Теорема Ролля
Теорема Ро́лля (теорема о нуле производной) — теорема математического анализа, входящая, вместе с теоремами Лагранжа и Коши, в число так называемых «теорем о среднем значении». Теорема утверждает, что
|
Если вещественная функция , непрерывная на отрезке и дифференцируемая на интервале , принимает на концах отрезка одинаковые значения , то на интервале найдётся хотя бы одна точка , в которой производная функции равна нулю: . |
Доказательство


Если функция на отрезке постоянна, то утверждение очевидно, поскольку производная функции равна нулю в любой точке интервала.
Если же нет, поскольку функция непрерывна на , то согласно теореме Вейерштрасса, она принимает своё наибольшее или наименьшее значение в некоторой точке интервала, то есть имеет в этой точке локальный экстремум, и по лемме Ферма производная в этой точке равна 0.
Геометрический и физический (механический) смысл
С геометрической точки зрения теорема утверждает, что если ординаты обоих концов гладкой кривой равны, то на кривой найдётся точка, в которой касательная к кривой параллельна оси абсцисс.
Механический смысл теоремы в том, что если некоторое тело в начальный и конечный моменты времени находилось в одной точке пространства, а между ними двигалось по прямой (или, иначе говоря, в одномерном пространстве), то хотя бы в один момент времени между ними его скорость была равна нулю (в простейшем случае оно двигалось в одном направлении, потом остановилось и двинулось в противоположном).
Существенность условий теоремы и соответствующие контрпримеры
Все условия теоремы — непрерывность функции на отрезке, дифференцируемость на интервале и равенство значений на концах отрезка — существенны. При исключении каждого из этих условий легко подобрать контрпример, свидетельствующий, что заключение теоремы становится неверным.
Следствия
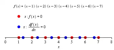
- Если дифференцируемая функция обращается в нуль в различных точках, то её производная обращается в нуль по крайней мере в различных точках[1], причём эти нули производной лежат в выпуклой оболочке нулей исходной функции. Это следствие легко проверяется для случая действительных корней, однако имеет место и в комплексном случае.
- Если все корни многочлена -й степени действительные, то и корни всех его производных до включительно — также исключительно действительные.
- Теорема Лагранжа: дифференцируемая функция на отрезке между двумя своими точками имеет касательную, параллельную секущей/хорде, проведённой через эти две точки.
См. также
- Обобщённая теорема Ролля
- Формула конечных приращений
- Теорема Коши о среднем значении
Примечания
- ↑ Бахвалов Н. С., Жидков Н. П., Кобельков Г. М. Численные методы. — С. 43.
Литература
- Фихтенгольц Г. М. Основы математического анализа. — М.: Наука, 1962. — Т. 1. — С. 225. — 607 с.