Нингидрин
| Нингидрин | |
|---|---|
| |
| Общие | |
| Систематическое наименование |
2,2-дигидроксиинден-1,3-дион |
| Традиционные названия | Нингидрин |
| Хим. формула | C9H6O4 |
| Физические свойства | |
| Молярная масса | 178,14 г/моль |
| Плотность | 0.862 г/см³ |
| Термические свойства | |
| Температура | |
| • плавления | 250 °C |
| Классификация | |
| Рег. номер CAS | 485-47-2 |
| PubChem | 10236 |
| Рег. номер EINECS | 207-618-1 |
| SMILES | |
| InChI | |
| ChEBI | 86374 |
| ChemSpider | 9819 |
| Приведены данные для стандартных условий (25 °C, 100 кПа), если не указано иное. | |
Нингидри́н или трикетогидринденгидрат[1] — органическое соединение, относящиеся к классам кетонов, спиртов и конденсированных карбоциклов.
Физические свойства
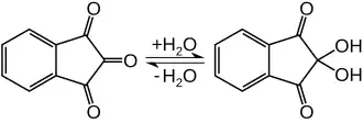
Призматические кристаллы белого или желтого цвета, при нагревании растворяется в воде.
В водном растворе существует равновесие между гидратированной и дегидратированной формами нингидрина:
Применение

Нингидрин используется как качественный и количественный реактив при определении первичных аминов и аминокислот[2]. Вступая в реакцию с белками, которые содержатся в составе человеческого пота, он окрашивает их следы в фиолетовые цвета. Это позволяет его применять в дактилоскопических исследованиях.
2 % раствор нингидрина в этиловом спирте или ацетоне используется в криминалистике для выявления отпечатков папиллярного узора на пористых поверхностях, например на бумаге[3].
Также данный раствор применяется в органической химии как проявитель после проведения тонкослойной хроматографии, таким образом позволяя обнаруживать амины и аминокислоты.
Механизм взаимодействия
Поскольку нингидрин является кетоном, то для него характерны реакции с, в первую очередь, первичными и вторичными аминами с образованием иминов, чья функциональная группа R2C=NR является хромофорной и таким образом обеспечивает полученному соединению окраску, появление которой является аналитическим сигналом в качественном обнаружении аминов. Чаще всего цвет получаемых продуктов взаимодействия — фиолетовый, а для прохождения реакции требуется нагревание.
Примечания
- ↑ Р. С. Белкин. Нингидрин // Криминалистика : Краткая энциклопедия. — М. : «Большая Российская энциклопедия», 1993. — С. 46. — 111 с. — ISBN 5-85270-088-6.
- ↑ Сиггиа С. Ханна Дж. Количественный органический анализ по функциональным группам: Пер с англ. — М.:Химия, 1983, сс. 486—489.
- ↑ Menzel E. R. (1986) Manual of fingerprint development techniques. Home Office, Scientific Research and Development Branch, London. ISBN 0862522307

