Антидеситтеровское пространство
Антидеси́ттеровское простра́нство (АдС, AdS) — псевдориманово многообразие постоянной отрицательной кривизны. Его можно считать псевдоримановым аналогом -мерного гиперболического пространства. Названо как противопоставление пространству де Ситтера, обозначается обычно .
Пространство AdS играет весьма важную роль в общей теории относительности, поскольку возникает как максимально симметричное решение уравнений Эйнштейна в вакууме с отрицательной космологической постоянной :
Определение AdS как поверхности вложения
Пространство можно вложить в плоское пространство [1].
Данное вложение выглядит как однополостный гиперболоид, задаваемый уравнением
-
,
(1)
где метрика в объемлющем пространстве задана как:
а константа R является радиусом пространства . Она выражается через космологическую постоянную в уравнении Эйнштейна:
-
(2)
Приведённое вложение в служит стандартным определением пространства , которое подразумевается далее в тексте[2].
Уравнение (1) сохраняется при вращениях в объемлющем пространстве. Вследствие этого группа изоморфна группе изометрий (преобразований, не меняющих расстояние) пространства . Данное свойство играет весьма важную роль в AdS/CFT соответствии в теории струн, поскольку группа является группой конформных преобразований в четырёхмерном пространстве Минковского.
Определение AdS как однородного пространства
Существует также топологический способ определения пространства как однородного пространства, то есть множества точек с выделенным транзитивным действием некоторой группы на нем. В случае максимально симметричных пространств (то есть однородных и изотропных пространств), является группой изометрий, которая полностью определяет топологию таких пространств[3]. Например, в случае двумерной сферы имеется естественное вложение в . Ограничивая действие группы вращений в на видно, что для каждой точки стабилизатором является группа , то есть вращения в плоскости, касательной к в точке , не меняют положения точки . Отсюда следует, что пространство двумерной сферы можно определить как отношение двух ортогональных групп[4]:
- .
Рассуждая аналогично при вложении пространства в , можно определить пространство AdS как отношение двух обобщённых ортогональных групп:
- .
Общие свойства метрики пространства AdS
Существует много способов записи (параметризаций) метрики пространства AdS. Все они являются различными решениями уравнения вложения (1). Для пространств с постоянной кривизной общим является возможность представить метрику в конформно-плоском виде[5]:
- ,
где , , есть некоторая знакопостоянная функция. Например, уравнение вложения (1) можно решить, вводя на AdS локальные координаты , соответствующие отображению (стереографическая проекция):
- ,
- ,
где
- ,
- ,
что приводит к известной параметризации метрики пространства AdS как типичного гиперболического пространства (см., например,[5]):
Здесь
есть постоянная секционная кривизна[6]. Через по Лемме Шура (Риманова геометрия) выражается тензор Римана пространств постоянной кривизны:
Отсюда можно получить выражения для тензора Риччи и скалярной кривизны пространства :
Как видно из (2), ненулевая кривизна у -мерного пространства возникает вследствие ненулевой космологической постоянной в уравнениях Эйнштейна:
- .
Можно показать, что тензор Вейля пространства AdS обращается в ноль[7]. Для размерностей это является необходимым и достаточным условием для того, чтобы пространство было конформно-плоским. В вышеприведённом представлении метрика имеет координатную особенность, в итоге данная координатная сетка покрывает не всё многообразие. Подобное свойство имеет место и для большинства других покрытий. Наиболее известные покрытия пространства AdS приведены ниже.
Глобальные координаты на AdSd+1
В физических приложениях более удобным является общее решение уравнения (1) в следующем виде:
-
(3)
где выражает угловую часть гиперсферических координат, определённых условием:
- .
Например, для d=3:
- ,
- ,
- .
В терминах координат вложения (3) метрика пространства принимает вид:
-
(4)
где есть квадрат дифференциала телесного угла на . Например, для d=3:
В общем виде, в силу , можно записать:
Из уравнения (4) видно, что введённая метрика имеет характерный масштаб длин , то есть радиус пространства определяет не только кривизну, но и масштаб расстояний рассматриваемого пространства. При этом из (3) видно, что топологически , что соответствует однополостному гиперболоиду (Рис.1).

После замены переменных:
метрика (4) принимает вид:
-
.
(5)
Здесь изменён знак метрики объемлющего пространства (вместе со знаком уравнения (1)). В метрике (5) появляется компактификация пространства по радиальной координате, так как новая радиальная координата пробегает конечный интервал значений:
Часто удобнее ввести радиальную координату в (5) обратной подстановкой,
и рассматривать метрику:
-
(6)
Здесь не связана с в метрике (4). Метрика (6), при условии , , полностью эквивалентна метрике (5). Метрику вида (6) называют глобальной[8]. В данной параметризации удобно положить и изображать (локально) в виде цилиндра с осью симметрии, совпадающей с осью времени и радиальной координатой , как это показано на Рис.2.

Из того факта, что метрика (6) является индуцированной в (изменён знак метрики объемлющего пространства), можно установить связь с координатами вложения:
-
(7)
В терминах глобальных координат в правых частях (7), глобальные симметрии видны следующим образом симметрии: имеется вращений вокруг , 1 вращение во времениподобной плоскости , и наконец бустов, соответствующих комбинациям и c пространственно-подобными осями . При этом вместе эти преобразования образуют группу .
Часто оказывается удобна другая формулировка глобальной метрики на , получаемая следующей заменой координат в (6):
которая приводит (6) к виду:
- .
Также данный вид можно прямо получить из координат вложения (3). Это выражение есть глобальная метрика в гиперболической форме, при этом точка в этой метрике особенной не является, и [9]
Координаты Пуанкаре на AdS
Рассмотрение пространства AdS в глобальных координатах осложнено с физической точки зрения, так как время в глобальных координатах циклично, как видно из (7). На самом деле, когда под AdS имеется ввиду соответствующее решение уравнений Эйнштейна в пустом пространстве, всегда должно подразумеваться, что временная координата размотана, иначе возникают проблемы с причинностью (существование замкнутых временных циклов). Данная тонкость отличает физический подход к пространству AdS от чисто математического. Эту тонкость можно обойти, если пользоваться специальными накрытиями глобальных координат, которые описывают только часть пространства AdS. Наиболее используемым универсальным накрытием глобальных координат в AdS является переход к координатам Пуанкаре (Poincare Patch). Особая роль этих координат состоит в том, что именно в такой параметризации пространство AdS возникает в широко известном AdS/CFT соответствии в теории струн.
Координаты Пуанкаре пространства AdS(E)d+1 (Евклидова версия)
Сделаем поворот Вика для координаты и введём координаты светового конуса в евклидовой сигнатуре:
-
(8)
Назовём евклидовой версией геометрическое место точек:
-
(9)
Это означает, что при фиксированном можно представлять как двуполостный гиперболоид в плоскости . Далее рассмотрим следующую замену координат:
-
(10)
Такая замена при позволяет записать уравнение вложения (9) в виде:
-
(11)
Таким образом, можно параметризовать всё пространство с помощью :
-
(12)
Метрика в объемлющем пространстве в терминах , с учётом (9), запишется в виде:
А индуцированная метрика стандартно получается из (12) с учётом связи (11) и заменой знака:
-
(13)
А также метрика (13) примет вид:
Последующие замены и приводят к метрике:
-
(14)
Метрика (14) есть выражение метрики в координатах Пуанкаре — так называемый Euclidean Poincare Patch (EPP) — и является универсальном накрытием пространства . Нетрудно установить связь между глобальными координатами в евклидовой сигнатуре, координатами Пуанкаре и координатами объемлющего пространства. Пользуясь уравнениями (8), (10) и (11), с учётом проделанных замен, находим:
Искомая связь:
-
(15)
В евклидово время не циклично уже в глобальных координатах, однако данные координаты Пуанкаре могут быть аналитически продолжены на Лоренцеву сигнатуру объемлющего пространства, что показано ниже. Из первого уравнения в (15) видно, что , а точке соответствует граница . Схематически соотношения (15) проиллюстрированы на Рис.3.

В евклидовой сигнатуре координаты Пуанкаре, с учётом части , описывают всё пространство AdS и в этом смысле эквивалентны глобальным координатам. Как показано ниже, для Лоренцевой сигнатуры характерно сужение области, описываемой в координатах Пуанкаре. Это вызвано тем, что время в глобальных координатах циклично, в отличие от евклидова времени .
Координаты Пуанкаре в AdSd+1
Координаты Пуанкаре для определяются также, как для AdS. Немного меняя обозначения и записывая уравнение вложения в виде:
-
(16)
можно, следуя рассуждениям предыдущего пункта, ввести аналоги координат светового конуса и и переписать (16) в виде:
-
(17)
где , а индексы пробегают значения . Введем новые координаты:
Далее, полностью повторяя рассуждения (11)-(14) и выбирая , , приходим к метрике в координатах Пуанкаре:
-
(18)
где теперь обозначает время в координатах Пуанкаре. Далее, чтобы не путать с временем в глобальных координатах, будет обозначать последнее как . Соотношения между глобальными координатами вложения и координатами Пуанкаре для , аналогичные соотношениям (15), запишутся как:
-
(19)
Эти уравнения решаются относительно в терминах , в которых удобно сделать замену ():
-
(20)
Из этих соотношений следует, что при , глобальное время теперь принимает значения на конечном интервале (см. Рис.4).

Важно отметить, что в евклидовой сигнатуре координаты Пуанкаре покрывают все пространство AdS как и глобальные координаты (это видно из присутствия гиперболических функций в соотношениях (15). Однако в Лоренцевой сигнатуре координаты Пуанкаре покрывают только небольшую подобласть всего AdS, ограниченную причинным ромбом, обернутым вокруг AdS-цилиндра (см. Рис.4). Вообще говоря, глобальные координаты для преобразуются (изометрически) по представлениям подгруппы группы , а в координатах Пуанкаре (18) становятся очевидны -мерная группа Пуанкаре и дилатации (растяжение всех координат одновременно на одну величину).
Специальные конформные преобразования в координатах Пуанкаре
Кроме дилатаций , являющихся очевидной симметрией метрики (18), в алгебре изометрий (18) существуют менее очевидные инфенитизимальные преобразования координат:
-
(21)
Здесь есть малый вектор, лежащий в Пуанкаре-подпространстве (то есть координата вектора в направлении равна нулю: ) в координатах Пуанкаре. Изометричность данного преобразования может быть проверена прямой подстановкой. Пуанкаре-часть преобразования (21) совпадает с определением специального конформного преобразования на конформном многообразии размерности , однако преобразования, связанные с координатой , а также число компонент вектора не позволяют определить их как специальные конформные преобразования в Пуанкаре-патче . Данный патч для является, таким образом, римановым многообразием с несколько более сложной алгеброй изометрий, чем пространство Минковского.
Конформная граница пространства AdS
Вопрос о границе пространства AdS требует отдельного обсуждения. Пространство AdS не является многообразием с краем в стандартном смысле (когда окрестности границы диффеоморфны окрестностям точек на границе некоторого евклидова полупространства). Граница, упоминаемая далее, — это так называемая конформная граница, полученная посредством конформной компактификации пространства-времени.
В конструкции конформной компактификации рассматриваемое многообразие отображается на внутренность компактного многообразия с краем, а затем граница этого отображения именуется конформной границей исходного многообразия . В прикладном плане, метрика умножается на общий фактор такой, чтобы в новой метрике расстояние от любой точки до всех граничных точек являлось конечным. У плоского пространства, конформная граница сводится просто к точке. В случае же гиперболических пространств, к каким принадлежит и AdS, конформная граница нетривиальна и содержит важную информацию.
Граница AdS в глобальных координатах
Вернемся к уравнению (17) и введем новые координаты:
Переходя к пределу , получаем уравнение вложения границы в :
Это уравнение инвариантно относительно скейлинга , где есть любое положительное вещественное число. Поэтому граничное многообразие следует рассматривать как классы (проективной) конформной эквивалентности:
-
(22)
Нетрудно увидеть, что из классов эквивалентности можно, перемасштабировав (22), выбрать:
В итоге границей пространства в глобальных координатах является конформное многообразие с топологией . Размерность конформной границы на единицу меньше размерности исходного многообразия, что аналогично случаю обычной границы многообразия с краем.
Граница AdS в координатах Пуанкаре
Рассуждения о границе AdS в координатах Пуанкаре несколько осложнено тем, что координаты Пуанкаре описывают лишь часть пространства AdS, поэтому граница в координатах Пуанкаре имеет дополнительные области, соответствующие балку[10] глобальных координат.
Горизонт Пуанкаре
Из уравнений (17) и (19) видно, что параметризация в координатах Пуанкаре фактически разделяет пространство AdS на две равные половины:
-
(23)
Уравнение (23) трактуется следующим образом. При выборе параметризации описывается лишь половина гиперболоида вложения в , координаты которой подчинены условию . Обратно, параметризация определяет в глобальных координатах условие . Таким образом как гиперболоид вложения в (3) рассечен гиперплоскостью , каждая половина которого описывается в координатах Пуанкаре. Кроме того, из уравнения (23) следует, что гиперплоскость есть часть границы AdS в координатах Пуанкаре, которая не сингулярна в глобальных координатах и соответствует пределу в координатах Пуанкаре. Данный предел называется горизонтом Пуанкаре.
Важной особенностью горизонта Пуанкаре является то, что при , из связи с глобальными координатами (20) получаем и уравнение на секущую гиперплоскость в глобальных координатах вида:
-
(24)
Переходя в (25) к пределу , то есть рассматривая глобальную границу AdS (6), видно, что существуют решения вида:
-
(25)
Из уравнения (25) следует, что горизонт Пуанкаре включает в себя не только части глобальной границы (при ), но и подмногообразия балка глобального AdS. С другой стороны, из (25) следует, что в балке Пуанкаре-патча присутствуют подмногообразия глобальной конформной границы, поскольку уравнение (25) может быть выполнено и в случае .
Тем не менее горизонт Пуанкаре отчасти может быть рассмотрен как конформное многообразие, поскольку в пределе можно получить, репараметризовав метрику (18) заменой , следующий вид метрики:
-
(26)
То есть области горизонта соответствует и горизонт сводится к . Следует помнить, однако, что горизонт Пуанкаре является сингулярной особенностью лишь в координатах Пуанкаре, то есть в него все же входят области глобального балка, а потому он не может рассматриваться в терминах конформной границы[11].
Конформная граница AdS в координатах Пуанкаре
Метрика (18) имеет сингулярность. При устремлении , из соотношений (19) следует (что является лишь частью глобальной границы), а метрика (26) при преобразуется к виду:
-
(27)
Присутствие сингулярного конформного множителя означает, что метрика (27) является конформно-плоской. Таким образом видна локальная структура границы пространства в координатах Пуанкаре — топологически это конформное многообразие Минковского размерности .
Конечное время распространения света до границы в AdS
Пространство AdS имеет одно особое свойство, сильно влияющее на физику в этом пространстве, по крайней мере, на макроскопических расстояниях. Рассмотрим движение светового луча в координатах Пуанкаре, описываемое светоподобными векторами в терминах метрики (26) и найдем время распространения светового луча вдоль из точки до границы . Метрика (26) при постоянных для светоподобных векторов () имеет вид:
Отсюда видно, что Пуанкаре-время распространения светового сигнала вдоль от источника, расположенного в точке , до границы , то есть вдоль координаты до границы , оказывается конечным:
Массивная частица, при движении по геодезической, не достигнет границы и за конечное время вернется в точку, откуда начала движение. В итоге, свободные частицы в пространстве AdS находятся как бы в гравитационном ящике.
Связь границы и балка для динамики в AdS
Вышеупомянутое свойство тесно связано с отсутствием глобальной гиперболичности у пространства AdS: для описания эволюции любой физической системы в пространстве AdS, кроме начальных условий на поверхности Коши, оказывается необходимым задание граничных условий на всей конформной границе. Это является следствием того, что данная граница содержит временное направление. Отсюда следует важный вывод: при задании динамики в балке пространства AdS, однозначно задается и динамика на его конформной границе, и наоборот. В определенном смысле, именно это свойство лежит в основе широко известного голографического соответствия в теории струн (AdS/CFT-соответствия). Грубо говоря, гравитация в балке AdS однозначно задаёт конформную теорию поля на его границе. В итоге динамика, скажем, частицы на границе допускает два эквивалентных описания — гравитационное и квантово-полевое.
Интуитивно, однозначная голографическая связь динамики частиц на границе некоторого пространства и в его объеме (в балке) может показаться парадоксальной, поскольку граница имеет меньшую размерность, что, казалось бы, должно вести к более ограниченной динамике. Однако, эти интуитивные представления оказываются неверны в случае пространства AdS. В связи с этим, полезно упомянуть о соотношении площади и объема в пространстве AdS. В плоском пространстве, отношение площади некоторой области пространства с линейным размером к его объему ведет себя как . В пространстве AdS радиуса , это отношение ведет себя по-другому — можно показать, что при достаточно большом оно ведет себя как , то есть не зависит от линейного размера (см., например,[12]). Поэтому, устремляя к бесконечности, становится понятно, что граница AdS способна уместить столько же физических степеней свободы (например, частиц в виде волновых пакетов), сколько и весь объем этого пространства.
Диаграмма Пенроуза
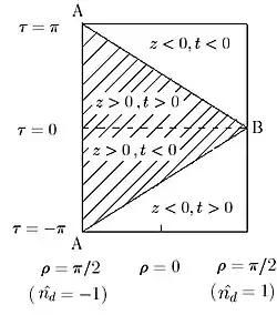
Структуру границ удобно иллюстрировать с помощью диаграммы Пенроуза. Для построения этой диграммы в координатах (7) нужно помнить, что глобальное время циклично, то есть можно построить только причинную область, например . Произведем замену в метрике (6). Из (20) ясно, что удобнее изучать локальное сечение цилиндра в плоскости, для которой . Процесс компактификации временной и пространственной части, описанный ранее для определения метрики в глобальных координатах, приводит к появлению конформного множителя, а значит сохраняет светоподобные кривые, для которых . Таким образом, все прямые на -плоскости диаграммы Пенроуза, находящиеся под углом в относительно или , соответствуют световым сигналам. В такой параметризации диаграмма Пенроуза пространства является плоской симметричной проекцией глобального -цилиндра, изображенного на Рис.4, а каждая точка диаграммы является фактически сферой . Данная диаграмма изображена на Рис.5

AdS как решение Шварцшильда для заряженной черной дыры
Известным примером появления пространства AdS в гравитации является решение для метрики вблизи горизонта экстремальной заряженной черной дыры Рейснера-Нордстрёма. Общий вид сферически симметричной метрики для черной дыры:
-
(28)
где есть квадрат телесного угла, а функция для решения статической, сферически симметричной, заряженной черной дыры Рейснера-Нордстрёма в четырехмерном пространстве:
-
(29)
Обобщением (29) на случай измерений служит следующая замена[13]:
-
(30)
Здесь , - масса черной дыры, а — заряд черной дыры в метрах. Корни уравнения являются точками сингулярности метрики (28). Если , то есть черная дыра является незаряженной, то это уравнение имеет один корень, а метрика имеет горизонт событий на радиусе Шварцшильда . В случае же решения Рейсснера-Нордстрёма имеется два корня и :
Рассмотрим случай , когда метрика (28) имеет всего одну точку сингулярности и переходит в метрику так называемой экстремальной черной дыры Рейсснера-Нордстрёма:
Можно разложить функцию вблизи этой сингулярности , вводя:
-
(31)
Подставляя разложение в (28) и удерживая ведущий порядок, вблизи черной дыры получается следующая метрика:
-
(32)
Метрика (32) имеет топологическую структуру , где AdS-часть записана в координатах Пуанкаре. Данная метрика известна как метрика Бертотти-Робинсона. Горизонтом Пуанкаре в этой метрике является , как и обсуждалось ранее, что соответствует горизонту событий экстремальной черной дыры и следует из (31) при . Обратно, конформной границе () соответствует бесконечно удаленная от черной дыры область пространства .
Термодинамика черных дыр в пространстве AdS
Как известно, черные дыры излучают, поэтому им можно приписать определенную температуру, называемую температурой Хокинга. Это излучение является квантовым эффектом вблизи горизонта событий черных дыр. Весьма упрощенно, данный эффект можно описать следующим образом. При рассмотрении квантовых полей в области горизонта сферически-симметричной черной дыры (на фоне искривленной геометрии), операторы полей могут быть эффективно разложены (см., например,[14]) на моды, уходящие за горизонт, и моды, покидающие область горизонта и излучаемые во внешнее пространство. Таким образом, радиальное направление на сферически-симметричном искривленном сингулярном фоне становится выделенным. Физическая интерпретация этого эффекта состоит в том, что гравитационные поля у горизонта черной дыры, рассматриваемые как фон для полей материи, приводят к рождению пар частиц, одна из которых попадает в черную дыру, а другая излучается как физическая частица на массовой поверхности. Это излучение имеет тепловой спектр и носит имя излучения Хокинга[15]. Его температура может быть вычислена в достаточно общем случае для сферически симметричных решений типа Шварцшильда:
В этом случае, как показано, например, в[16], температура Хокинга принимает вид:
-
(33)
что в обозначениях (28) можно переписать как:
-
(34)
где есть сингулярная точка . Рассмотрим статическую незаряженную черную дыру на фоне, являющуюся сингулярным решением уравнений Эйнштейна с отрицательной космологической постоянной (используя(4) и (30)):
-
(35)
Здесь есть параметр, связанный с массой черной дыры М и пятимерной постоянной Ньютона соотношением:
Сингулярный множитель, как и в случае (29), равен:
Сингулярная точка (горизонт) есть решение уравнения :
-
(36)
Поскольку масштаб фиксирован, имеет две асимптотики:
Радиус горизонта ограничен радиусом Шварцшильда:
-
(37)
Асимптотическое поведение является качественной характеристикой для массивности черной дыры в пространстве AdS. Черную дыру, для которой , называют малой. Для таких черных дыр соотношение (37) стремится к единице. Обратно, черные дыры, для которых выполнено , называют большими. Для них из (37) получаем .
Подстановка выражений (36) и (37) в (34) позволяет получить температуру Хокинга черной дыры на фоне:
-
(38)
Данная температура имеет две асимптотики, соответствующих большой и малой черной дыре:
Видно, что температура Хокинга растет и в пределе большой массы и в пределе малой массы черной дыры. Таким образом, пространство поддерживает[17] существование относительно стабильных черных дыр с радиусом . При этом температура Хокинга для малых черных дыр в ведет себя как у черных дыр в пространстве Минковского (чем меньше, тем горячее). Это означает, что для малых черных дыр можно пренебречь кривизной пространства R. Приведенные результаты для термодинамики черных дыр в можно обобщить на . Для этого нужно вывести температуру Хокинга (38) в общем случае. Эта температура извлекается из анализа так называемой конической сингулярности в евклидизированной метрике вблизи горизонта (см., например,[18]). После евклидизации (совершив поворот Вика ) температурой излучения называют период замыкания евклидова времени в квантовой теории поля при конечной температуре.
Рассмотрим пространство в глобальных координатах с вложенной сингулярностью типа черной дыры:
-
(39)
где есть постоянная Ньютона, — масса вложенной сингулярности, а — радиус Шварцшильда для вложенной сингулярности:
-
(40)
Далее, определяя внешний горизонт как наибольшее решение уравнения на сингулярный множитель,
-
(41)
можно выполнить поворот Вика и одновременно рассмотреть метрику вблизи , перейдя к радиальной координате вида при :
-
(42)
При рассмотрении теории поля при конечной температуре на этом фоне, евклидово время необходимо положить замкнутым с периодом , тогда континуальный интеграл, определяющий теорию, сводится к статистической сумме системы с конечной температурой :
Такое же определение температуры используется и при анализе метрики вблизи черной дыры. Первое слагаемое в (42) при замыкании евклидова времени , где
-
(43)
определяет метрику двумерного многообразия в полярных координатах, имеющего коническую сингулярность[19] при в точке . Отсюда находим, что период евклидова времени равен , так как иначе присутствие конической сингулярности на горизонте ведет к потере гладкости метрики. Поэтому можно определить , используя (43), как:
Таким образом, температурой черной дыры, вложенной в , является:
-
(44)
Данный результат обобщает (38).
Черная дыра стабильна, если ее удельная теплоемкость положительна, то есть когда система черная дыра — поле становится равновесной. Уравнение (44) параметризует некоторую кривую , минимум которой находится из условия:
Однако, дифференцирование (40) дает:
откуда следует, что , то есть минимум определяется из :
которое и приводит к выражению для минимальной температуры:
Черные дыры малой массы, чья температура больше минимальной, оказываются термодинамически нестабильны (как черные дыры в пространстве Минковского). При увеличении массы черной дыры выше определенного критического значения, для которого температура падает до минимальной, черная дыра оказывается термодинамически стабильной. Таким образом, пространство способно поддерживать существование стабильных вложенных черных дыр.
Переход к координатам Пуанкаре
В случае черных дыр, асимптотически вложенных в и описываемых метрикой (35), можно рассмотреть переход к координатам Пуанкаре и получить аналог (32). Этот переход будет означать рассмотрение лишь части глобального и диктоваться физическими соображениями.
Переход к координатам Пуанкаре для общего случая с вложенной черной дырой описан в работе[20]. В пределе метрика (39) в евклидовой сигнатуре принимает вид:
Отсюда видно, что при введении температуры евклидово время должно быть свернуто в окружность радиуса (при фиксированном ), а -мерная сфера в последнем слагаемом имеет радиус . При этом в пределе получаем . Так как предел соответствует конформной границе, на которой живет конформная теория поля (CFT), общий масштабный фактор после взятия предела может быть отброшен (поскольку смысл имеют лишь относительные масштабы) и топология конформной границы принимает вид . Однако, как и после перехода к координатам Пуанкаре в , нужно получить конформную границу с топологией , поскольку стремимся получить CFT при конечной температуре в плоском пространстве, а не на сфере. Это означает, что тогда нужно рассматривать бесконечный предел отношения , который позволяет пренебречь топологией пространственной части,
Таким образом, нужный предел достигается при , что возможно только при . В этом пределе необходимо перемасштабировать координаты так, чтобы член оставался конечным при . Так как , нужное перемасштабирование выглядит следующим образом:
-
(45)
-
(46)
Метрика (39) после замены (45), (46), а также евклидизации в пределе , соответственно, принимает вид:
-
(47)
где . Для нахождения периода можно заметить, что в пределе больших уравнение (41) сводится к виду:
Откуда, в том же в пределе больших , из (44) получаем:
Далее, из (46) следует, что период евклидова времени в (47) выражается как:
Таким образом, рассмотрение CFT на конформной границе пространства с вложенной черной дырой в пределе бесконечной массы черной дыры, , приводит к описанию CFT при конечной температуре, линейно зависящей от числа пространственных измерений .
При , то есть рассматривая черную дыру в пространстве , метрика (47) примет вид:
После замен , , , получаем при :
-
(48)
Метрика (48) описывает пространство c вложенной черной дырой в координатах Пуанкаре (иногда эту метрику называют плоской черной дырой). Более точно, данная метрика описывает AdS-часть пространства вблизи так называемых неэкстремальных D3-бран. Метрика (48) обладает особенностью в точке , эта точка выступает аналогом радиуса Шварцшильда для черной дыры, вложенной в пространство Минковского (при проходе через эту точку, происходит смена сигнатуры метрики — время и пространство в радиальном направлении меняются местами). Следует еще раз подчеркнуть, что данный переход совершен в пределе (диктуемом физическими соображениями!), когда уравнение (40) имеет единственное решение, при этом на конформной границе , имеющей топологию , можно определить CFT при конечной температуре, равной
Вследствие использованного предела , это есть температура большой черной дыры в (которая чем больше, тем горячее, в противоположность малой черной дыре, чья термодинамика аналогична черной дыре в плоском пространстве). Малые черные дыры в полностью исчезают при переходе к метрике (48).
AdS в теории струн
Пространство начало играть огромную роль в теории струн и смежных областях после появления гипотезы АдС/КТП-соответствия в 1997 году. Это пространство асимптотически возникает вблизи стопки большого количества D3-бран в десятимерной супергравитации типа IIB, являющейся, в свою очередь, низкоэнергетическим приближением к теории суперструн типа IIB. Соответствующее решение для метрики, создаваемой стопкой из штук D3-бран, имеет следующий вид:
-
(49)
где функции и были найдены в работе[21],
-
(50)
-
(51)
Здесь — струнная константа связи, — натяжение струны.
При метрика (49) становится асимптотически плоской, однако при выполнено:
-
(52)
Первые два слагаемых в (52) описывают пространство в координатах Пуанкаре (подстановка приводит к (18)). Таким образом, метрика (52) описывает пространство , где сфера имеет постоянный радиус , то есть метрика (49) вокруг стопки D3-бран в супергравитации типа IIB в окрестности источника (расстояние до стопки ) имеет горловину с асимптотически постоянным радиусом (каждая окружность воронки есть сфера ).
Возникновение топологической структуры у метрики (49)-(50) вблизи сингулярности имеет видимое сходство с появлением топологической структуры у метрики (32) вблизи горизонта заряженной черной дыры в четырёхмерном, асимптотически плоском пространстве Минковского.
Область горловины определена условием . Применимость классического гравитационного описания требует рассмотрение пределов и , иначе оказываются существенными струнные поправки. Отсюда следует
-
(53)
в пределе , то есть число D3 бран в стопке (приближение бесконечно массивной стопки). При этом источник бесконечно удален от любой точки горловины (52), а значит метрика (52) может рассматриваться как фоновая для любой области внутри горловины.
В теории суперструн типа IIB, в которой струны изначально замкнуты, динамически возникают открытые струны, оканчивающихся на бранах (также возникающих динамически). Динамика концов струн задает на этих бранах определенную теорию поля в плоском пространстве-времени. В случае D3-бран это суперсимметричная теория Янга-Миллса с калибровочной группой , являющаяся конформной теорией поля с константой связи . Динамика этой теории будет полностью определяться супергравитацией типа IIB на фоне , и наоборот. Грубо говоря, в этом и состоит суть гипотезы АдС/КТП-соответствия.
В силу (53), гравитационное описание конформной теории поля применимо при , то есть в пределе сильной связи, что потенциально открывает широкие возможности для непертурбативного описания сильной связи в калибровочной теории поля с помощью гравитации в пространстве AdS большей размерности. Развитие этой идеи сыграло огромную роль в современной теоретической физике, а также привело к построению многочисленных феноменологических моделей для описания различных физических явлений в режиме сильной связи, особенно в теории сильных взаимодействий (АдС/КХД-соответствие).
Примечания
- ↑ S. Kobayashi and K. Nomizu, «Foundations of Differential Geometry», Volume 1. A Wiley Publication in Applied Statistics, Wiley, 1996.
- ↑ Существуют другие вложения, в которых глобальное время может быть не замкнутым.
- ↑ T. Koda, «An introduction to the geometry of homogeneous spaces», 2009.
- ↑ Более строго, в топологии говорят о структуре главного расслоения над базой с проекцией и типичным слоем . Поскольку и являются группами Ли, а есть гомоморфизм (с ядром ), то можно написать: .
- 1 2 L. P. EISENHART, «Riemannian Geometry», p. 84-85. Princeton UniversityPress, 1949.
- ↑ M. P. d. Carmo, «Riemannian geometry» / Manfredo do Carmo; translated by Francis Flaherty. Mathematics. Theory and applications, Boston: Birkhäuser, 1992.
- ↑ P. Petersen, «Riemannian Geometry». Graduate Texts in Mathematics, Springer New York, 2006.
- ↑ J. Penedones, «TASI lectures on AdS/CFT», in Theoretical Advanced Study Institute in Elementary Particle Physics: New Frontiers in Fields and Strings, 8 2016.
- ↑ Метрику в гиперболической форме можно также получить, сделав в (4) замену и воспользовавшись (7).}.
- ↑ Термин балк здесь и далее обозначает внешние по отношению к координатному накрытию (патчу) области глобального пространства без особенностей типа границы или горизонта.
- ↑ C. A. Bayona and N. R. F. Braga, «Antide Sitter boundary in Poincare coordinates», Gen. Rel. Grav., vol. 39, p. 1367—1379, 2007.
- ↑ B. Zwiebach, «A first course in string theory». Cambridge University Press, 7 2006.
- ↑ P. P. Avelino, A. J. S. Hamilton, C. A. R. Herdeiro, and M. Zilhão, «Mass inflation in a ddimensional reissnernordström black hole: A hierarchy of particle accelerators?»,Physical Review D, vol. 84, Jul 2011.
- ↑ S. W. Hawking, «Particle creation by black holes», Communications in Mathematical Physics, vol. 43, no. 3, p. 199—220, 1975.
- ↑ C. Kiefer, «Towards a full quantum theory of black holes», Lecture Notes in Physics, p. 416—450, Jul 2003.
- ↑ Z. Z. Ma, «Hawking temperature of Kerr-Newman-Ads black hole from tunneling», Physics Letters B, vol. 666, p. 376—381, Sep 2008. 36
- ↑ Здесь подразумевается, что в осуществима термодинамически стабильная конфигурация, когда испарение черной дыры будет равно поглощаемой ею массе.
- ↑ H. Năstase, «Introduction to the AdS/CFT Correspondence». Cambridge University Press, 2015.
- ↑ Коническая сингулярность возникает в цилиндрической метрике типа , где , но . В этом случае, при взгляде из , будем иметь не цилиндр, а конус, имеющий, очевидно, сингулярность кривизны в точке .
- ↑ E. Witten, «Antide sitter space, thermal phase transition, and confinement in gauge theories», 1998.
- ↑ G. T. Horowitz and A. Strominger, «Black strings and Pbranes», Nucl. Phys. B, vol. 360, p. 197—209, 1991.
Литература
- S. Kobayashi and K. Nomizu, «Foundations of Differential Geometry», Volume 1. A Wiley Publication in Applied Statistics, Wiley, 1996.
- T. Koda, «An introduction to the geometry of homogeneous spaces», 2009.
- L. P. EISENHART, «Riemannian Geometry», p. 84-85. Princeton UniversityPress, 1949.
- M. P. d. Carmo, «Riemannian geometry» / Manfredo do Carmo; translated by Francis Flaherty. Mathematics. Theory and applications, Boston: Birkhäuser, 1992.
- P. Petersen, «Riemannian Geometry». Graduate Texts in Mathematics, Springer New York, 2006.
- J. Penedones, «TASI lectures on AdS/CFT», in Theoretical Advanced Study Institute in Elementary Particle Physics: New Frontiers in Fields and Strings, 8 2016.
- C. A. Bayona and N. R. F. Braga, «Antide Sitter boundary in Poincare coordinates», Gen. Rel. Grav., vol. 39, p. 1367—1379, 2007.
- B. Zwiebach, «A first course in string theory». Cambridge University Press, 7 2006.
- P. P. Avelino, A. J. S. Hamilton, C. A. R. Herdeiro, and M. Zilhão, «Mass inflation in a ddimensional reissnernordström black hole: A hierarchy of particle accelerators?»,Physical Review D, vol. 84, Jul 2011.
- S. W. Hawking, «Particle creation by black holes», Communications in Mathematical Physics, vol. 43, no. 3, p. 199—220, 1975.
- C. Kiefer, «Towards a full quantum theory of black holes», Lecture Notes in Physics, p. 416—450, Jul 2003.
- Z. Z. Ma, «Hawking temperature of kerr-newman-ads black hole from tunneling», Physics Letters B, vol. 666, p. 376—381, Sep 2008. 36
- H. Năstase, «Introduction to the AdS/CFT Correspondence». Cambridge University Press, 2015.
- E. Witten, «Antide sitter space, thermal phase transition, and confinement in gauge theories», 1998.
- G. T. Horowitz and A. Strominger, «Black strings and Pbranes», Nucl. Phys. B, vol. 360, p. 197—209, 1991.
Ссылки
- Пространство-время отрицательной кривизны. // Хуан Малдасена. Иллюзия гравитации. — Элементы (Перепечатка из журнала «В мире науки» № 2, 2006)
- Лекция 8. Вселенная Фридмана. Пространство (анти-)де Ситтера // М. О. Катанаев, д. ф.-м. н.. Спецкурс «Общая теория относительности и геометрическая теория дефектов» — М.: МИАН, 2015.