Катрицки, Алан Рой
| Алан Рой Катрицки | |
|---|---|
| Alan Roy Katritzky | |
| Дата рождения | 18 августа 1928 |
| Место рождения | Харрингей, Лондон, Великобритания |
| Дата смерти | 10 февраля 2014 (85 лет) |
| Место смерти | |
| Страна | Великобритания |
| Род деятельности | химик |
| Место работы | |
| Альма-матер | |
| Награды и премии | |
Алан Рой Катрицкий (18 августа 1928 — 10 февраля 2014) — член Лондонского королевского общества, член Совета химического общества, вице-президент Королевского Института химии, основатель Университета восточной Англии в Норвиче, основатель Центра гетероциклических соединений в Гейнсвилле. Область научных интересов — органическая химия, в частности, химия гетероциклических соединений, а также физическая органическая химия.
Биография
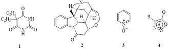
Алан Рой Катрицки родился 18 августа 1928 в Харрингее, пригороде северного Лондона в семье портных Чарльза и Марии Катрицки. С 1933 года Алан посещал начальную и среднюю школы в Южном Харрингее до тех пор, пока в 1940 году не был эвакуирован со своей новой школой, гимназией округа Хорнс, в Уисбек, графство Кембриджшир, где продолжил обучение в местной средней школе. Несмотря на то, что в то время химию там не преподавали, на изучение этого предмета его вдохновляли частные уроки В. Е. Филдхауса, преподавателя химии в другой школе. После возвращения в Лондон он организовал собственную химическую лабораторию на дому. К своему 15-тилетию он синтезировал своё первое гетероциклическое соединения, барбитурат веронал 1.
С 1946 года он провел два года на обязательной военной службе. По ее окончании в 1948 году Алан поступил в колледж Св. Екатерины в Оксфорде на факультет химии. Он получил диплом бакалавра с отличием и предложение продолжать научную деятельность в органической химии под руководством Сиднейской лаборатории.
В это же время Алан встретил свою будущую жену, Линду Килиан, дочь доктора юридических наук из Мюнхена, во время поездки в горы в 1949 году в рамках программы обмена студентов из Оксфорда и Мюнхена. Они поженились в 1952 году в Мюнхене, а затем переехали в Англию. В их семье выросли дети, Маргарет, Эрика, Руперт и Фрида. Впоследствии Алан Катрицки стал дедушкой трех внуков.
Летом 2012 года во время мирового турне Алана поразил радикулит, вследствие чего турне пришлось прервать. Во время операции на позвоночнике, он перенес инсульт, который сильно повлиял на его движение, хотя его умственные способности нарушены не были. Он умер 10 февраля 2014 года после падения.
Научные исследования
1954—1958, Оксфорд
В 1954 году Алан получил докторскую степень, работая в научной группе сэра Роберта Робинсона. Его диссертация была посвящена структуре и синтезу стрихнина 2 и оказала бы значительное влияние, если бы не была второй. Научная группа из Японии достигла тех же результатов в работе, которая была опубликована во время войны, но появилась на Западе лишь несколько лет спустя.

Научные интересы Алана в это время были, главным образом, в изучении пиридина и его N-оксида 3, в том числе в изучении и развитии их химических превращений. В 1955 году Алан опубликовал статью в журнале «Химия и промышленность», в которой поставил под сомнение представление Уилсона Бейкера 4 о мезоионных синдонах и последующих сложностях по поводу изображения формальных связей[2]. Также он ставил под сомнение необходимость использовать стрелку, чтобы представить направление донорства электронов в N-O-связи N-оксида, указав, что в этом нет необходимости, так как положительные и отрицательные заряды локализованы на азоте и кислороде, соответственно, и единственная связь между ними эквивалентна стрелке, что делало ее избыточной.
1958 — начало 1960-х, Кембридж
В начале 1958 года Алан Катрицки отправился в Кембридж. Работа над пиридинами, продолжилась и здесь, однако приобрела несколько ярко выраженных направлений. Одним из главных направлений было изучение прототропной таутомерии замещенных производных пиридина, а именно гидрокси-, меркапто- и аминосоединений. Примечательно, что в это же время работа Уотсона и Крика по моделированию структуры ДНК показала, что аденин образует водородную связь с тимином, а гуанин — с цитозином только при использовании правильных кето-амино-таутомерных формах оснований, обнаруженных лишь незадолго до этого и не являющихся еще общепринятыми. Эта работа, наряду с работой группы Адриена Альберта в Канберре, внесла ценный вклад в понимание химической реакционной способности, и в большем масштабе признание важности физической органической химии. Другое фундаментальное направление включало дальнейшее изучение N-оксида. В своих исследованиях Алан развил понятие «мезомерных эффектов», показав, что N-оксид может выступать как в качестве донора, так и акцептора электронов.
Исследования инфракрасных спектров различных классов гетероциклических молекул, начатые в Оксфорде в конце 1950-х и начале 1960-х годов, развивалась также по нескольким направлениям. Алан разработал способ перехода от качественных описаний, которые преобладали до того времени, к полуколичественным измерениям интенсивностей пиков. Это направление исследований получило дальнейшее развитие с помощью полуэмпирических расчетов для оценки изменения дипольного момента. Изучение интенсивности инфракрасного излучения продолжалось в течение многих лет. В этой области было опубликовано более 40 научных работ под заголовком «Интенсивность инфракрасного излучения как количественная мера внутримолекулярных взаимодействий». Обзорная статья 1977 года представляет результаты десятков лет исследований[3].
С появлением коммерчески доступных ЯМР спектрометров исследования в органической химии приобрели новый характер. В сотрудничестве с доктором Ричардом Джонсом и старшими научными сотрудниками лаборатории было исследовано значение ЯМР-спектроскопии 31P для решения структурных проблем.
Начало 1960-х −1980, Норвич
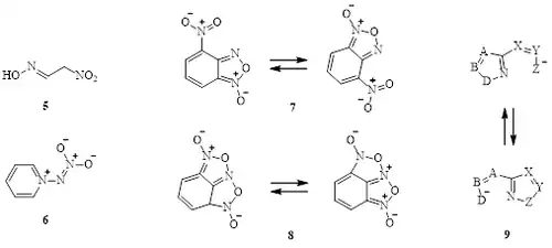
Несмотря на ощутимую часть химии гетероциклов в исследованиях Катрицки, в его исследованиях были и другие направления. Во время пребывания в Норвиче, например, была широко изучена проблема места протонирования амидов. Совместно с польскими коллегами он исследовал химический состав метазоновой кислоты 5[4] и N-нитроиминов (например, 6)[5]. Главным образом, благодаря сотрудничеству с промышленностью (в частности, с международной компанией по производству синтетического каучука, с которой у него сложились давние отношения), была успешно решена задача секвенирования полимеров с использованием ЯМР-спектроскопии[6].
Еще одной областью исследований, начатой в годы Кембриджа, была гетероциклические перегруппировки. В сотрудничестве с бывшей коллегой Сидни Бейли в процессе исследования бензофуроксанов было доказано, что нитрогруппа может вытеснить часть структуру фуроксанового кольца в результате вырожденной перегруппировки. Повторив работу старой немецкой литературы, Алану удалось установить ее недостоверность, фактически, предложенная реакция 7 работала отлично[7]. Полная обработка с использованием кристаллической структуры и теоретических расчетов была проведена гораздо позже[8]. Реакция протекала хорошо в других субстратах с аналогичными двойными связями[9], а также в пятичленных циклах с соответствующим расположением трехатомной системы: «моноядерная гетероциклическая перегруппировка» 9[10].

По мере распространения ЯМР-спектрометров оказалась, что данный метод является идеальным инструментом для изучения спорных вопросах о конформации N-H группы в пиперидине 10 — предпочитает ли он аксиальное или экваториальное расположение. Так, в 1974 году было установлено, что предпочтительнее расположение N-H группы в экваториальном положении[11]. (Ссылки[11] и[12] являются обзорными статьями группы Катрицки и других участников по вопросу конформации.) В течение нескольких следующих лет были изучены конформационные равновесия большого разнообразия насыщенных гетероциклических часто в сотрудничестве с доктором Ричардом Джонсом или доктором Майклом Куком.
3-Оксидопиридиний бетаин 11 оказался превосходным субстратом реакций циклоприсоединения. Варьируя заместитель на атоме азота, эти соединения могут присоединять диполярофильные соединения по атому азота (в позиции 2 и 6) или по группе С-O (в позиции 2 и 4), или между атомом кислорода и соседним углеродом (позиции 2 и 4). Было установлено, что как термический, так и фотохимический способ проведения реакции являются эффективными при широком разнообразии соединений[13].

В рамках другого проекта (начатого профессором Роном Топсом из Университета Ла-Троб и продолженном доктором Майком Куком из Университета Восточной Англии) Алан Катрицки изучал влияние гетероатомов в кольце на ароматичность соединения. Собрав ранние исследования, удалось сформулировали проблему[14]. Гораздо позже, Алан показал, что можно получить удовлетворительную количественную меру ароматичности с двумя параметры, воспользовавшись методом многопараметрического анализа. Данный метод был главным образом предназначен для изучения физико-химических свойств фармакологически активных соединений в зависимости от их эффективности. Один из параметров он назвал «классической ароматичностью», которая определяет геометрию и зависит от природы гетероатомов и от размера кольца. Другой, называемый «магнитной ароматичностью», зависит главным образом от количества, а не от природы гетероатомов. Этот вывод был первоначально сделан в 1989 году[15] и был закреплен более глубоким исследованием в 1998 году в сотрудничестве с профессорами Мати Карелсоном (Таллин), Мареком Крыговским (Варшава) и Карлом Югом (Ганновер)[16]. Однако не все химики были удовлетворены предложением «двойного параметра»; выдающийся теоретик Пол Шлейер настаивал на том, что различные критерии демонстрируют сильную взаимозависимость, и поэтому явление следует рассматривать как одномерное. В 2002 году была опубликована совместная публикация, призванная устранить это несоответствие[17]. Дальнейшее обсуждение этого вопроса было опубликовано в 2004 г.[18]
1980—2014, Гейнсвилл
В 1980 Алан Катрицки принял приглашение на должность профессора-исследователя кафедры химии в Университете Флориды в Гейнсвилле. Во Флориде его карьера вступила в новую фазу исследований, он продолжал очень активные исследования, руководя большой командой почти до самой своей смерти. В 1980 году он также был избран в члены Королевского общества.
Химия гетероциклов в США в то время, не пользовалась уважением со стороны академического сообщества. Но он знал ее практическую важность, поэтому основал Центр гетероциклических соединений, где вскоре создал большую и активную исследовательскую школу.
Многопараметрический анализ данных, упомянутый выше, привел к созданию компьютерного метода прогнозирования биологической активности структуры (CODESSA — COmprehensive DEscriptors for Structural and Statistical Analysis), который был признан полезным в некоторых областях медицинской химии. Программа была широко доступна через интернет и использовалась для поиска более эффективных противомалярийных средств и средств от комаров, в исследованиях по переносу лекарственных средств в грудное молоко и в различных других областях, представляющих интерес, но не только в медицинской сфере.
Интерес к детальным механизмам органических реакций сохранялся у Катрицки на протяжении многих лет. Так, он показал, что нуклеофильное замещение в алифатических соединениях подразумевает более сложный механизм, и время от времени публиковал убедительные аргументы для пересмотра этой картины[19]. Реакция Котали-Цунгаса (12 → 13), которая приводит к превращению фенольной группы в ароильную группу, была подробно изучена в сотрудничестве с одним из первоначальных исследователей этой реакции и был предложен рациональный механизм[20].
Среди других тем, в которые он внес значительный вклад, были химические датчики для обнаружения летучих и газообразных загрязнителей, а также новаторские исследования в области высокотемпературной и водной органической химии высокого давления, проведенные в сотрудничестве с компанией Exxon, которые выявили некоторые интересные экологически значимые реакции. В последние годы были проведены попытки использования вычислительных методов для прогнозирования физико-химических и биологических свойств на основе химического строения соединения.

В публикациях Алана за последние 25 лет его карьеры преобладали, в основном, его работы по использованию бензотриазола 14 в органическом синтезе. При присоединении к другим молекулам, обычно через азот в положении 1, эта кольцевая структура может быть как донором, так и акцептором электронов (двойная способность, также проявляющаяся в N-оксидах пиридина, которые были его ранним интересом)[21]; она химически очень стабильна и может быть легко удалена, когда больше не нужна. Универсальность этого химического хамелеона породила более 400 научных работ, в том числе реакцию Катрицки-Ли[22]. Весьма значительными достижениями этой работы были синтезы пептидов из предварительно сформированных цепей, мостиковых циклических пептидных систем, а также аминокислотных и пептидных конъюгатов с фармакологически активными молекулами.
Карьера, научно-организационная деятельность
После получения докторской степени Алан оставался в Оксфорде в качестве независимого исследователя с 1954 по 1958 год, руководя небольшой, но активной исследовательской группой в лаборатории Дайсона Перринса. В эти годы Алан начал свою педагогическую деятельность, занимая должность старшего преподавателя в колледже Магдалена и лектора колледжа в Пемброке.
В начале 1958 года Алан Катрицки покинул Оксфорд и отправился в Кембридж. Изначально он был назначен на должность демонстратора колледжа Тринити-Холл, но через четыре года он начал читать лекции. В 1959 году он стал одним из основателей нового Колледжа Черчилля, в котором сэр Джон Кокрофт, член Лондонского Королевского общества, был первым магистром.
В начале 1960-х годов Комитет по университетским грантам планировал создать семь новых университетах Великобритании. Алан, на тот момент занимающий младшую должность в Кембридже, воспользовался этой возможностью и был предварительно назначен в 1962 году на должность профессора химии и основателя новой школы физических наук в УВА в Норвиче. Университетский совет по академическому планированию, в состав которого входили сэр Кристофер Ингольд, член Лондонского Королевского общества, влиятельный химик из Университетского колледжа Лондона, предлагал создание междисциплинарной школы физических наук, возглавляемой центральной дисциплиной химией, в соответствии с общей стратегией междисциплинарных школ как искусств, так и наук. Раннее назначение дало Алану возможность заручиться широкой внешней поддержкой и настаивать на том, чтобы вопреки стратегии междисциплинарных школ он был назначен руководителем школы химических наук, обосновав свою точку зрения тем, что ресурсов школы недостаточно для преподавания двух дисциплин — химии и физики. Это предложение сразу же вызвало споры с коллегами, занимающимися искусством. Сопротивление оказали также Ингольд и сэр Солли (позднее лорд) Цукерман, член Лондонского Королевского общества, еще один член Академического совета по планированию. Однако Алан заручился поддержкой Тодда в Кембридже и Робинсона в Оксфорде; при активной закулисной поддержке Кокрофта он одержал победу над вице-канцлером Фрэнком Тистлетвейтом, и его доводы возобладали. Он пригласил еще двух профессоров, Нормана Шеппарда (Член Лондонского Королевского общества, 1967) по физической химии из Кембриджа и Стивена Мейсона (Член Лондонского Королевского общества, 1982) по физико-химическим методам анализов из Университета Эксетера. Эти назначения значительно укрепили школу, привлекая ярких молодых ученых. Ральф Элси, бывший сотрудник компании Norwich, был приглашен из Манчестерского института науки и технологий для создания сильной команды технического персонала и управления финансами.
Первый курс химии в Университете Восточной Англии был проведен в рамках подготовки к курсам бакалавра, которые должны были начаться в 1964 году; с 1963 года уже функционировала исследовательская школа, пока на временных условиях. Алан принимал активное участие в планировании и проектировании лабораторий. В течение пяти лет новая школа, направленная на получение химического образования в Соединенном Королевстве, набрала около 25 преподавателей и, наряду с программой обучения студентов, создала сильную аспирантскую исследовательскую школу с более чем 100 студентами.
За время правления Алана Университетом Восточной Англии был создан процветающий департамент. Он провел второй срок в качестве директора школы, но к 1980 году административная работа стала более утомительной, и он осознал, что пора двигаться дальше. Поэтому он принял приглашение от кафедры химии в Университете Флориды в Гейнсвилле, где позже основал Центр гетероциклических соединений, который вскоре содержал большую и активную исследовательскую школу.
Основные труды, издательское дело
В 1960 году была опубликована популярная научная книга «Гетероциклическая химия», в сотрудничестве с Жанной Лаговски[23]. В 1965 году Алан написал рецензию на 4-й том монографии о пиридинах в серии Вайсбергера — Тейлора, которая была озаглавлена «Назовем вещи своими именами»[24]. Позже была опубликована монография о гетероциклических N-оксидах[21].
К моменту, когда три ранние книги Алана Катрицки в соавторстве с Жанной Лаговски уже были изданы, он решил для себя, что его métier (фр. профессия) может быть связана с организационной и издательской частью процесса. В 1957 году Роберт Робинсон и Роберт Вудворд Формэрс основали новый журнал по органической химии Tetrahedron; два года спустя был создан родственный журнал Tetrahedron Letter. Оба журнала выпускало издательство Pergamon Press. В 1965 году главный редактор Tetrahedron Letters Генри Стивен неожиданно скончался, и главным редактором был назначен Алан Катрицки. Когда Алан переехал во Флориду, он стал американским редактором Tetrahedron, оставаясь на этой должности до 1998 года.
В 1962 году Алан договорился с издательством Academic Press о том, чтобы стать редактором новой серии обзоров, Advances in heterocyclic chemistry. Один или два тома обзоров выпускались ежегодно, первый из которых вышел в 1963 году.
Алан был соавтором двух обширных монографий в сериях: дополнительный том в 1976 году с Хосе Эльгеро, Клод Марзин и Паоло Линда о таутомерии гетероциклов[25] и с Роджером Тейлором из Суссекского университета об электрофильном замещении гетероциклов, который появился в 1990 году как 47 том этой серии[26].
В 1980 году, покинув страну, Алан оставил британскую редакцию Tetrahedron Letters. К тому времени серия Comprehensive heterocyclic chemistry (CHEC) уже была на доске почета в Pergamon Press. Публикация завершилась в 1984 году в восьми томах. Данный проект была достаточно успешен, что спровоцировало создание аналогичных серий в других областях (металлоорганические, натуральные продукты и лекарственная химия) и обновление уже существующих — CHECII в 1996 году (Алан Катрицки, Чарльз Рис и Эрик Скривен; 11 томов) и CHEC III в 2008 году (Алан Катрицки, Крис Рамсден и Ричард Тейлор; 15 томов). Алан Катрицки был также соредактором другой серии, Comprehensive organic functional group transformations с Отто Мет-Коном, Чарльзом Рисом и Ричардом Тейлором, опубликованной в 1995 году и обновленным в 2005 году. Также были выпущены и другие серийные обзорные публикации: Best synthetic methods под редакцией Риза и Мет-Кона и Topics in applied chemistry под редакцией Габи Сабонги. В 1992 году Elsevier поглотил Pergamon Press, а в 2000 году — Academic Press, в результате чего почти все издательства Алана оказались в одних руках.
Алан создал «некоммерческую» организацию ARKAT, которая получает доходы от промышленных предприятий, из которых впоследствии выделяются средства на деятельность Центра гетероциклической химии. В 2000 году семья Катрицки предоставила средства для создания и запуска во Всемирной паутине журнала, посвященного органической химии, который был бы в свободном доступе. Журнал Arkivoc вышел под эгидой ARKAT и управляется Контрольным советом, главным образом, состоящим из его научных редакторов.
Консультации и поездки
Алан Катрицки за свою карьеру смог выстроить отношения с множеством промышленных компаний по всему миру, консультируя во многих областях химии и организуя различные курсы повышения квалификации для работников предприятий. Так, например, находясь в Норвиче, он наладил очень длительные отношения с Minnesota Miningand Manufacturing (3M), регулярно консультируя в лабораториях Harlow, с дочерней компанией Ferrania в Савоне и в штаб-квартире в Сент-Поле, штат Миннесота, а также с Pfizer в Сэндвиче, Кент. Также ему довелось сотрудничать с компанией International Synthetic Rubber, в Саутгемптоне. Как в Университете Восточной Англии, так и в Гейнсвилле он организовал регулярные краткосрочные и долгосрочные курсы для представителей промышленности, желающих улучшить и обновить свои знания в области органической химии. После его переезда во Флориду, промышленное консультирование Алана процветало. В целом, он был научным консультантом в более чем 30 компаниях в течение значительных периодов его жизни, в некоторых случаях нескольких десятилетий.
Алан Катрицки проводил лекционные туры, многие из которых проходили под эгидой Британского совета, но также и многие другие по отдельным договоренностям с национальными академиями наук или химическими сообществами. В период с 1959 по 1976 год он совершил 15 поездок в Италию, посетил США не менее 17 раз, Францию 7 раз, Германию (Восточную и Западную) 10 раз. Также побывал в Бразилии, Уругвае и Аргентине, Австралии, Новой Зеландии, Таити и Фиджи, Египте, Судане, Японии, Таиланде, Иордании и Ливане. Из многих этих стран он смог пригласить некоторых наиболее способных студентов в постдокторантуру, как в Университет Восточной Англии, так и в Гейнсвилл; химические факультеты там приобрели очень космополитический характер. Помимо лекций на конференциях и в университетах, он получил четырнадцать почетных докторских степеней.
Почести и награды
Будучи членом Совета химического общества, а также вице-президентом Королевского Института химии, Алан оказал влияние на объединение четырех основных химических организаций Великобритании — Химического сообщества, Королевского Института химии, общества Фарадея и общества аналитической химии, а также на возобновление деятельности объединенной структуры в качестве Королевского общества химии (1980 год).
Наряду с профессором Гурносом Джонсом и профессором Чарльзом Рисом (Императорский колледж) Алан сыграл ведущую роль в создании в 1967 году Гетероциклической группы Химического общества. Группа раз в два года организует встречи в Грасмере, где проводят лекции проводятся в течение трех дней по утрам и вечерам, после обеда — бесплатно. Несколько позже были организованы англо-итальянские встречи между Гетероциклической Группой и Società Chimica Italiana (Итальянским обществом химии). Они также проводятся раз в два года, поочередно в Великобритании и Италии. Алан был первым председателем группы с 1967 по 1969 год. Он также занимал двухлетний срок в качестве вице-президента (1973—1975) Международного общества гетероциклической химии (основанного в 1968 году). Его третья пленарная лекция перед обществом на конференции, состоявшейся в Антверпене в 1993 году, была отчетом о его первых 50 годах в гетероциклической химии, с некоторыми прогнозами относительно того, что он намеревался делать в течение следующих 50 лет[27].
После 1980 года Алан начал летать под флагом гетероциклической химии в своей новой стране. Его многочисленные контакты в фармацевтической промышленности не нуждались в убедительных доказательствах, и ежегодные встречи — Конференция FloHet, организуемая в Гейнсвилле каждый год в марте, — проходили с большим количеством участников. Можно сказать, что ему удалось добиться того, чтобы американские химики стали более доброжелательно относиться к гетероциклической химии, когда Американское химическое общество в 2004 году опубликовало специальный выпуск обзоров химических веществ, посвященный этой теме.
Испанцы были первыми, кто чествовал Алана в Национальном университете образования в Мадриде (1986). Познанский университет (Польша, 1989) и Гданьский медицинский университет (Польша, 1994). Университет Восточной Англии чествовал его в 1995 году, когда оратор, его бывший студент доктор Ричард Джонс, зачитал живое обращение. В Тулузском университете (Франция, 1996 г.), Санкт-Петербургском техническом университете (Россия, 1997 г.) и Бухарестском политехническом университете (Румыния, 1998 г.) почетные докторские степени стали ежегодными. Южный федеральный университет, Ростов-на-Дону (Россия, 2000), Университет Гента (Бельгия, 2001), Университет Бундельханд (Индия, 2001), университеты Тимишоара (Румыния, 2003), Вроцлав (Польша, 2004), Йена (Германия, 2005 г.) и Тарту (Эстония, 2005 г.) дополняют список.
В Южном федеральном университете учреждена стипендия имени А. Р. Катрицки для магистрантов и аспирантов за выдающиеся успехи в учёбе и научных исследованиях в области синтетической органической, физической органической и теоретической химии[28][29]
Личные качества
Алан Катрицки всегда уделял пристальное внимание любому начинанию, которое, по его мнению, было его личной ответственностью. Алан был прямолинейным и решительным в своей профессиональной жизни, но сострадательным и теплым в личных отношениях. В молодости он мог быть воинственным, когда того требовали обстоятельства; в зрелом возрасте он стал гораздо более мягким и никогда не пренебрегал чувствами других.
Его чувство юмора было на первый взгляд немного задумчивым, но остро ощущалось, а его выступления в качестве оратора после ужина были полны веселья. Он предпочитал неформальный стиль в одежде при соответствующих обстоятельствах, можно было бы даже сказать «неопрятный». Хотя он был готов приодеться для официального случая, он явно предпочитал его.
Интересные факты
- Э. Р.Х. (позже сэр Эварт) Джонс, член Лондонского Королевского общества, преемник Робинсона, написал блестящее рекомендательное письмо сэру Александру (позже лорду) Тодду, члену Лондонского Королевского общества, в Кембридже. Алану нравилось шутить, что Джонс написал его, чтобы Алан поскорее покинул Оксфорд.
- В монографии с N-оксидом[21] использовалась система ссылок, разработанная им самим, предоставляя читателям достаточную информацию, чтобы они могли найти 90 % опубликованных работ в химических журналах, не обращаясь к списку литературы; это оказалось большим благом для рецензентов, которые могли вставить ссылку в середину текста, не нарушая нумерацию.
- Он часто говорил, что никто не должен работать больше ста часов в неделю, так как он обнаружил, что эффективность имеет тенденцию падать.
- Arkivoc — аббревиатура Архива органической химии, с, совершенно очевидно, игривым включением его инициалов
- На вечеринках и приемах Алан всегда решительно смешивал компании. Часто в таких случаях во время беседы двух студентов, Алан опускал руку на плечо одному из студентов и говорил: «Джон, не мог бы ты подойти и поговорить с профессором?» И он подходил, разве у него был выбор?
Примечания
- ↑ выгрузка данных Freebase — Google.
- ↑ Katritzky A.R. The representation of the so-called mesoionic compounds // Chemy Ind., 1955, p. 521—522.
- ↑ Katritzky A.R., TopsomR.D. Infrared intensities: a guide to intramolecular interactions in conjugated systems // Chem. Rev. 77, 1977 p. 639—658.
- ↑ Katritzky A.R., Dabrowska-Urbanska H., Urbanski T. Heterocyclic derivatives of methazonicacid: formation of 5-nitro-1,2,3,4-tetrahydropyrimidine derivatives // Tetrahedron 25, 1969, p. 1617—1628.
- ↑ Katritzky A.R., Epsztajn J. Amine nitroimides: a new functional group // Tetrahedron Lett. 10, p. 4739-4742.
- ↑ Katritzky A.R., Smith A. Application of contact shift reagents to the nmr spectra of polymers // Tetrahedron Lett. 12, 1971, p. 1765—1766.
- ↑ Katritzky A.R., Boulton A.J. The rearrangement of 4-nitrobenzofuroxans to 7-nitrobenzofuroxans // Rev. RoumaineChim. 7,1962, p. 691—697.
- ↑ Katritzky A.R., Eckert F., Rauhut G., Steel P.J. A theoretical and experimental study of the molecular rearrangement of 5-methyl-4-nitrobenzofuroxan // J. Am. Chem. Soc. 121, 1999, p. 6700-6711.
- ↑ Katritzky A.R., Boulton A.J.,Ghosh P.B.A General rearrangement of heterocycles and novel syntheses of the benzotriazole, benzofurazan, and anthranil systems //Angew. Chem. 75, 816—817; Angew. Chem. Int. Ed. 2, 693, 1963
- ↑ Katritzky A.R., Boulton A.J., Hamid A.M. A generalised monocyclic rearrangement // J. Chem. Soc. C, p. 2005—2007.
- 1 2 Katritzky A.R., Blackburne I.D., Takeuchi Y. Conformation of piperidine and of derivatives with additional ring heteroatoms // Accts Chem. Res. 8,1975, p. 300—306.
- ↑ Katritzky A.R., Crabb T.A. Conformational equilibria in nitrogen-containing saturated six-membered rings. In Advances in heterocyclic chemistr, vol. 36, p. 1-173.
- ↑ Katritzky A.R., Dennis N. Cycloaddition reactions of heteroaromatic six-membered rings // Chem. Rev. 89, 1989, p. 827—861.
- ↑ Katritzky A.R., Cook M.J.,Linda P. Aromaticity of heterocycles. Advances in heterocyclic chemistry, vol. 17, p. 255—356. Academic Press.
- ↑ Katritzky A.R., Barczynski P., Musumarra G., Pisano D., Szafran M. Aromaticity as a quantitative concept. A statistical demonstration of the orthogonality of ‘classical’ and ‘magnetic’ aromaticity in five- and six-membered heterocycles // J. Am. Chem. Soc. 111, p. 7-15.
- ↑ Katritzky A.R., Karelson M., Sild S., Krygowski T.M., Jug K. Aromaticity reaffirmed as a multidimensional characteristic // J. Org. Chem. 63, p. 5228-5231.
- ↑ Katritzky A.R.,Cyranski M.K., Krygowski T.M.,Schleyer P.v.R. To what extent can aromaticity be defined uniquely? // J. Org. Chem. 67, 2002, p. 1333—1338.
- ↑ Katritzky A.R., BalabanA.T., Oniciu D.C. Aromaticity as a cornerstone of heterocyclic chemistry // Chem. Rev. 104, p. 2777—2812.
- ↑ Katritzky A.R., Brycki B.E. The mechanisms of nucleophilic substitution in aliphatic compounds //Chem. Soc. Rev. 19, p. 83-105.
- ↑ Katritzky A.R., HarrisP.A.,KotaliA. Mechanism of the replacement of phenolic hydroxyl by carbonyl on lead tetraacetate treatment of o-hydroxyaryl ketone acylhydrazones // J. Org. Chem.56, 1991, p. 5049-5051.
- 1 2 3 Katritzky A.R., Lagowski J.M. Chemistry of the heterocyclic N-oxides. Academic Press.
- ↑ Katritzky A.R., Li J.Q. Stereoselective olefination of carbonyl compounds with N-benzyl- and N-allylbenzotriazoles by low-valent titanium-promoted dehydroxybenzotriazolylation // J. Org. Chem. 62, 1997, p. 238—239.
- ↑ Katritzky A.R., Lagowski J.M. Heterocyclic chemistry. London: Methuen, 1960
- ↑ Katritzky A.R. ‘Call a spade a spade’. Chemy Ind., 1965, p. 331—332.
- ↑ Elguero J., Marzin C., Linda P. The tautomerism of heterocycles. Advances in heterocyclic chemistry, Suppl. 1. Academic Press. 1976
- ↑ Katritzky A.R., Taylor R. Electrophilic substitution of heterocycles: quantitative aspects //Advances in heterocyclic chemistry, vol. 47, 1990
- ↑ Katritzky A.R., Highlights from fifty years of heterocyclic chemistry // J. Heterocycl. Chem. 31, 1994, p. 563—602.
- ↑ ЮФУ: Стипендия А. Р. Катрицки. Дата обращения: 1 января 2021. Архивировано 19 марта 2022 года.
- ↑ Студенты ЮФУ приглашаются к участию в конкурсе на получение стипендии имени А. Р. Катрицки