 10 до 30 % массивных звёзд заканчивают жизнь именно так, однако, астрономами до сих пор было обнаружено лишь два таких события[81][82].
Эволюция звёзд в тесных двойных системах
Звёзды в двойных системах, если расстояние между ними достаточно велико, практически не влияют друг на друга, поэтому их эволюция может рассматриваться как эволюция двух отдельных звёзд. Однако это неверно для тесных двойных систем — систем, в которых расстояния между звёздами сравнимы с их размерами. В таких системах размер одной или обеих звёзд может превысить размер полости Роша для них, и в таком случае вещество может начать перетекать к другой звезде или выбрасываться в окружающее пространство. Из-за этого массы и химические составы звёзд меняются, что, в свою очередь, меняет ход эволюции звёзд[10][11][83][84].
Тесные системы небольшой массы
Если обе звезды имеют небольшую массу — к примеру, 2 и 1 M⊙, то более массивная звезда в процессе эволюции станет субгигантом, пока вторая будет оставаться звездой главной последовательности. В определённый момент размер большей звезды превысит размер её полости Роша и вещество начнёт перетекать ко второй. В результате изменения масс звёзд от перетекания перетекание массы будет ускоряться, так как звёзды начнут сближаться, что следует из закона сохранения момента импульса. В конце концов, изначально более массивная звезда потеряет всю свою оболочку и превратится в белый карлик с массой 0,6 M⊙, в то время как масса второй звезды увеличится до 2,4 M⊙. Рост массы увеличит скорость её эволюции, вторая звезда проэволюционирует, заполнив свою полость Роша, и газ, в основном состоящий из водорода, из внешних слоёв второй звезды будет перетекать уже с неё на белый карлик. Каждый раз, когда на белый карлик будет попадать достаточное количество водорода, на его поверхности будет происходить водородный термоядерный взрыв, что будет наблюдаться как вспышка новой звезды. Перетекание массы продолжится до тех пор, пока масса белого карлика не превысит предел Чандрасекара, что приведёт к вспышке сверхновой типа Ia[11][83].
По такому механизму эволюционирует, например, тесная двойная система Алголь. С этой системой связан парадокс Алголя, объяснённый в 1950-х годах: в этой системе компонент A имеет большую массу, чем компонент B и должен эволюционировать быстрее, однако Алголь A является звездой главной последовательности, а Алголь B — проэволюционировавшим субгигантом. До того как было установлено наблюдениями, что в системе происходит перетекание масс, существование такой системы казалось противоречащим теории звёздной эволюции[83].
Тесные системы большой массы
В качестве другого примера можно рассмотреть систему из двух звёзд с массами 20 и 8 M⊙. Как и в предыдущем случае, более массивная звезда проэволюционирует раньше и, увеличившись в размерах, начнёт терять вещество. За несколько тысяч лет она потеряет около 3/4 своей массы, став звездой Вольфа — Райе с массой 5 M⊙, состоящей в основном из гелия. В ядре этой звезды будет гореть гелий с образованием углерода и кислорода, и после взрыва сверхновой от неё останется компактный объект с массой около 2 M⊙. Импульс вещества, выброшенного при взрыве сверхновой, может разогнать систему до пространственной скорости порядка 100 км/с[10][11][83][84].
Вторая звезда с массой уже в 23 M⊙, начнёт расширяться и испускать сильный звёздный ветер, вещество которого образует аккреционный диск вокруг компактного объекта, а при падении на него на поверхность звезды будет порождать тепловое рентгеновское излучение. Изначально оно будет довольно слабым, но когда звезда заполнит полость Роша, его мощность будет составлять 103—104 L⊙. В конечном итоге возможны три исхода: образование объекта со сверхкритическим аккреционным диском (пример — SS 433), образование красный гигант с нейтронной звездой в ядре (объект Торна — Житков), и, наконец, может образоваться звезда Вольфа — Райе с компактным спутником и рассеивающейся в пространство оболочкой. В последнем случае звезда типа Вольфа — Райе взорвётся как сверхновая, что в большинстве случаев приведёт к распаду системы, однако возможна ситуация, при которой гравитационная связь компонентов сохранится. В таком случае система превратится в двойную нейтронную звезду[10][11][83][84].
Примечания
- ↑ Эволюция звёзд. Энциклопедия физики и техники. Дата обращения: 11 июля 2020. Архивировано 10 июля 2020 года.
- ↑ Жизнь звёзд. www.sai.msu.su. Дата обращения: 11 июля 2020. Архивировано 1 июля 2020 года.
- ↑ Как выглядит жизненный цикл звезды? new-science.ru. Дата обращения: 11 июля 2020. Архивировано 11 июля 2020 года.
- ↑ Постнов К. А.. Во что превращаются звезды в конце жизни. Астронет. Дата обращения: 11 июля 2020. Архивировано 12 июля 2020 года.
- 1 2 Миронова И. Главная последовательность. Астронет. Дата обращения: 11 июля 2020. Архивировано 29 июня 2020 года.
- 1 2 3 4 5 Laughlin G.; Bodenheimer P.; Adams F. C. The End of the Main Sequence (англ.) // The Astrophysical Journal. — Bristol: IOP Publishing. — ISSN 0004-637X. Архивировано 1 августа 2020 года.
- 1 2 Шкловский, 1984, с. 87.
- 1 2 3 4 5 6 Кононович, Мороз, 2004, с. 398.
- ↑ Эволюция звёзд. Институт физики им. Киренского. Дата обращения: 11 июля 2020. Архивировано 10 февраля 2020 года.
- 1 2 3 4 Эволюция тесных двойных звезд / Тутуков А. В. // Физика космоса: Маленькая энциклопедия / Редкол.: Р. А. Сюняев (гл. ред.) и др. — 2-е изд. — М. : Советская энциклопедия, 1986. — С. 731—738. — 70 000 экз.
- 1 2 3 4 5 Черепащук А. М.. Тесные двойные звезды на поздних стадиях эволюции. Астронет. Дата обращения: 16 июля 2020. Архивировано 20 октября 2015 года.
- ↑ Руни Э. История астрономии. — С. 119. — ISBN 978-5-9950-0834-7.
- 1 2 3 4 История астрономии. Институт истории естествознания и техники имени С. И. Вавилова РАН. Дата обращения: 11 июля 2020. Архивировано 29 июня 2020 года.
- 1 2 3 Шкловский, 1984, с. 102–103.
- ↑ Кононович, Мороз, 2004, с. 360.
- ↑ Шкловский, 1984, с. 133.
- ↑ Я́ДЕРНЫЕ РЕА́КЦИИ В ЗВЁЗДАХ : [арх. 23 октября 2020] / Надёжин Д. К. // Шервуд — Яя. — М. : Большая российская энциклопедия, 2017. — С. 631—632. — (Большая российская энциклопедия : [в 35 т.] / гл. ред. Ю. С. Осипов ; 2004—2017, т. 35). — ISBN 978-5-85270-373-6.
- 1 2 Wilkinson F. Main-Sequence Stars. The Astrophysics Spectator. Дата обращения: 11 июля 2020. Архивировано 21 июля 2018 года.
- ↑ Main Sequence Stars. Australia Telescope National Facility. Дата обращения: 11 июля 2020. Архивировано 21 июля 2020 года.
- 1 2 Кононович, Мороз, 2004, с. 413.
- ↑ Prialnik D. An Introduction to the Theory of Stellar Structure and Evolution (англ.). — Cambridge University Press, 2000. — ISBN 978-0-521-65937-6.
- 1 2 3 Schröder K. P.; Smith R. C. Distant future of the Sun and Earth revisited (англ.) // Monthly Notices of the Royal Astronomical Society : journal. — Oxford University Press, 2008. — May (vol. 386, no. 1). — P. 155—163. — doi:10.1111/j.1365-2966.2008.13022.x. — . — arXiv:0801.4031.
- 1 2 3 4 5 6 7 8 9 10 Sackmann I. J.; Boothroyd A. I.; Kraemer K. E. Our Sun. III. Present and Future (англ.) // The Astrophysical Journal. — IOP Publishing, 1993. Архивировано 4 июня 2020 года.
- ↑ Звёздное рождение титана // Наука и жизнь. — 2020. — Декабрь (№ 12). — С. 15—16. — ISSN 0028-1263. Архивировано 15 июля 2021 года.
- ↑ Рыжов В. Н. Звездный нуклеосинтез - источник происхождения химических элементов. Астронет. Дата обращения: 8 июня 2020. Архивировано 8 июня 2020 года.
- ↑ Взрывной нуклеосинтез. Энциклопедия физики и техники. Дата обращения: 18 июля 2020. Архивировано 18 июля 2020 года.
- ↑ LeBlanc F. An Introduction to Stellar Astrophysics. — United Kingdom: John Wiley & Sons, 2010. — С. 218. — ISBN 978-0-470-69956-0.
- ↑ Lewis J. S. Physics and chemistry of the solar system (англ.). — United Kingdom: Elsevier Academic Press, 2004. — P. 600. — ISBN 978-0-12-446744-6.
- ↑ Chabrier G. Deuterium Burning in Substellar Objects (англ.) // The Astrophysical Journal : journal. — IOP Publishing, 2000. — Vol. 542, no. 2. — P. L119. — doi:10.1086/312941. — . — arXiv:astro-ph/0009174.
- ↑ Темные светила: коричневые карлики. Популярная механика. Дата обращения: 11 июля 2020. Архивировано 8 июня 2020 года.
- 1 2 3 Кононович, Мороз, 2004, с. 387.
- ↑ Шкловский, 1984, с. 43.
- ↑ Section X, Stellar Evolution. University of New Hampshire Experimental Space Plasma Group. Дата обращения: 11 июля 2020. Архивировано 19 августа 2019 года.
- 1 2 3 4 5 6 7 8 9 10 11 12 13 14 15 Salaris M.; Cassisi S. Evolution of Stars and Stellar Populations (англ.). — Cheichester: John Wiley & Sons, 2005. — 388 p. — ISBN 978-0-470-09219-X.
- 1 2 3 4 5 6 Сурдин В. Г.; Ламзин С. А. Протозвёзды. Где, как и из чего формируются звёзды. От облака к звезде. Астронет (1992). Дата обращения: 11 июля 2020. Архивировано 23 сентября 2015 года.
- ↑ Вириала теорема / Новиков И. Д. // Физика космоса: Маленькая энциклопедия / Редкол.: Р. А. Сюняев (гл. ред.) и др. — 2-е изд. — М. : Советская энциклопедия, 1986. — С. 167—168. — 70 000 экз.
- 1 2 3 4 Сурдин В. Г., Ламзин С. А. Протозвёзды. Где, как и из чего формируются звёзды. От облака к звезде. Астронет (1992). Дата обращения: 11 июля 2020. Архивировано 23 сентября 2015 года.
- 1 2 Richard B. Larson. The physics of star formation (англ.) // Reports on Progress in Physics. — Bristol: IOP Publishing, 2003. — September (vol. 66, iss. 10). — P. 1651–1697. — ISSN 0034-4885. — doi:10.1088/0034-4885/66/10/R03.
- 1 2 3 Сурдин В. Г., Ламзин С. А. Протозвёзды. Где, как и из чего формируются звёзды. Что же такое протозвёзды? Астронет (1992). Дата обращения: 5 октября 2020. Архивировано 6 марта 2012 года.
- 1 2 3 4 Эволюция звезд. Кафедра астрономии и космической геодезии. Томский государственный университет. Дата обращения: 30 августа 2020. Архивировано из оригинала 13 июля 2018 года.
- 1 2 3 4 5 6 7 8 9 10 11 12 13 14 15 16 Karttunen H.; Kröger P.; Oja H.; Poutanen M.; Donner K. J. Fundamental Astronomy (англ.). — 5th edition. — Berlin, Heidelberg, New York: Springer, 2007. — P. 243—254. — 510 p. — ISBN 978-3-540-00179-9. Архивировано 5 июня 2020 года.
- ↑ Кононович, Мороз, 2004, с. 394–395.
- 1 2 Darling D. Henyey track. The Internet Encyclopedia of Science. Дата обращения: 11 июля 2020. Архивировано из оригинала 29 января 2010 года.
- 1 2 Henyey track. Oxford Reference. Дата обращения: 11 июля 2020. Архивировано 15 июля 2021 года.
- ↑ Henyey L. G.; Lelevier R.; Levée R. D. THE EARLY PHASES OF STELLAR EVOLUTION // The Astronomical Society of the Pacific. — 1955. Архивировано 8 октября 2020 года.
- ↑ Burrows A.; Hubbard W. B.; Saumon D.; Lunine J. I. An expanded set of brown dwarf and very low mass star models (англ.) // The Astrophysical Journal : рец. науч. журнал. — IOP Publishing, 1993. — Vol. 406, no. 1. — P. 158—171. — ISSN 0004-637X. — doi:10.1086/172427. — . Архивировано 22 декабря 2014 года. — См. c. 160.
- ↑ Кононович, Мороз, 2004, с. 356–358.
- ↑ Hansen C. J.; Kawaler S. D. (1999), Stellar Interiors: Physical Principles, Structure, and Evolution, Astronomy and Astrophysics Library, New York: Springer New York, p. 39, ISBN 978-0387941387, Архивировано из оригинала 7 июня 2020, Дата обращения: 4 июня 2020
{{citation}}: Неизвестный параметр|allpages=игнорируется (справка)Википедия:Обслуживание CS1 (множественные имена: authors list) (ссылка) - 1 2 Clayton D. D. Principles of Stellar Evolution and Nucleosynthesis (англ.). — Chicago: University of Chicago Press, 1983. — P. 481—482. — 621 p. — ISBN 978-0-226-10953-4.
- ↑ Gloeckler G.; Geiss J. Composition of the local interstellar medium as diagnosed with pickup ions (англ.) // Advances in Space Research : journal. — Elsevier, 2004. — Vol. 34, no. 1. — P. 53—60. — ISSN 0273-1177. — doi:10.1016/j.asr.2003.02.054. — .
- ↑ Сурдин В. Г.. Межзвездная среда. Астронет. Дата обращения: 11 июля 2020. Архивировано 17 июля 2020 года.
- ↑ Батурин В.; Миронова И. Звёзды: их строение, жизнь и смерть. Строение звёзд главной последовательности. Астронет. Дата обращения: 11 июля 2020. Архивировано 5 июля 2020 года.
- ↑ Постнов К. А. Эволюция звезд после главной последовательности // Лекции по общей астрофизике для физиков. — М.: Астронет.
- ↑ Кононович, Мороз, 2004, с. 401.
- 1 2 Беляева Е. Е. Физика звёзд. Уравнение гидростатического равновесия. Портал КФУ. Казанский федеральный университет. Дата обращения: 30 августа 2020. Архивировано 11 апреля 2021 года.
- ↑ Попов С. Б. Глава 4 // Вселенная. Краткий путеводитель по пространству и времени: от Солнечной системы до самых далеких галактик и от Большого взрыва до будущего Вселенной. — М.: Альпина нон-фикшн, 2018. — 400 с. — ISBN 978-5-91671-726-6. Архивировано 15 июля 2021 года.
- ↑ Кононович, Мороз, 2004, с. 394–398.
- ↑ Шкловский, 1984, с. 134.
- ↑ Кононович, Мороз, 2004, с. 441.
- ↑ Миронова И. Звёзды: их строение, жизнь и смерть. Наблюдение эволюции звезд. Астронет. Дата обращения: 11 июля 2020. Архивировано 5 июня 2020 года.
- ↑ Zombeck, M. V. Handbook of Space Astronomy and Astrophysics 71—73. Cambridge University Press. Дата обращения: 11 июля 2020. Архивировано 12 августа 2007 года.
- ↑ Светимости классы // Физика космоса: Маленькая энциклопедия / Редкол.: Р. А. Сюняев (гл. ред.) и др. — 2-е изд. — М. : Советская энциклопедия, 1986. — С. 607. — 656 с. — 70 000 экз.
- 1 2 3 4 5 6 7 8 Кононович, Мороз, 2004, с. 399.
- 1 2 Сурдин, 2015, с. 158.
- 1 2 Gerard S. The Secret Lives of Cepheids (англ.). Villanova University (2014). Дата обращения: 12 июля 2020. Архивировано 13 июля 2020 года.
- 1 2 Расторгуев А. С. Цефеиды — звёздные маяки Вселенной. Государственный астрономический институт имени П. К. Штернберга, МГУ. Дата обращения: 11 июля 2020. Архивировано 15 июля 2021 года.
- 1 2 3 4 5 Djorgovski G. Post-Main Sequence Stellar Evolution. Caltech Astronomy. Дата обращения: 11 июля 2020. Архивировано 4 июля 2020 года.
- ↑ Шкловский, 1984, с. 137.
- ↑ F. C. Adams, G. J. M. Graves, G. Laughlin. Red Dwarfs and the End of the Main Sequence (англ.) // Revista Mexicana de Astronomía y Astrofísica. — Mexico: Instituto de Astronomía, 2004. — 1 December (vol. 22). — P. 46–49. — ISSN 0185-1101. Архивировано 10 августа 2013 года.
- ↑ van Loon, J. Th. On the metallicity dependence of the winds from red supergiants and Asymptotic Giant Branch stars // Stellar Evolution at Low Metallicity: Mass Loss, Explosions, Cosmology ASP Conference Series (англ.) / editors: P.A. Crowther, J. Puls. — 2008. — 12 p. — doi:10.1017/S1743921308020528.
- ↑ Батурин В. А.; Миронова И. В. Углеродная детонация. Астронет. Дата обращения: 19 июля 2020. Архивировано 5 июня 2020 года.
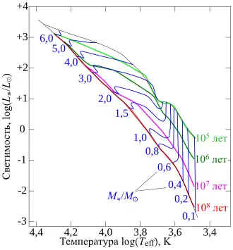
- 1 2 Миронова И. Схема эволюции одиночной звезды. Астронет. Астронет. Дата обращения: 11 июля 2020. Архивировано 29 июня 2020 года.
- ↑ Siess, L. Evolution of massive AGB stars (англ.) // Astronomy and Astrophysics : journal. — 2006. — Vol. 448, no. 2. — P. 717—729. — doi:10.1051/0004-6361:20053043. — .
- ↑ Salaris M., Cassisi S. Evolution of Stars and Stellar Populations (англ.). — Chichester: John Wiley & Sons, 2005. — С. 239. — 338 p. — ISBN 978-0-470-09219-X.
- ↑ Кононович, Мороз, 2004, с. 414.
- 1 2 Кононович, Мороз, 2004, с. 418.
- ↑ White dwarf star (англ.). Encyclopedia Britannica. Дата обращения: 29 ноября 2021. Архивировано 29 ноября 2021 года.
- ↑ Надёжин Д. К. Нейтронизация. Физика космоса. Астронет. Дата обращения: 29 ноября 2021. Архивировано 29 ноября 2021 года.
- 1 2 3 Кононович, Мороз, 2004, с. 420.
- ↑ Сверхновые звёзды / Утробин В. П. // Физика космоса: Маленькая энциклопедия / Редкол.: Р. А. Сюняев (гл. ред.) и др. — 2-е изд. — М. : Советская энциклопедия, 1986. — С. 600—607. — 70 000 экз.
- ↑ Collapsing Star Gives Birth to a Black Hole. NASA, Jet Propulsion Laboratory (25 мая 2017). Дата обращения: 16 июля 2020. Архивировано 16 июля 2020 года.
- ↑ Billings L. Astronomers May Have Witnessed 2 Black Hole Births. Scientific American (1 ноября 2015). Дата обращения: 16 июля 2020. Архивировано 25 апреля 2016 года.
- 1 2 3 4 5 Karttunen H.; Kröger P.; Oja H.; Poutanen M.; Donner K. J. Fundamental Astronomy. — Springer, 2007. — С. 254—256. — 510 с. — ISBN 978-3-540-00179-9. Архивировано 5 июня 2020 года.
- 1 2 3 Кононович, Мороз, 2004, с. 421—427.
Литература
- Кононович Э. В.; Мороз В. И. Общий курс астрономии. — 2-е, исправленное. — УРСС, 2004. — 544 с. — ISBN 5-354-00866-2.
- Сурдин В. Г. Астрономия: век XXI. — 3-е изд. — Фрязино: Век 2, 2015. — 608 с. — ISBN 978-5-85099-193-7.
- Шкловский И. С. Звёзды: их рождение, жизнь и смерть. — М.: Наука, Главная редакция физико-математической литературы, 1984. — С. 102—103. — 384 с.
- Hansen C. J.; Kawaler, S. D.; Trimble, V. Stellar interiors: physical principles, structure, and evolution (англ.). — 2nd. — New York: Springer-Verlag, 2004. — 446 p. — ISBN 0-387-20089-4.
- Prialnik D. An Introduction to the Theory of Stellar Structure and Evolution (англ.). — New York: Cambridge University Press, 2000. — 261 p. — ISBN 0-521-65065-8.
- Ryan S. G.; Norton A. J. Stellar Evolution and Nucleosynthesis. — Cambridge: Cambridge University Press, 2010. — С. 125. — ISBN 978-0521133203.

