Эффект Литтла — Паркса
Эффект Литтла — Паркса был обнаружен в 1962 году Уильямом А. Литтлом и Роландом Д. Парком в экспериментах с тонкостенными сверхпроводящими цилиндрами помещёнными в параллельное магнитное поле.[1] Это одно из первых указаний на важность куперовского спаривания.
Суть эффекта заключается в незначительном подавлении сверхпроводимости незатухающим током.
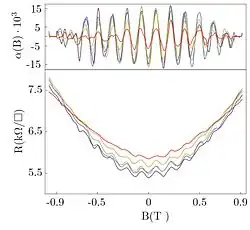
Результаты схематически показаны на рис. где наблюдаются периодические осцилляции критической температуры (Тс) на параболическом фоне.
Объяснение
Электрическое сопротивление таких цилиндров демонстрирует периодические колебания в зависимости от магнитного потока, пронизывающего этот цилиндр, с периодом
- h/2e ≈ 2,07⋅10−15 T⋅m2
где h — это постоянная Планка, а e — это абсолютный заряд электрона. Объяснение Литтла и Паркса состоит в том, что осцилляции сопротивления отражают более фундаментальное явление, то есть периодические колебания температуры перехода в сверхпроводящее состояние Tc.

Эффект Литтла — Паркса состоит в периодическом изменении Tc с магнитным потоком, который равен произведению магнитного поля (коаксиального) и площади поперечного сечения цилиндра. Тс зависит от кинетической энергии (КЭ) сверхпроводящих электронов. Точнее, Tc — это такая температура, при которой свободные энергии нормальных и сверхпроводящих электронов равны, для данного магнитного поля. Чтобы понять периодические колебания Tc, необходимо разобраться в периодическом изменении кинетической энергии. КЭ осциллирует, поскольку приложенный магнитный поток увеличивает КЭ в то время как сверхпроводящие вихри, периодически пронизывающие цилиндр, компенсируют действие магнитного потока и снижают КЭ.[1] Таким образом, периодические колебания кинетической энергии и соответствующие периодические осцилляции критической температуры происходят вместе.
Эффект Литтла — Паркса результат коллективного квантового поведения сверхпроводящих электронов. [2]
Эффект Литтла — Паркса можно рассматривать как результат требования, что квантовая физика должна быть инвариантна относительно выбора калибровки для электромагнитного потенциала, часть которого составляет магнитный векторный потенциал A.
Электромагнитная теория предполагает, что частицы с электрическим зарядом Q двигающаяся по некоторому пути P в области с нулевым магнитным полем B, но не нулевым, A (потому что ), приобретает фазовый сдвиг , заданный в единицах Си как
В сверхпроводнике электроны образуют квантовый сверхпроводящий конденсат, называемый конденсатом Бардина — Купера — Шриффера (БКШ). В конденсате БКШ все электроны ведут себя когерентно, то есть как одна частица. Таким образом, фаза коллективной волновой функции ведёт себя под воздействием векторного потенциала A так же, как фаза одного электрона. Поэтому конденсат БКШ текущий по замкнутому контуру в многосвязных сверхпроводящих образцах приобретает разность фаз Δφ определяемую магнитным потоком ΦB через площадь, ограниченную контуром (по теореме Стокса и ), по формуле:
Эта фаза отвечает за квантование магнитного потока и эффект Литтла — Паркса в сверхпроводящих кольцах и пустых цилиндрах. Квантование возникает из однозначности сверхпроводящей волновой функции в кольце или пустотелом сверхпроводящем цилиндре: её разность фаз Δφ вокруг замкнутого контура должна быть кратной 2π, с зарядом q = 2e для куперовских пар.
Если период осцилляций Литтла — Паркса 2π по отношению к сверхпроводящей фазе, то из формулы выше следует, что период относительно магнитного потока равен кванту магнитного потока, а именно
Приложения
Эффект Литтла — Паркса широко используется для доказательства механизма куперовского спаривания. Одним из хороших примеров является изучение перехода сверхпроводник — диэлектрик.[3][4][5]


Трудность заключается в том, чтобы отделить осцилляции Литтла — Паркса от слабой (анти-)локализации (Альтшулер и соавт., где авторы наблюдали осцилляции Ааронова — Бома в грязных металлических плёнках).
История
Фриц Лондон предсказал, что магнитный поток квантуется в многосвязных сверхпроводниках. Экспериментально было показано,[6] , что захваченный магнитный поток существовал только для дискретных квантовых значений h/2e. Дивер и Файрбэнк измерили квантование с точностью 20-30 % определяемую толщиной стенок цилиндра.
Литтл и Паркс рассмотрели тонкостенные (материалы: Al, In, Pb, Sn и Sn-In-сплавы) цилиндры (диаметр около 1 микрона) при Т вблизи температуры перехода в коаксиальном магнитном поле. Они наблюдали осцилляции магнитосопротивления
Они на самом деле измеряли малые изменения сопротивления в зависимости от температуры для различных постоянных магнитных полей, как это показано на рис.
Примечания
- 1 2 W. A. Little and R. D. Parks, «Observation of Quantum Periodicity in the Transition Temperature of a Superconducting Cylinder», Physical Review Letters 9, 9 (1962), doi:10.1103/PhysRevLett.9.9
- ↑ Tinkham, M. Introduction to Superconductivity, Second Edition (англ.). — New York, NY: McGraw-Hill Education, 1996. — ISBN 0486435032.
- ↑ G. Kopnov et al., «Little-Parks Oscillations in an Insulator», Physical Review Letters 109, 167002 (2012), doi:
- ↑ I. Sochnikov et al., «Large oscillations of the magnetoresistance in nanopatterned high-temperature superconducting films», Nature Nanotechnology 5, 516—519 (2010), doi: Архивная копия от 22 января 2015 на Wayback Machine
- ↑ D. Gurovich et al., «Little-Parks oscillations in a single ring in the vicinity of the superconductor-insulator transition», PHYSICAL REVIEW B 91, 174505 (2015), doi:
- ↑ Bascom S. Deaver, Jr. and William M. Fairbank, «Experimental Evidence for Quantized Flux in Superconducting Cylinders», Physical Review Letters 7, 43 (1961), doi: Архивная копия от 13 июля 2014 на Wayback Machine