Фталимид
| Фталимид | |
|---|---|
| |
| Общие | |
| Систематическое наименование |
Фталимид |
| Традиционные названия | имид о-фталевой кислоты, изоиндолин-1,3-дион |
| Хим. формула | C8H5NO2 |
| Физические свойства | |
| Состояние | бесцветные кристаллы |
| Молярная масса | 147,13 г/моль |
| Плотность | 1,47 г/см³ |
| Термические свойства | |
| Температура | |
| • плавления | 238 °C |
| • кипения | 336 °C |
| Мол. теплоёмк. | 1,21 Дж/(моль·К) |
| Энтальпия | |
| • образования | -3560 кДж/моль |
| Химические свойства | |
| Константа диссоциации кислоты | 9,90 |
| Растворимость | |
| • в воде | 0,320; 2,2100 г/100 мл |
| Классификация | |
| Рег. номер CAS | 85-41-6 |
| PubChem | 6809 |
| Рег. номер EINECS | 201-603-3 |
| SMILES | |
| InChI | |
| RTECS | TI3920000 |
| ChEBI | 38817 |
| ChemSpider | 6550 |
| Приведены данные для стандартных условий (25 °C, 100 кПа), если не указано иное. | |
Фталими́д — имид о-фталевой кислоты (изоиндолин-1,3-дион), бесцветные кристаллы, плохо растворим в воде, хорошо растворим в уксусной кислоте, этаноле, водных растворах щелочей.
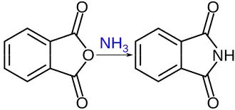
Получение
- Действием аммиака на фталевый ангидрид:
Физические свойства
- Бесцветные кристаллы, плохо растворим в воде, хорошо растворим в уксусной кислоте, этаноле, водных растворах щелочей, кипящем бензоле, не растворяется в холодном бензоле, лигроине, хлороформе.
Химические свойства
- Щелочные растворы гидролизуют фталимид до фталаминовой кислоты:
- С концентрированными щелочами и щелочными металлами образует соли фталимида.
Биологические свойства
Фталимид токсичен по отношению к рыбам, морским водорослям и бактериям. Токсичность для человека не изучалась[1].
Применение
- Синтез антраниловой кислоты, пестицидов.
См. также
Примечания
- ↑ Паспорт безопасности : в соответствии с Постановлением (EU) No.1907/2006 : Дата ревизии 13.11.2018 : [арх. 26 июня 2020]. — Версия 1.1. — Merck.
Литература
- Химическая энциклопедия / Редкол.: Зефиров Н. С. и др.. — М.: Большая Российская энциклопедия, 1998. — Т. 5. — 783 с. — ISBN 5-85270-310-9.
- Несмеянов А. Н., Несмеянов Н. А. Начала органической химии. В 2-х томах. — М.: «Химия», 1970. — Т. 2. — 824 с.


