Индекс онлайн-репутации
Ex (индекс репутации в интернете, индекс онлайн-репутации) — величина, определяющая онлайн-репутацию компании, персоны, бренда или другого объекта исследования в интернете. Значение Ex-индекса позволяет численно сравнить репутацию различных компаний, оценить инвестиционную привлекательность бренда или компании, позволяет спланировать маркетинговые мероприятия компании в области управления репутации и определить их эффективность по характеру изменения индекса.
Обозначение: Ex-индекс,
Физический смысл Индекса Ex — это вероятность формирования случайным пользователем интернета положительного или отрицательного образа об объекте измерения.
Диапазон значений Ex: −100 % до +100 %, где −100 % соответствует полностью отрицательному впечатлению, +100 % — полностью положительному впечатлению.
Оценка Индекса Ex заключается в подсчёте положительных, отрицательных и нейтральных материалов, найденных в интернете в поисковых системах об объекте анализа репутации «A» и обработке полученной статистики.
Для оценки индекса Ex репутации объекта «A» (компании или бренда) в поисковых системах необходимо:
1) Определить список поисковых запросов x1,x2,x3…xi…xm , связанных по смыслу с «A» и оценить их популярность (запрашиваемость) за отрезок времени p(xi) — количество запросов, например, в месяц или год.
2) Определить поисковые системы, по которым будет измеряться Ex-индекс.
| Поисковая система
S |
Популярность в России
(на июль 2014 года) |
| Yandex.ru | 52,7 % |
| Google.ru | 37,6 % |
| Mail.ru | 7,7 % |
| Rambler.ru | 0.8 % |
| Bing.com | 0.7 % |
| Yahoo.com | 0.2 % |
| Nigma.com | 0.1 % |
| Другие | < 0,2 % |
На практике, измерения проводят по двум-трём поисковым системам, наиболее сильно влияющих на мнение аудитории: Яндекс, Google и Mail.ru. Обозначим это множество S=[Yandex,Google,Mail, … ].
3) Произвести подсчёт положительного и отрицательного контента, осуществляя поиск по каждой поисковой фразе в каждой поисковой системе. На каждой найденной поисковой системой странице подсчитываются положительные или отрицательные упоминания объекта А и рассчитывается тональность каждого найденного результата T. Результаты записываются в таблицу.
| Позиция результата n в выдаче поисковой системы S | Оценка тональности результата | Вероятность перехода пользователей на страницу с результатом поиска Pn(Sn) | |||
| Всего упоминаний объекта A на найденной странице (положит, отрицательных, нейтральных) | Количество положительных упоминаний объекта A на найденной странице | Количество отрицательных упоминаний объекта A на найденной странице | Тональность найденной страницы
-100 % … +100 % | ||
| 1 | r | r+ | r- | P1 | |
| 2 | r | r+ | r- | T2=… | P2 |
| 3 | r | r+ | r- | T3=… | P3 |
| 4 | r | r+ | r- | … | P4 |
| 5 | r | r+ | r- | P5 | |
| 6 | r | r+ | r- | P6 | |
| 7 | r | r+ | r- | P7 | |
| 8 | r | r+ | r- | P8 | |
| 9 | r | r+ | r- | P9 | |
| 10 | r | r+ | r- | P10 | |
| … n | … | … | … | Tn | Pn |
4) Определяется индекс репутации ex поискового запроса x для каждой поисковой системы S:
где: ex — индекс репутации поискового запроса x;
S — поисковая система;
T — тональность страницы;
P — вероятность перехода (клика) пользователя поисковой системы на результат поиска.
Результаты поиска в начале web-страницы значительно чаще просматриваются пользователями и, следовательно, вероятности распределения кликов по позиции результата на web-странице зависят от дизайна страницы поисковой системы, устройства и разрешения экрана, на котором пользователь осуществлял поиск. На практике, для упрощения, принимается во внимание лишь первая страница результатов поиска, т. н. ТОП-10, а распределение кликов по позициям задаётся одинаковым для любой поисковой системы.
Таблица примерной вероятности кликов и переходов на результат поиска из поисковых систем:
| Строка результатов поиска и
Вероятность перехода | |
| P1 | 26,9 % |
| P2 | 17,1 % |
| P3 | 14,9 % |
| P4 | 8,9 % |
| P5 | 7,1 % |
| P6 | 4,7 % |
| P7 | 5,6 % |
| P8 | 5,1 % |
| P9 | 4,7 % |
| P10 | 4,7 % |
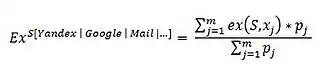
5) Определяется индекс репутации объекта оценки A в каждой поисковой системе по формуле:

где: Еx — индекс репутации объекта оценки;
S — поисковая система;
ex — индекс репутации поискового запроса x;
pi — вероятность перехода (клика) пользователя поисковой системы на результат поиска.
6) Индекс Ex репутации в поисковых системах определяется как сумма индексов в каждой поисковой системе умноженных на долю её рынка, по формуле:

где: — доля рынка поисковой системы.
Регулярная оценка индекса репутации компании, бренда, персоны, товара или услуги в поисковых системах позволяет следить за динамикой и проводить меры по улучшению репутации, оценивать качество продвижения компании на рынок, реакцию клиентов компании на товары или услуги компании. Зачастую, для оценки репутации компании, бренда, персоны используют различные сервисы, например, сервис измерения репутации PRAVDASERM
Литература
Научная дискуссия: инновации в современном мире – сборник статей по материалам L международной научно-практической конференции, стр.77. (http://www.internauka.org/archive2/inno/6(49_1).pdf)
Лебедев А.Н., Куприянов М.С., Недосекин Д.Д., Чернявский Е.А. Вероятностные методы в инженерных задачах. – СПб.: Энергоатомиздат, 2000. - 332 с.
Вероятность и математическая статистика: энциклопедический словарь. - М. : Дрофа, 2003. - 910 с.
Гавришин К. В. Управление репутацией компании и ее оценка. Автореф. дис. канд. экон. наук.- Санкт-Петербург, 2010. - 20 с.
Даулинг Г. Репутация фирмы: создание, управление и оценка эффективности. – М.: Консалтинговая группа «ИМИДЖ-Контакт», 2003. – 367 с.
Ссылки
ONLINE REPUTATION SCORING™ – ORS™
Web Based Reputation Index of Turkish Universities
Measuring and Monitoring Online Reputation: What, Why, and How
Measuring Reputation Management
A Computational Model of Trust and Reputation
SOCIAL MEDIA METRICS – SIM SCORE VS NET REPUTATION SCORE (NRS)
Примечания
Пример расчета Ex-индекса репутации бренда производителя электроники
Measuring and Monitoring Online Reputation: What, Why, and How