Реакция Вагнера
Реа́кция Ва́гнера — химическая реакция, заключающаяся в гидроксилировании алкенов под действием раствора перманганата калия.
По этой реакции русский химик В. В. Марковников получил цис-гександиол из циклогексена ещё в 1878 году, однако реакция носит имя русского химика-органика Е. Е. Вагнера, поскольку именно он подробно её исследовал.
Механизм реакции
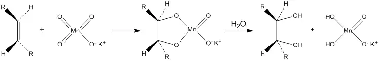
Окисление алкенов (олефинов, терпенов, стероидов и других соединений с кратной C=C связью) проводится в органическом растворителе (ацетоне или этаноле) при 0-10 °C при действии слабого (~1 %) раствора перманганата калия. Реакция является специфической для алкенов и используется для их обнаружения. Продуктом реакции являются соответствующие диолы. Выходы целевых продуктов сравнительно невелики (30-60 %). Реакция является стереоспецифической и протекает через цис-присоединение к молекуле двух гидроксильных групп с образованием сложных циклических эфиров:

Циклические эфиры марганца не были выделены в индивидуальном виде, однако их образование было косвенно показано экспериментами с меченым кислородом. В ходе реакции раствор перманганата калия обесцвечивается и также выпадает чёрный осадок диоксида марганца:
Применение
Реакция используется в препаративной химии для синтеза гликолей, содержащих также другие функциональные группы.
Литература
- Химическая энциклопедия / Редкол.: Кнунянц И.Л. и др.. — М.: Советская энциклопедия, 1988. — Т. 1 (Абл-Дар). — 623 с.
- О. Я. Нейланд. Органическая химия. — М.: Высшая школа, 1990. — 751 с. — 35 000 экз. — ISBN 5-06-001471-1.