Азобисизобутиронитрил
| Азобисизобутиронитрил | |
|---|---|
| |
| Общие | |
| Сокращения | AIBN, ДАК |
| Хим. формула | C8H12N4 |
| Внешний вид | Порошок белого цвета |
| Физические свойства | |
| Молярная масса | 164,21 г/моль |
| Плотность | 1,1 г/см³ |
| Термические свойства | |
| Температура | |
| • плавления | 103–105 °C |
| Химические свойства | |
| Растворимость | |
| • в воде | Практически нерастворим |
| • в метаноле | 5 г/100 мл |
| • в этаноле | 2 г/100 мл |
| • в бензоле | 28 г/100 мл |
| • в ДМСО | 4,6 г/100 мл |
| Классификация | |
| Рег. номер CAS | 78-67-1 |
| PubChem | 6547 |
| Рег. номер EINECS | 201-132-3 |
| SMILES | |
| InChI | |
| ChEBI | 189360 |
| ChemSpider | 6599 |
| Приведены данные для стандартных условий (25 °C, 100 кПа), если не указано иное. | |
Азобисизобутиронитрил (динитрил азобисизомасляной кислоты, ДАК, AIBN) — органическое вещество класса азосоединений и нитрилов. Применяется как инициатор радикальной полимеризации и других реакций со свободнорадикальным механизмом. Представляет собой белый порошок, плохо растворимый в воде и хорошо растворимый в этаноле и других органических растворителях.
Механизм разложения
Азобисизобутиронитрил разлагается при нагревании свыше 40 °C с выделением газообразного азота с образованием двух 2-цианопроп-2-ильных радикалов:

Химические свойства
Радикалы, образующиеся при разложении азобисизобутиронитрила, могут инициировать свободнорадикальную полимеризацию и другие реакции, инициированные радикалами. Например, смесь стирола и малеинового ангидрида в толуоле будет полимеризоваться при нагревании с образованием сополимера при добавлении ДАК. Другим примером радикальной реакции, которая может быть инициирована ДАК, является гидрогалогенирование алкенов против правила Марковникова.
Бензилбромирование
ДАК можно использовать в качестве радикального инициатора бромирования в реакции Воля — Циглера.
Реакция ДАК и гидрида трибутилолова (HSnBu3)
Как было отмечено выше ДАК, разлагается с образованием 2-циано-2-пропильного радикала при нагревании, который затем отщепляет водород от гидрида трибутилолова. В результате образуется радикал трибутилолова, который можно использовать во многих реакциях. Например, этот радикал можно использовать для удаления брома из алкена.
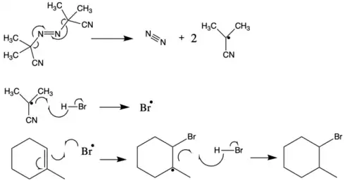
Механизм
_Mechanism.png)
Гидрогалогенирование алкенов
Реакция начинается с разложения ДАК на 2-циано-2-пропильные радикалы, которые отрывают водород от HBr, оставляя радикал брома. Радикал брома далее присоединяется к алкену. При гидрогалогенировании алкена с использованием ДАК региоселективность галогена происходит против правила Марковникова.
Механизм

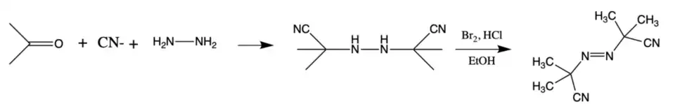
Получение
- Из ацетона, цианида натрия и сульфата гидразина через 2,2'-циангидразо-бис-пропан[1][2]:

- Из ацетонциангидрина и гидразина с последующим окислением[3]:
Применение
- Инициатор радикальной полимеризации[4];
- Соинициатор в реакции Бартона[5];
- Инициатор в реакции Воля-Циглера[5];
- Соинициатор в реакции Дауда[5];
- Соинициатор в реакции Уина-Сторка[5].
Токсикология и безопасность
Азобисизобутиронитрил весьма ядовит, поскольку при термическом разложении ДАК образуется высокотоксичный тетраметилсукционитрил. Однако ДАК гораздо безопаснее в использовании, чем бензоилпероксид, потому что риск взрыва намного меньше. Тем не менее ДАК считается взрывоопасным соединением, интенсивно разлагающимся при температуре выше 65 °C. При его применении рекомендуется использовать респиратор, защитные перчатки и очки.
Примечания
- ↑ Синтезы органических препаратов. Сборник 4. Москва, Иностранная Литература, 1953, стр. 245
- ↑ C. G. Overberger, M. T. O'Shaughnessy, Harold. Shalit. The Preparation of Some Aliphatic Azo Nitriles and their Decomposition in Solution (англ.) // Journal of the American Chemical Society. — 1949-08. — Vol. 71, iss. 8. — P. 2661–2666. — ISSN 1520-5126 0002-7863, 1520-5126. — doi:10.1021/ja01176a018.
- ↑ Jean-Pierre Schirmann, Paul Bourdauducq. Hydrazine (англ.) // Ullmann's Encyclopedia of Industrial Chemistry / Wiley-VCH Verlag GmbH & Co. KGaA. — Weinheim, Germany: Wiley-VCH Verlag GmbH & Co. KGaA, 2001-06-15. — P. a13_177. — ISBN 978-3-527-30673-2. — doi:10.1002/14356007.a13_177. Архивировано 9 ноября 2022 года.
- ↑ А. М. Торопцева и др. Лабораторный практикум по химии и технологии высокомолеулярных соединений Л.-Химия. 1972.
- 1 2 3 4 Дж. Дж. Ли Именные реакции. Пер. с англ. М., Бином 2006
