Диазирины
Диазирины — класс органических полиазотистых гетероциклических соединений, содержащих трёхчленный цикл с включёнными в него двумя атомами азота, между которыми имеется двойная связь, образуя циклопропеноподобное кольцо[1], 3H-диазирин (>CN2). Существует два структурных изомера диазирина: 1H-диазирин с двойной связью HC=N нестабилен и перестраивается в таутомерную форму 3H-диазирин с двойной связью между атомами азота. Они изомерны диазометановым группам (>C=N=N) и, подобно им, могут служить прекурсорами карбенов за счёт потери молекулы азота N2. Например, облучение диазиринов ультрафиолетовым светом приводит к встраиванию карбена в различные связи C−H, N−H и O−H[1][2]. Диазирины набирают популярность в качестве небольших фотореактивных сшивающих реагентов[3]. Они часто используются в исследованиях фотоаффинного мечения для наблюдения за различными взаимодействиями, включая взаимодействия лиганд-рецептор, лиганд-фермент, белок-белок и белок-нуклеиновая кислота[1][4].
Синтез
Синтез из кетонов
Как правило, схемы синтеза, которые начинаются с кетонов (C=O), включают превращение кетона с желаемыми заместителями в диазиридины (CN2H2). Затем эти диазиридины окисляются с образованием желаемых диазиринов.
Диазиридины можно получить из кетонов путём оксимации с последующим тозилированием (или мезилированием) и, далее, обработкой аммиаком (NH3). Обычно реакции оксимации осуществляются путём взаимодействия кетона с хлоридом гидроксиламмония (NH3OH-Cl+) при нагревании в присутствии такого основания, как пиридин[5][6]. Последующее тозилирование или мезилирование альфа-замещённого кислорода тозил- или мезилхлоридом в присутствии основания дает тозил- или мезилоксим[7]. Окончательная обработка тозила или мезилоксима аммиаком дает диазиридин[2][4][7][8].

Диазиридины также можно получать непосредственно реакцией кетонов с аммиаком в присутствии аминирующего агента, такого как монохлорамин или гидроксиламин О-сульфоновой кислоты[9].
Дегидрирование (окисление) полученных диазиридинов можно проводить оксидом ртути (II), щелочным раствором перманганата или кислым раствором бихромата[10] (и аналогичную ей реакцию окисления Джонсона[11]). Очень часто используют оксид серебра[10][12][13], но также можно использовать окисление йодом и триэтиламином, оксалилхлоридом[7] или даже электрохимическое окисление на платиново-титановом аноде[14]. В зависимости от растворимости исходного и конечного продукта реакцию проводят в водном или эфирном растворе[10].

Синтез по реакции Грэма
Альтернативно, диазирины могут быть получены в одноступенчатом процессе с использованием реакции Грэма, начиная с амидинов[15]. В результате этой реакции получается галогенированный диазирин, галоген которого может быть вытеснен различными нуклеофильными реагентами[16].
![]() |
![]() |
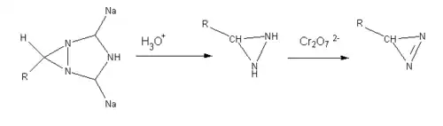
З-Алкилдиазирины
Для синтеза 3-алкилдиазиринов нет соответствующих насыщенных трехчленных циклов. Их получение связано всегда с дополнительным образованием пятичленного кольца в условиях кислотного гидролиза. Группа N—С—N в трехчленном цикле значительно стабильнее, чем аналогичная группа в пятичленном цикле. Поэтому пятичленное кольцо можно гидролитически расщепить, не затрагивая диазиридиновый цикл[10]:

На основе метода синтеза 3-алкилдиазиринов был впервые получен простейший представитель ряда циклодиазометан. При взаимодействии формальдегида с аммиаком и хлорамином при последующей конденсации диазирина с формальдегидом вместо ожидаемого бицикла (H2CN2H2) образуется высокомолекулярный нелетучий продукт, при окислении которого бихроматом в серной кислоте получают диазирин с выходом 50%[10].

Известны случаи взрывов при работе с низкомолекулярными диазиринами при попытке их выделить[10].
Синтез из трет-октилазометина
Описаны синтезы самого диазирина из трет-октилазометина и дифторамина или дихлорамина, при этом в случае фтора или хлора реакции идут по разным механизмам и в разных условиях. В случае фтора предполагают промежуточное образование фторнитрена :NF[10]:

В случае хлора качестве промежуточных стадий предполагалось образование дихлорированного метилендиамина H2C(NCl2)(NH—трет-октил) и N-хлорированного диазиридина[10]:

Синтез через метилендиамин
Из формальдегида, формамида и серной кислоты получается сульфат метилендиамина, который в щелочном растворе гипохлорита переходит в диазирин[10].

Выход конечного продукта увеличивается втрое (с 26 % до 78) в случае использования в качестве исходного соединения 2,2-диаминогексафторпропана в щелочном растворе гипохлорита. Реакция проходит по аналогичному механизму с метилендиамином[10].
Синтез из амидинов
Алифатические и ароматические амидины дают с гипохлоритом или гипобромитом натрия в диметилсульфоксиде с водой галогенированный в положении 3 диазирин:

В дальнейшем галоген может быть заменен различными нуклеофильными реагентами[17].
Физические свойства
Сам простейший циклодиазирин кипит при -14°C[10].
В общем случае температуры кипения диазиринов ниже, чем у исходных кетонов, что объясняется меньшей полярностью диазиринов. По запаху они так же сходны с этими кетонами. Простые диазирины смешиваются со всеми органическими растворителями, но не с водой. Оксидиазирины относительно хорошо растворимы в воде. Некоторые галогенозамещённые диазирины очень взрывчаты, что осложняет работу с ними[10].
Химические свойства
Диазирины неожиданно оказались гораздо более стабильными соединениями, чем изомерные им диазоалканы. Диазирины не расщепляются при действии растворов кислот разбавленных и средний концентраций и щелочей при 20о и довольно устойчивы при нагревании до 100°[18].
Реакции, в которые вступают диазирины можно разделить на несколько типов: реакции с сохранением, раскрытием и расширением цикла.
Реакции с сохранением трёхчленного цикла
Сохранение диазиринового цикла
Поскольку диазириновая группа нечувствительна к химическим воздействиям, можно осуществлять превращения функциональных групп, не затрагивая трёхчленного диазиринового кольца. Реакции функциональных групп, достаточно далеко удалённых от диазириновой группы, протекают без осложнений[10].
Например оксадиазирин при действии 3,5-динитробензоилхлорида дает кристаллический динитробензоат. При щелочном гидролизе регенерируется оксидиазирин[10]:

Или реакция образования З-метил-З-винилдиазирина. При кватернизации диазирина йодистым метилом и последующем элиминировании по Гофману диазириновая группа остаётся незатронутой. Отщепление амина от четвертичного основания протекает уже при температуре водяной бани[10]:

Диазиминовый цикл сохраняется и при озонировании образовавшегося винилдиазирина при температуре сухого льда и дальнейшем восстановлении получившейся гидроперекиси триэтилфисфитом[10].
Восстановление до диазиридинового цикла
Непосредственное восстановление амальгамой натрия:

Если с электрофильным реагентам (такие, как кислоты) диазирины реагируют в жёстких условиях, то с нуклеофильными, такими, как реактивы Гриньяра или металлоорганические соединения, реагируют значительно легче. Взаимодействием с нуклеофильными реагентами могут быть получены замещённые диазиридины[10]:

Реакции с раскрытием цикла
Кислотное расщепление диазиринов
Реакции происходят только под действием сильных кислот:

При этом оксидиазирины (соединения с OH-группой на соседнем от углерода диазиринового гетероцикла) разлагаются заметно легче и предполагается механизм протонирования кислорода, смещение электронной плотности и дальнейшее раскрытие гетероцикла с отщеплением азота.
С протонирования кислорода, но по более сложному предполагаемому механизму проходит и реакция кислотного расщепления α-кетопентаметилендиазирина, которая в итоге приводит с сужению связанного шестиатомного цикла[10]:

Фотолиз диазиринов активно изучался сразу после их открытия. При облучении ультрафиолетовым светом диазирины образуют реакционноспособные карбеновые соединения. Общий механизм фотолиза можно представить в виде схемы[10]:

Соотношение первичных продуктов фотолиза с продуктами дальнейших реакций очень сильно зависит от давления — при повышении давления получившейся молекуле проще отдать повышенную колебательную энергию сторонней частице и, таким образом, стабилизироваться. И наоборот — при понижении давления время жизни как самих карбенов, так и энергонасыщенных продуктов реакции сильно повышается и они могут вступать в дальнейшие реакции как между собой, так и внутренние перегруппировки, раскрытия циклов, отщепления водорода и прочие вторичные реакции. В случае получения первичных стабильных продуктов реакции лишняя энергия чаще всего уносится отщепляющейся молекулой азота[10]. В тоже время температура практически не влияет на соотношение продуктов реакции и идёт почти полностью через отщепление азота (некоторых опытах были обнаружены лишь следы азотсодержащих побочных продуктов)[10].
Особый случай представляет фоторасщепление самого диазирина H2CN2 — образующийся карбен не имеет возможности для внутримолекулярной стабилизации и в отсутствие
других реагентов взаимодействует с самим диазирином, образуя в качестве основных продуктов этилен и азот, но как побочные также метан, этан и пропилен[10]. Однако в особых условиях — на матрице из твёрдого азота при 20 K — образуется диазометан. Исследования с использованием меченных атомов показало, что и в этом случае происходит отщепление азота гетероцикла и последующее его присоединение из азота матрицы[18]. Частичное образование диазометана наблюдается и при фотолизе в газовой фазе, в этом случае было показано, что фотоактивированный диазирин может не только сразу расщепиться на азот и карбен, но и превращаться в возбуждённый диазометан, который может потерять свою избыточную энергию при столкновениях[10].
Реакция с раскрытием цикла с образованием линейного диазосоединения происходит при фотолизе пентаметилендиазирина в жидкой фазе, где наряду с углеводородами, возникающими и при фотолизе в газовой фазе, с выходом 15—20 % был получен азин циклагексанона и доказано промужуточное образование диазоциклоценсана[10]:

Карбен может существовать в синглетной форме, в которой два свободных электрона занимают одну и ту же орбиталь, или в триплетной форме, с двумя неспаренными электронами на разных орбиталях.

Заместители в диазирине влияют на то, какие формы карбена образуются при облучении и последующем фотолитическом расщеплении. Заместители диазирина, которые являются электронодонорными по своей природе, могут отдавать электронную плотность пустой р-орбитали образующегося карбена, и могут стабилизировать синглетное состояние. Например, фенилдиазирин продуцирует фенилкарбен в синглетном карбеновом состоянии[19], тогда как 3-хлор-3-[(4-нитрофенил)]диазирин или трифторметилфенилдиазирин продуцируют соответствующие триплетные карбеновые продукты[20][21]:

Электронодонорные заместители также могут способствовать фотоизомеризации до линейного диазосоединения[22], а не синглетного карбена, и такие соединения неблагоприятны для использования в биологических анализах[23]. С другой стороны, трифторарилдиазирины, в частности, проявляют благоприятную стабильность и фотолитические свойства[23] и наиболее часто используются в биологических приложениях[2]. Карбены, полученные из диазиринов, быстро реагируют с молекулами воды[24], и, следовательно, выходы для анализов фотореактивного сшивания часто низкие. Тем не менее, поскольку это сводит к минимуму неспецифическую маркировку, в этом и преимущество использования диазиринов.
Термическое разложение происходит так же с образованием карбенов и отщеплением азота[10]:

Но если в случае шестичленного цикла в примере с пентаметилендиазирином получается единственный продукт, то при увеличении цикла на одно звено, наряду с циклогептеном, становится возможным и образование норкарана[10]:

Если характер разложения линейных диазосоединений сильно зависит от растворителя, и уже в спиртах тип реакции меняется от карбенового к ионному, то разложение диазиринов не зависит от растворителя. Так разложение изопропилдиазирина в нитробензоле, сквалане или бензиловом спирте дает олефин и производное циклопропана в одинаковом количественном соотношении. То же относится к разложению трет-бутилдиазирина[10].
Термическое разложение оксидиазиринов, вероятно, протекает через промежуточное образование оксикарбенов, причем оксикарбены другими путями не были получены[10]:

С получением иных продуктов реакции проходит термическое разложение дифтордиазирина[10]:

Она идёт через образование дифторкарбена и многие из таких реакций играют важную роль в химий перфторзамещённых соединений[10].
В целом, результат фотолиза диазиринов всегда значительно отличается от результата термического разложения[10].
Реакции с расширением цикла
Реакции с расширением цикла возможны только для соединений с кратными связями.
Синтез пиразолов из винилазиринов

Синтез триазола

Примечания
- 1 2 3 Циклические азосоединения - диазирины. spravochnick.ru. Дата обращения: 22 ноября 2024. Архивировано 1 декабря 2024 года.
- 1 2 3 Luba Dubinsky, Bastiaan P. Krom, Michael M. Meijler. Diazirine based photoaffinity labeling (англ.) // Bioorganic & Medicinal Chemistry. — 2012. — 15 January (vol. 20, iss. 2). — P. 554–570. — doi:10.1016/j.bmc.2011.06.066. — PMID 21778062. Архивировано 3 декабря 2024 года.
- ↑ James R. Hill, Avril A. B. Robertson. Fishing for Drug Targets: A Focus on Diazirine Photoaffinity Probe Synthesis (англ.) // Journal of Medicinal Chemistry. — 2018. — 23 August (vol. 61, iss. 16). — P. 6945–6963. — ISSN 0022-2623. — doi:10.1021/acs.jmedchem.7b01561. — PMID 29683660. Архивировано 13 февраля 2023 года.
- 1 2 Andrea Sinz. Investigation of Protein–Ligand Interactions by Mass Spectrometry (англ.) // ChemMedChem. — 2007. — 16 April (vol. 2, iss. 4). — P. 425–431. — ISSN 1860-7179. — doi:10.1002/cmdc.200600298. — PMID 17299828. Архивировано 13 февраля 2023 года.
- ↑ Nadja Burkard, Tobias Bender, Johannes Westmeier, Christin Nardmann, Markus Huss, Helmut Wieczorek, Stephanie Grond, Paultheo von Zezschwitz. New Fluorous Photoaffinity Labels (F‐PAL) and Their Application in V‐ATPase Inhibition Studies (англ.) // European Journal of Organic Chemistry. — 2010. — April (vol. 2010, iss. 11). — P. 2176–2181. — ISSN 1434-193X. — doi:10.1002/ejoc.200901463. Архивировано 13 февраля 2023 года.
- ↑ Zhiquan Song, Qisheng Zhang. Fluorous Aryldiazirine Photoaffinity Labeling Reagents (англ.) // Organic Letters. — 2009. — 5 November (vol. 11, iss. 21). — P. 4882–4885. — ISSN 1523-7060. — doi:10.1021/ol901955y. — PMID 19807115. Архивировано 10 января 2020 года.
- 1 2 3 Nag S. Kumar, Robert N. Young. Design and synthesis of an all-in-one 3-(1,1-difluoroprop-2-ynyl)-3H-diazirin-3-yl functional group for photo-affinity labeling (англ.) // Bioorganic & Medicinal Chemistry. — 2009. — 1 August (vol. 17, iss. 15). — P. 5388–5395. — doi:10.1016/j.bmc.2009.06.048. — PMID 19604700. Архивировано 3 декабря 2024 года.
- ↑ Min Gu, Jianbin Yan, Zhiyan Bai, Yue-Ting Chen, Wei Lu, Jie Tang, Liusheng Duan, Daoxin Xie, Fa-Jun Nan. Design and synthesis of biotin-tagged photoaffinity probes of jasmonates (англ.) // Bioorganic & Medicinal Chemistry. — 2010. — May (vol. 18, iss. 9). — P. 3012–3019. — doi:10.1016/j.bmc.2010.03.059. Архивировано 3 декабря 2024 года.
- ↑ Luba Dubinsky, Lucja M. Jarosz, Neri Amara, Pnina Krief, Vladimir V. Kravchenko, Bastiaan P. Krom, Michael M. Meijler. Synthesis and validation of a probe to identify quorum sensing receptors (англ.) // Chemical Communications. — 2009. — 24 November (iss. 47). — P. 7378. — ISSN 1359-7345. — doi:10.1039/b917507e. — PMID 20024234.
- 1 2 3 4 5 6 7 8 9 10 11 12 13 14 15 16 17 18 19 20 21 22 23 24 25 26 27 28 29 30 31 Эрнст Шмитц. Трёхчленные циклы с двумя гетероатомами = Dreiringe mit Zwei Heteroatomen. — Москва: "Мир", 1970. — С. 171-245. — 257 с.
- ↑ Gerald Wagner, Wolfgang Knoll, Michael M. Bobek, Lothar Brecker, Hendrikus W. G. van Herwijnen, Udo H. Brinker. Structure−Reactivity Relationships: Reactions of a 5-Substituted Aziadamantane in a Resorcin[4arene-based Cavitand] (англ.) // Organic Letters. — 2010. — 15 January (vol. 12, iss. 2). — P. 332–335. — ISSN 1523-7060. — doi:10.1021/ol902667a. — PMID 20017550. Архивировано 13 февраля 2023 года.
- ↑ Mohammad Al‐Omari, Klaus Banert, Manfred Hagedorn. Bi‐3 H ‐diazirin‐3‐yls as Precursors of Highly Strained Cycloalkynes (англ.) // Angewandte Chemie International Edition. — 2006. — January (vol. 45, iss. 2). — P. 309–311. — ISSN 1433-7851. — doi:10.1002/anie.200503124. — PMID 16372311. Архивировано 13 февраля 2023 года.
- ↑ 3,3-PENTAMETHYLENEDIAZIRINE // Organic Syntheses. — 1965. — Т. 45. — С. 83. — doi:10.15227/orgsyn.045.0083. Архивировано 14 ноября 2024 года.
- ↑ M. D. Vedenyapina, V. V. Kuznetsov, E. A. Nizhnikovskii, E. D. Strel’tsova, N. N. Makhova, M. I. Struchkova, A. A. Vedenyapin. Electrochemical synthesis of pentamethylenediazirine (англ.) // Russian Chemical Bulletin. — 2006. — November (vol. 55, iss. 11). — P. 2013–2015. — ISSN 1066-5285. — doi:10.1007/s11172-006-0544-0.
- ↑ W. H. Graham. The Halogenation of Amidines. I. Synthesis of 3-Halo- and Other Negatively Substituted Diazirines 1 (англ.) // Journal of the American Chemical Society. — 1965-. — October (vol. 87, iss. 19). — P. 4396–4397. — ISSN 0002-7863. — doi:10.1021/ja00947a040. Архивировано 29 декабря 2024 года.
- ↑ Robert A. Moss. Diazirines: Carbene Precursors Par Excellence (англ.) // Accounts of Chemical Research. — 2006. — 9 February (vol. 39, iss. 4). — P. 267–272. — ISSN 0001-4842. — doi:10.1021/ar050155h. — PMID 16618094. Архивировано 16 августа 2023 года.
- ↑ Robert A. Moss. Diazirines: Carbene Precursors Par Excellence (англ.) // Accounts of Chemical Research. — 2006. — April (vol. 39, iss. 4). — P. 267–272. — ISSN 0001-4842. — doi:10.1021/ar050155h.
- 1 2 Курц А.Л., Грандберг К.И., Сагинова Л.Г. V. ЦИКЛИЧЕСКИЕ АЗОСОЕДИНЕНИЯ (ДИАЗИРИНЫ). Химический факультет МГУ (1998). Дата обращения: 3 декабря 2024. Архивировано 4 декабря 2024 года.
- ↑ Yunlong Zhang, Gotard Burdzinski, Jacek Kubicki, Matthew S. Platz. Direct Observation of Carbene and Diazo Formation from Aryldiazirines by Ultrafast Infrared Spectroscopy (англ.) // Journal of the American Chemical Society. — 2008. — 3 December (vol. 130, iss. 48). — P. 16134–16135. — ISSN 0002-7863. — doi:10.1021/ja805922b. — PMID 18998681. Архивировано 2 декабря 2024 года.
- ↑ Bastian Noller, Lionel Poisson, Raman Maksimenka, Oliver Gobert, Ingo Fischer, J. M. Mestdagh. Ultrafast Dynamics of Isolated Phenylcarbenes Followed by Femtosecond Time-Resolved Velocity Map Imaging (англ.) // The Journal of Physical Chemistry A. — 2009. — 2 April (vol. 113, iss. 13). — P. 3041–3050. — ISSN 1089-5639. — doi:10.1021/jp810974m. — . — PMID 19245233. Архивировано 3 декабря 2024 года.
- ↑ Bastian Noller, Patrick Hemberger, Ingo Fischer, Christian Alcaraz, Gustavo A. Garcia, Héloïse Soldi-Lose. The photoionisation of two phenylcarbenes and their diazirine precursors investigated using synchrotron radiation // Physical Chemistry Chemical Physics. — 2009. — Январь. — doi:10.1039/b823269e. — . — PMID 19551206. Архивировано 3 декабря 2024 года.
- ↑ Sergei M. Korneev. Valence Isomerization between Diazo Compounds and Diazirines (англ.) // European Journal of Organic Chemistry. — 2011. — 31 August (vol. 2011, iss. 31). — P. 6153–6175. — ISSN 1434-193X. — doi:10.1002/ejoc.201100224. Архивировано 2 декабря 2024 года.
- 1 2 J. Brunner, H. Senn, F.M. Richards. 3-Trifluoromethyl-3-phenyldiazirine. A new carbene generating group for photolabeling reagents. (англ.) // Journal of Biological Chemistry. — 1980. — 25 April (vol. 255, iss. 8). — P. 3313–3318. — doi:10.1016/S0021-9258(19)85701-0. — PMID 7364745. Архивировано 3 декабря 2024 года.
- ↑ Jin Wang, Jacek Kubicki, Huolei Peng, Matthew S. Platz. Influence of Solvent on Carbene Intersystem Crossing Rates (англ.) // Journal of the American Chemical Society. — 2008. — May (vol. 130, iss. 20). — P. 6604–6609. — ISSN 0002-7863. — doi:10.1021/ja711385t. — PMID 18433130.

