Транскетолазы

ксилулозо-5-фосфат + D-рибозо-5-фосфат
D-глицеральдегид-3-фосфат + седогептулозо-7-фосфат

Транскетолазы  — группа ферментов пентозофосфатного пути и цикла Кальвина. Они катализирует две важные реакции, которые действуют в противоположных направлениях в этих двух путях.

Транскетолазы переносят двухуглеродную группу, включающую 1-й и 2-й атомы углерода кетозы, на альдегидный углерод альдозного сахара. Происходит превращение кетосахара в альдозу, содержащую на два атома углерода меньше, и одновременное превращение альдосахара в кетозу, содержащую на два атома углерода больше.

Транскетолазы катализируют перенос двухуглеродной группы с ксилулозо-5-фосфата на рибозо-5-фосфат с образованием семиуглеродной кетозы седогептулозо-7-фосфата и альдозы глицеральдегид-3-фосфата. В другой реакции ксилулозо-5-фосфат служит донором «активного гликоальдегида». Роль акцептора выполняет эритрозо-4-фосфат. Продуктами этой реакции являются фруктозо-6-фосфат и глицеральдегид-3-фосфат.

У млекопитающих транскетолазы соединяют пентозофосфатный путь с гликолизом, переводя избыток сахарофосфатов в основной метаболический путь углеводов. Его присутствие необходимо для производства НАДФН, особенно в тканях активно участвует в процессах биосинтеза, таких как синтез жирных кислот в печени и молочных железах, и для стероидный синтез в печени и надпочечниках. Главными кофакторами этого процесса являются тиаминдифосфат и кальций.

Транскетолазы обильно экспрессируются у млекопитающих в роговице стромальными кератоцитами и клетками эпителия. Считается, что они являются одним из роговичных кристаллинов[1].

Распространение

Транскетолазы присутствуют у в большого количества организмов, включая бактерий, растений и млекопитающих. У человека также есть гены, кодирующие белки с транскетолазной активностью:

  • ТКТ (транскетолаза)
  • TKTL1 (транскетолазо-подобный белок 1)
  • TKTL2 (транскетолазо-подобный белок 2)

Структура

Вход в активный центр этого фермента состоит в основном из боковых групп аргинина, гистидина, серина и аспарагиновой кислоты, а глутамат играет второстепенную роль. Эти боковые цепи, а именно Arg359, Arg528, His469 и Ser386, сохраняются внутри каждого фермента транскетолазы и взаимодействуют с фосфатной группой донорных и акцепторных субстратов. Поскольку субстратный канал настолько узкий, донорные и акцепторные субстраты не могут связываться одновременно. Кроме того, субстраты при связывании в активном центре изменяют свою конформацию на более вытянутую, чтобы уместиться этот узкий канал.

Хотя транскетолазы способны связывать различные субстраты, например фосфорилированные и не фосфорилированные моносахариды в том числе кетозы и фруктоза, рибоза и так далее, они имеет высокую стереоспецифичность по отношению к кетозам с транс-положением гидроксильных групп при атомах С-3 и С-4[2]. Также они стабилизируют субстрат в активном центре при помощи остатков Asp477, His30, и His263. Нарушение этой конфигурации, размещение гидроксильных групп или их стереохимии, приводит к нарушению водородных связей между аминокислотными остатками и субстратом, что приводит к более низкому сродству к субстрату.

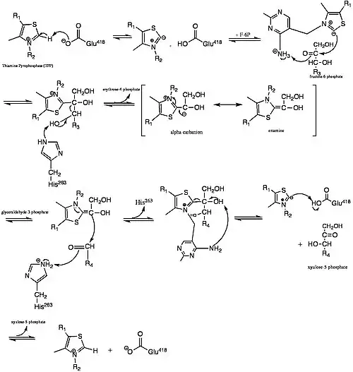
В первой половине этого пути, His263 используется для эффективного отщепления С3 гидроксильных протонов, что позволяет 2-углеродному фрагменту отщепляется от фруктозы 6-фосфата[3]. Кофактор, необходимый для этого шага — тиаминпирофосфат. Связывание тиамина с ферментом не приводит к каким бы то ни было серьёзным конформационным изменениям фермента; наоборот, фермент состоит из двух гибких петель в активном центре, которые делают тиаминпирофосфат доступными для связывания[2].

Механизм

Каталитический механизм начинается с депротонирования тиазолового кольца тиаминприофосфата. Образовавшийся карбанион связывается с карбонильной группой донорного субстрата таким образом, что расщепляется связь между C-2 и C-3 атомами. Этот двухуглеродный фрагмент остается ковалентно связан С-2 углеродом тиаминпирофосфата. После этого донорный субстрат высвобождается, и акцептором субстрат входит в активный сайт, где фрагмент, связанный с α-β-дигидроксиэтилтиаминпирофосфат переносится на акцептор[2].

Mechanism of fructose-6-phosphate to xylulose-5-phosphate in transketolase active site

Были проведены эксперименты, проверявшие эффект замены аланина на аминокислоты у входа в активный центр, Arg359, Arg528, и His469, которые взаимодействуют с фосфатной группой субстрата. Эта замена приводит к образованию фермента с нарушенной каталитической активностью[2].

Роль в заболеваниях

Транскетолазная активность снижается при дефиците тиамина, в основном по причине недоедания. С дефицитом тиамина связан ряд заболеваний, в том числе и бери-бери, биотин-тиамин-отзывчивая болезнь базальных ганглиев[4], синдром Вернике-Корсакова и другие.

Не было обнаружено каких-либо специфических мутаций связанных с синдромом Вернике-Корсакова[5], но есть указание, что дефицит тиамина приводит к развитию этого синдрома только у тех, чьи транскетолазы имеют пониженное сродство к тиамину[6]. таким образом, активность транскетолазы сильно затруднена, и, как следствие, тормозится весь пентозофосфатный путь[7].

Диагностика

Транскетолазная активность эритроцитов уменьшается при дефиците тиамина (витамина В1), что используется для диагностики энцефалопатии Вернике и других синдромов, связанных с недостатком витамина B1, если есть сомнения в диагнозе[8]. Помимо базовой ферментативной активностью (которая может быть нормальной даже при дефиците), усиление активности фермента после добавления тиаминпирофосфата может быть использовано для диагностики дефицита тиамина (0-15 % нормальных, 15-25 % дефицит, >25 % тяжелая недостаточность)[9].

Список литературы

  1. Sax C.M., Kays W.T., Salamon C., Chervenak M.M., Xu Y.S., Piatigorsky J. Transketolase gene expression in the cornea is influenced by environmental factors and developmentally controlled events (англ.) // Cornea : journal. — 2000. — November (vol. 19, no. 6). P. 833—841. doi:10.1097/00003226-200011000-00014. PMID 11095059.
  2. 1 2 3 4 Nilsson U., Meshalkina L., Lindqvist Y., Schneider G. Examination of substrate binding in thiamin diphosphate-dependent transketolase by protein crystallography and site-directed mutagenesis (англ.) // J. Biol. Chem. : journal. — 1997. — January (vol. 272, no. 3). P. 1864—1869. doi:10.1074/jbc.272.3.1864. PMID 8999873.
  3. Wikner C., Nilsson U., Meshalkina L., Udekwu C., Lindqvist Y., Schneider G. Identification of catalytically important residues in yeast transketolase (англ.) // Biochemistry : journal. — 1997. — December (vol. 36, no. 50). P. 15643—15649. doi:10.1021/bi971606b. PMID 9398292.
  4. Biotin-Thiamine-Responsive Basal Ganglia Disease - GeneReviews® - NCBI Bookshelf. Дата обращения: 3 октября 2017. Архивировано 9 мая 2018 года.
  5. McCool B.A., Plonk S.G., Martin P.R., Singleton C.K. Cloning of human transketolase cDNAs and comparison of the nucleotide sequence of the coding region in Wernicke-Korsakoff and non-Wernicke-Korsakoff individuals (англ.) // J. Biol. Chem. : journal. — 1993. — January (vol. 268, no. 2). P. 1397—1404. PMID 8419340.
  6. Blass J.P., Gibson G.E. Abnormality of a thiamine-requiring enzyme in patients with Wernicke-Korsakoff syndrome (англ.) // N. Engl. J. Med. : journal. — 1977. Vol. 297, no. 25. P. 1367—1370. doi:10.1056/NEJM197712222972503. PMID 927453.
  7. Cox, Michael; Nelson, David R.; Lehninger, Albert L. Lehninger principles of biochemistry. — San Francisco: W.H. Freeman, 2005. — ISBN 0-7167-4339-6.
  8. Smeets E.H., Muller H., de Wael J. A NADH-dependent transketolase assay in erythrocyte hemolysates (англ.) // Clin. Chim. Acta : journal. — 1971. — July (vol. 33, no. 2). P. 379—386. doi:10.1016/0009-8981(71)90496-7. PMID 4330339.
  9. Doolman R., Dinbar A., Sela B.A. Improved measurement of transketolase activity in the assessment of "TPP effect" (англ.) // Eur J Clin Chem Clin Biochem : journal. — 1995. — July (vol. 33, no. 7). P. 445—446. PMID 7548453.