Формула цветового отличия
Формула цветового отличия (англ. Color difference), также формула цветового различия, цветоразность, или цветовое расстояние (расстояние между цветами) — математическое представление, позволяющее численно выразить различие между двумя цветами в колориметрии. Распространенные определения цветового различия обычно используют формулу вычисления расстояния в евклидовом пространстве, однако стоит заметить что при этом не каждое цветовое пространство является евклидовым со строгой математической точки зрения.
Дельта E
Международный комитет CIE (фр. Commission Internationale de l'Eclairage) задает определение цветовой разницы через метрику ΔE*ab (также ΔE*, dE*, dE, или англ. Delta E). Буква «E» обозначает нем. Empfindung — рус. Ощущение.
CIE76
Используя координаты и в цветовом пространстве L*a*b*:
примерно соответствует минимально различимому для человеческого глаза различию между цветами.[1]
CIE94
ΔE (1994) задавалось в цветовом пространстве LCH (L*C*h).
где весовой коэффициент K зависит от области применения:
| Искусство | Промышленность | |
|---|---|---|
| 1 | 2 | |
| 0.045 | 0.048 | |
| 0.015 | 0.014 |
CIEDE2000
Ввиду того, что определение 1994 года не полностью устранило неоднородности восприятия цветового различия, комитет CIE разработал новый стандарт, которые включал пять дополнений:[2][3]
- Поворот цветового угла тона (RT), чтобы устранить проблемы в синей области (угол Hue 275°):[4]
- Компенсация для нейтральных цветов
- Компенсация для светлоты (SL)
- Компенсация для насыщенности цвета (SC)
- Компенсация для тона (SH)
Для заданных двух значений цветов в пространстве L*a*b*, где цвет1 = (L*1,a*1, b*1 ), а цвет2 = (L*2,a*2, b*2 )

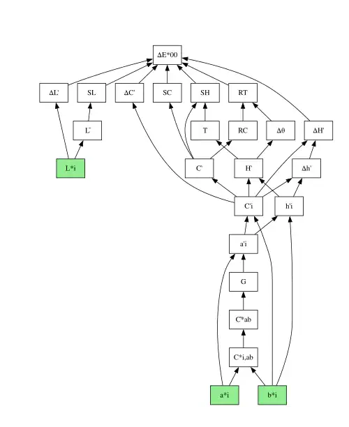
Граф последовательности расчёта ΔE*00. Зависимость от переменных с индексом i означает, что расчёты зависят сразу от двух переменных, когда i = 1 и i = 2.Например, если C зависит от Ci, то значит C зависит от C1 и C2 одновременно. - Коэффициенты
Раскрываем значения переменных в порядке их появления в формулах выше:
Примечание: Обратная тригонометрическая функция арктангенс может быть вычислена с помощью библиотечной функции atan2(, ), которая возвращает значения в диапазоне от до ; а спецификация цвета лежит в пределах от 0 до 360 градусов, поэтому требуется приведение результата в нужный диапазон. Значение арктангенса (и функции atan2 тоже) не определено, когда и и одновременно равны нулю (это также означает, что соответствующий равен нулю); в этом случае, hue angle принимается равным нулю. См. Sharma, 2005, eqn. 7.
См. также
Ссылки
- Bruce Lindbloom's color difference calculator (англ.). Дата обращения: 20 апреля 2008. Архивировано 10 января 2025 года.
- Михаил Сартаков. Калькулятор Color Difference. CIELab.XYZ. Дата обращения: 10 января 2025.
- Sharma, Gaurav. The CIEDE2000 Color-Difference Formula (англ.). Дата обращения: 10 января 2025. Архивировано 12 марта 2012 года.
- Robertson, Alan R. Historical development of CIE recommended color difference equations (англ.) // Color Research & Application. — 1990. — Vol. 15, no. 3. — P. 167—170. — doi:10.1002/col.5080150308. (недоступная ссылка)
- Melgosa, M.; Quesada, J. J. and Hita, E. Uniformity of some recent color metrics tested with an accurate color-difference tolerance dataset (англ.) // Applied Optics. — 1994. — December (vol. 33, no. 34). — P. 8069—8077.
- McDonald, Roderick; Hill, MacDonald, Nobbs, Rigg, Sinclair, Smith. Colour Physics for Industry (англ.) / Roderick McDonald. — 2E. — Society of Dyers and Colourists, 1997. — ISBN 0901956708.
Примечания
- ↑ Gaurav Sharma. 1.7.2 // Digital Color Imaging Handbook. — CRC Press, 2003. — ISBN 084930900X.
- ↑ Sharma, Gaurav; Wencheng Wu, Edul N. Dalal. The CIEDE2000 color-difference formula: Implementation notes, supplementary test data, and mathematical observations (англ.) // Color Research & Applications : journal. — Wiley (publisher). — Vol. 30, no. 1. — P. 21—30. — doi:10.1002/col.20070. Архивировано 9 февраля 2012 года.
- ↑ Delta E (CIE 2000). Дата обращения: 20 апреля 2008. Архивировано 20 февраля 2020 года.
- ↑ The «Blue Turns Purple» Problem Архивная копия от 17 марта 2016 на Wayback Machine, Bruce Lindbloom