Триазины

Триазины - шестичленные ароматические гетероциклы, содержащие в кольце три атома азота.
В соответствии с расположением эндоциклических атомов азота существуют три типа триазинов: 1,2,3-триазины, 1,2,4-триазины и 1,3,5-триазины. 1,3,5-триазины также называют симм-триазинами (симметричными триазинами), 1,2,4-триазины - асимм-триазинами (несимметричными триазинами), а 1,2,3-триазины - виц-триазинами (вицинальными триазинами).
Наиболее хорошо изучены симм-триазины, первые представители которых были получены и описаны в первой половине XIX века: так, Фридрих Вёлер синтезировал циануровую кислоту (1,3,5-тригидрокси-симм-триазин) пиролизом мочевины в 1829 г.[1]
Реакционная способность и химические свойства
В ряду азинов π-электронная плотность падает с увеличением числа гетероатомов в цикле и, вследствие этого фактора, триазины легко вступают в реакцию с нуклеофилами и, соответственно, реакции электрофильного замещения триазинов протекают с трудом.
Зачастую нуклеофильные атаки на триазиновое кольцо идут с раскрытием цикла. Так, 1,3,5-триазин почти полностью гидролизуется в 10% водном растворе до формиата аммония за 10 минут, 1,2,3-триазин при комнатной температуре устойчив к гидролизу, при нагревании гидролизуется до соответствующих 1,3-дикетонов. 1,2,3-триазин реагирует с первичнымии аминами и амидом натрия с образованием, соответственно, N,N-дизамещённых формамидинов и цианамида натрия.
В случае наличия уходящей группы происходит нуклеофильное замещение. Наибольшее препаративное значение имеют реакции нуклеофильного замещения галогена в 1,3,5-триазинах благодаря доступности цианурхлорида - 2,4,6-трихлор-1,3,5-триазина, при этом возможно последовательное замещение атомов хлора, по мере замещения хлора нуклеофилами замещение проходит во все более жёстких условиях:
Диапазон нуклеофилов при этом очень широк: от HF (синтез фторхлор-симм-триазинов) до ароматических соединений, дающих с цианурхлоридом в условиях реакции Фриделя-Крафтса арилпроизводные.
3-Хлор-1,2,4-триазины реагируют с алкоголятами и аминами, давая соответствующие 3-алкокси- и 3-аминопроизводные.
Электрофильное замещение протекает в жёстких условиях и зачастую с низкими выходами: перхлорид 1,3,5-триазина при нагреве в запаянной трубке при 140-200 °С даёт смесь цианурхлорида и 2,4-дихлор-1,3,5-триазина с выходами 25% и 4% соответственно.
Синтез
1,3,5-Триазины
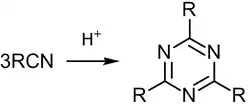
Наиболее известным методом синтеза симм-триазинов является тримеризация нитрилов, катализируемая HCl и кислотами Льюиса, электронакцепторные заместители в нитриле облегчают протекание реакции, алкилнитрилы тримеризуются в жёстких условиях (давление до 100 МПа):

- R = Alk, Ar, Cl, OH, NH2
В реакцию вступают и другие соединения, содержащие группу -C≡N : циановая кислота под действием триэтилфосфина и третичных аминов тримеризуется в циануровую (2,4,6-тригидрокси-сим-триазин), хлорциан - в цианурхлорид (2,4,6-трихлор-сим-триазин), цианамид - в меламин (2,4,6-триамино-сим-триазин).
Этот метод применим для синтеза симметрично замещённых триазинов, в случае использования смеси нитрилов получается смесь различных асимметрично замещённых триазинов.
Гидрокситриазины также могут быть синтезированы фосгенированием амидинов (синтез триазинов по Пиннеру):
1,2,4-Триазины
Одним из первых методов синтеза 1,2,4-триазинов стал синтез Бамбергера циклизацией арилформазанов в бенз-1,2,4-триазины под действием кислот. Сами исходные формазаны синтезируются при взаимодействии диазониевых солей с гидразонами[2] либо другими методами:

3-Гидроксипроизводные 1,2,4-триазинов также образуются при конденсации семикарбазида с 1,2-дикарбонильными соединениями[3].
1,2,3-Триазины
1,2,3-Триазины синтезируют окислением N-аминопиразолов перекисями и термической перегруппировкой циклопропилазидов.
Промышленное применение

Наибольшее практическое применение нашли 1,3,5-триазины: 2,4,6-триамино-1,3,5-триазин (меламин) является крупнотоннажным продуктом и широко используется в производстве меламинформальдегидных смол, 1,3,5-тринитропергидро-симм-триазин (гексоген) является одним из наиболее распространённых взрывчатых веществ.
Цианурхлорид используется в производстве синтетических красителей: введение хлор-симм-триазиновой группы в краситель обеспечивает ковалентное связывание с волокном, несущим нуклеофильные группы (например, гидроксильные группы целлюлозы), за счёт нуклеофильного замещения хлора, такие красители известны под названием активные триазиновые красители.
Некоторые аминопроизводные симм-триазинов — продукты замещения хлора в цианурхлориде аминами — используются в качестве гербицидов (атразин, симазин, цианазин и др.).
Литература
- А.Е. Портер. Триазины и тетразины // Общая органическая химия. Под ред. Д Бартона и У.Д. Оллиса, М., Химия, 1985. т.8, гл. 16.3
Ссылки
- ↑ F. Wöhler. Ueber die Zersetzung des Harnstoffs und der Harnsäure durch höhere Temperatur. Annalen der Physik und Chemie, 1829 15:619-30. Дата обращения: 9 января 2009. Архивировано 30 марта 2016 года.
- ↑ E.Bamberger, E.Wheelwright. Ber, 25, 3201 (1892
- ↑ Eid, Mohga M; Mohamed A Badawy, Yehia A Ibrahim. Condensed 1,2,4‐triazines. Regioselective condensations with benzo[hquinoline‐5,6‐dione] (англ.) // Journal of Heterocyclic Chemistry : journal. — 1983. — 1 September (vol. 20, no. 5). — P. 1255—1258. — ISSN 1943-5193. — doi:10.1002/jhet.5570200521.

