Пептиды


Пепти́ды (др.-греч. πεπτός «питательный») — семейство веществ, молекулы которых построены из двух и более остатков аминокислот, соединённых в цепь пептидными (амидными) связями −C(O)NH−. Обычно подразумеваются пептиды, состоящие из -аминокислот, однако термин не исключает пептидов, полученных из любых других аминокарбоновых кислот[1].
Пептиды, последовательность которых короче примерно 10—20 аминокислотных остатков, могут также называться олигопепти́дами (от др.-греч. ὀλίγος «малочисленный»); при большей длине последовательности они называются полипепти́дами (от греч. πολυ- «много»); полипептиды могут иметь в молекуле неаминокислотные фрагменты, например углеводные остатки. Белка́ми обычно называют полипептиды, содержащие, примерно, от 50 аминокислотных остатков[2] с молекулярной массой более 5000[3], 6000[4] или 10000[5][6] дальтон.
В 1900 году немецкий химик-органик Герман Эмиль Фишер выдвинул гипотезу о том, что пептиды состоят из цепочки аминокислот, образованных определёнными связями, и в 1902 году он получил неопровержимые доказательства существования пептидной связи, а к 1905 году разработал общий метод, при помощи которого стало возможным синтезировать пептиды в лабораторных условиях. Постепенно учёные изучали строение различных соединений, разрабатывали методы разделения полимерных молекул на мономеры, синтезировали всё больше и больше пептидов[7].
Олиго- и полипептиды, белки
Грань между олигопептидами и полипептидами (тот минимальный размер, при котором молекула пептида перестаёт считаться олигопептидом и становится полипептидом) достаточно условна. Источники, разграничивающие олиго- и полипептиды, как правило, определяют границу между олигопептидами и полипептидами как 10 (согласно Химической Энциклопедии[4]) или 10—20 (согласно определению ИЮПАК[1]) аминокислотных остатков. Иногда чёткая грань не проводится вообще (так, например, согласно учебнику Ленинжера[6], размер олигопептидов — несколько, а полипептидов — много аминокислотных остатков), и формально олигопептидная молекула окситоцин, состоящая из 9 аминокислотных остатков, может упоминаться как полипептид.
Белками можно считать пептиды, масса которых превышает 5000—10 000, и(или) длина превышает 50—90 аминокислотных остатка. Эта граница тоже условна, однако в основных источниках справочной информации, где эта граница обозначена (включая ИЮПАК), она лежит в указанных пределах. Диапазон масс согласуется с диапазоном размеров подстановкой средней массы аминокислотного остатка (110 Да).
История
Пептиды впервые были выделены из гидролизатов белков, полученных с помощью ферментирования.
- Термин пептид предложен Э. Фишером, который к 1905 г. разработал общий метод их синтеза[8].
В 1953 году В. дю Виньо синтезировал окситоцин, первый полипептидный гормон. В 1963 году, на основе концепции твердофазного пептидного синтеза (Р. Меррифилд) были созданы автоматические синтезаторы пептидов.
Использование методов синтеза полипептидов позволило получить синтетический инсулин и некоторые ферменты.
На 2023 известно более 1500 видов пептидов, определены их свойства и разработаны методы синтеза.
Свойства пептидов
Пептиды постоянно синтезируются во всех живых организмах для регулирования физиологических процессов. Свойства пептидов зависят, главным образом, от их первичной структуры — последовательности аминокислот, а также от строения молекулы и её конфигурации в пространстве (вторичная структура).
Классификация пептидов и строение пептидной цепочки
Молекула пептида — это последовательность аминокислот: два и более аминокислотных остатка, соединённых между собой амидной связью, составляют пептид. Количество аминокислот в пептиде может сильно варьировать. И в соответствии с их количеством различают:
- олигопептиды — молекулы, содержащие до десяти аминокислотных остатков; иногда в их названии упоминается количество входящих в их состав аминокислот, например, дипептид, трипептид, пентапептид и др.[9];
- полипептиды — молекулы, в состав которых входит более десяти аминокислот[9].
Соединения, содержащие более ста аминокислотных остатков, обычно называются белками. Однако это деление условно, некоторые молекулы, например, гормон глюкагон, содержащий лишь двадцать девять аминокислот, называют белковым гормоном. По качественному составу различают:
- гомомерные пептиды — соединения, состоящие только из аминокислотных остатков;
- гетеромерные пептиды — вещества, в состав которых входят также небелковые компоненты.
Пептиды также делятся по способу связи аминокислот между собой:
- гомодетные — пептиды, аминокислотные остатки которых соединены только пептидными связями;
- гетеродетные пептиды — те соединения, в которых помимо пептидных связей встречаются ещё и дисульфидные, эфирные и тиоэфирные связи.
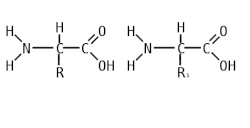
Цепочка повторяющихся атомов называется пептидным остовом: (−NH−CH−OC−). Участок (−CH−) с аминокислотным радикалом образует соединение (−NH−C(R1)H−OC−), называемое аминокислотным остатком. N-концевой аминокислотный остаток имеет свободную α-аминогруппу (−NH), в то время как у C-концевого аминокислотного остатка свободной является -карбоксильная группа (OC−). Пептиды различаются не только по аминокислотному составу, но и по количеству, а также расположению и соединению аминокислотных остатков в полипептидную цепочку. Пример: Про-Сер-Про-Ала-Гис и Гис-Ала-Про-Сер-Про — несмотря на одинаковый количественный и качественный состав, эти пептиды имеют совершенно разные свойства.
Пептидная связь

Пептидная (амидная) связь — это вид химической связи, которая возникает вследствие взаимодействия α-аминогруппы одной аминокислоты и α-карбоксигруппы другой аминокислоты. Амидная связь очень прочная, и в нормальных клеточных условиях (37 °C, нейтральный pH) самопроизвольно не разрывается. Пептидная связь разрушается при действии на неё специальных протеолитических ферментов (протеаз, пептидгидролаз)[10].
Значение
Пептидные гормоны и нейропептиды, например, регулируют большинство процессов организма человека, в том числе принимают участие в процессах регенерации клеток. Пептиды иммунологического действия защищают организм от попавших в него токсинов. Для правильной работы клеток и тканей необходимо адекватное количество пептидов. Однако с возрастом и при патологии возникает дефицит пептидов, который существенно ускоряет износ тканей, что приводит к старению всего организма. Сегодня проблему недостаточности пептидов в организме научились решать. Пептидный пул клетки восполняют синтезированными в лабораторных условиях короткими пептидами.
Синтез пептидов
Образование пептидов в организме происходит в течение нескольких минут, химический же синтез в условиях лаборатории — достаточно длительный процесс, который может занимать несколько дней, а разработка технологии синтеза — несколько лет. Однако, несмотря на это, существуют довольно весомые аргументы в пользу проведения работ по синтезу аналогов природных пептидов.
Во-первых, путём химической модификации пептидов возможно подтвердить гипотезу первичной структуры. Аминокислотные последовательности некоторых гормонов стали известны именно благодаря синтезу их аналогов в лаборатории.
Во-вторых, синтетические пептиды позволяют подробнее изучить связь между структурой аминокислотной последовательности и её активностью. Для выяснения связи между конкретной структурой пептида и его биологической активностью была проведена огромная работа по синтезу не одной тысячи аналогов. В результате удалось выяснить, что замена лишь одной аминокислоты в структуре пептида способна в несколько раз увеличить его биологическую активность или изменить её направленность. А изменение длины аминокислотной последовательности помогает определить расположение активных центров пептида и участка рецепторного взаимодействия.
В-третьих, благодаря модификации исходной аминокислотной последовательности, появилась возможность получать фармакологические препараты. Создание аналогов природных пептидов позволяет выявить более «эффективные» конфигурации молекул, которые усиливают биологическое действие или делают его более продолжительным.
В-четвёртых, химический синтез пептидов экономически выгоден. Большинство терапевтических препаратов стоили бы в десятки раз больше, если бы были сделаны на основе природного продукта.
Зачастую активные пептиды в природе обнаруживаются лишь в нанограммовых количествах. Плюс к этому, методы очистки и выделения пептидов из природных источников не могут полностью разделить искомую аминокислотную последовательность с пептидами противоположного или же иного действия. А в случае специфических пептидов, синтезируемых организмом человека, получить их возможно лишь путём синтеза в лабораторных условиях.
Биологически активные пептиды
Пептиды, обладая высокой физиологической активностью, регулируют различные биологические процессы. По биорегуляторному действию пептиды принято делить на несколько групп:
- соединения, обладающие гормональной активностью (глюкагон, окситоцин, вазопрессин и др.);
- вещества, регулирующие пищеварительные процессы (гастрин, желудочный ингибирующий пептид и др.);
- пептиды, регулирующие аппетит (эндорфины, нейропептид-Y, лептин и др.);
- соединения, обладающие обезболивающим эффектом (опиоидные пептиды);
- органические вещества, регулирующие высшую нервную деятельность, биохимические процессы, связанные с механизмами памяти, обучения, возникновением чувства страха, ярости и др.;
- пептиды, которые регулируют артериальное давление и тонус сосудов (ангиотензин II, брадикинин и др.).
- пептиды, которые обладают противоопухолевым и противовоспалительным свойствами (Луназин)
Однако такое деление условно, так как действие многих пептидов не ограничивается каким-либо одним направлением. Так, например, вазопрессин, помимо сосудосуживающего и антидиуретического действия, улучшает память.
Пептидные гормоны — это многочисленный и наиболее разнообразный по составу класс гормональных соединений, представляющий собой биологически активные вещества. Их образование происходит в специализированных клетках железистых органов, после чего активные соединения поступают в кровеносную систему для транспортировки к органам-мишеням. По достижении цели гормоны специфически воздействуют на определённые клетки, взаимодействуя с соответствующим рецептором.
Нейропептиды — соединения, синтезируемые в нейронах, обладающие сигнальными свойствами. Действие нейропептидов на ЦНС очень разнообразно. Они воздействуют непосредственно на мозг и контролируют сон, влияют на память, поведение, процесс обучения, обладают обезболивающим действием.
Биорегуляторные пептиды - это короткие цепочки аминокислот, которые играют ключевую роль в регуляции различных процессов в организме. Их уникальность заключается в том, что они способны взаимодействовать со специфическими рецепторами на клеточных мембранах, "включая" или "выключая" определенные гены и, таким образом, контролируя функции клеток и тканей.
Панкреатические молекулы полипептидного характера
- neuropeptide Y
- пептид YY
- avian pancreatic polypeptide, APP
- (human) pancreatic polypeptide, (H)PP
Тахикининовые пептиды (Tachykinin peptides)
- Субстанция Р
- Kassinin
- Нейрокинин А
- Eledoisin
- Нейрокинин В
Пептиды иммунологического действия
Наиболее изученные пептиды, участвующие в иммунном ответе — тафцин, тимопотин II и тимозин 1. Их синтез в клетках организма человека обеспечивает функционирование иммунной системы.
Терминология по теме
- Полипептиды — пептиды, с числом аминокислотных остатков больше 10—20
- Олигопептиды — пептиды с числом аминокислот в цепи до 10—20
- Дипептиды
- Трипептиды
- Гексапептиды
- Нейропептиды пептиды, ассоциированные с нервной тканью
- Пептидные гормоны — пептиды с гормональной активностью
См. также
Примечания
- 1 2 IUPAC. Compendium of Chemical Terminology, 2nd ed. (the «Gold Book»). Compiled by A. D. McNaught and A. Wilkinson. Blackwell Scientific Publications, Oxford (1997). XML on-line corrected version: http://goldbook.iupac.org Архивная копия от 20 ноября 2019 на Wayback Machine (2006-) created by M. Nic, J. Jirat, B. Kosata; updates compiled by A. Jenkins. ISBN 0-9678550-9-8. doi:10.1351/goldbook.P04898.
- ↑ IUPAC. Biochemical Nomenclature and Related Documents, 2nd edition, (the «White Book») p. 48 Portland Press, 1992. Edited C Liebecq. [ISBN 1-85578-005-4] http://www.chem.qmul.ac.uk/iupac/AminoAcid/A1113.html#AA11 Архивная копия от 13 июля 2013 на Wayback Machine
- ↑ Белки // «Химическая энциклопедия», изд. «Советская энциклопедия», М., 1988
- 1 2 Пептиды // «Химическая энциклопедия», изд. «Советская энциклопедия», М., 1988
- ↑ UPAC. Compendium of Chemical Terminology, 2nd ed. (the «Gold Book»). Compiled by A. D. McNaught and A. Wilkinson. Blackwell Scientific Publications, Oxford (1997). XML on-line corrected version: http://goldbook.iupac.org Архивная копия от 20 ноября 2019 на Wayback Machine (2006-) created by M. Nic, J. Jirat, B. Kosata; updates compiled by A. Jenkins. ISBN 0-9678550-9-8. doi:10.1351/goldbook.P04898.
- 1 2 David L. Nelson, Michael M. Cox Lehninger Principles of Biochemistry. — 4. — W. H. Freeman, 2004. — 85 с.
- ↑ Овчинников, 1987, с. 126—127.
- ↑ Овчинников, 1987, с. 127.
- 1 2 Тюкавкина, Бауков, Зурабян, 2012, с. 243.
- ↑ Овчинников, 1987, с. 86—87.
Литература
- Овчинников Ю. А. Синтез и химическая модификация белков и пептидов // Органическая химия. — Москва: Просвещение, 1987. — С. 126—128.
- Тюкавкина, Бауков, Зурабян. Первичная структура пептидов и белков // Биоорганическая химия: учебник. — ГЭОТАР-Медиа, 2012. — С. 243. — ISBN 978-5-9704-2102-4.