Карнитин-О-октаноилтрансфераза
| Карнитин-О-октаноилтрансфераза | |
|---|---|
| |
| Идентификаторы | |
| Шифр КФ | 2.3.1.137 |
| Номер CAS | 39369-19-2 |
| Базы ферментов | |
| IntEnz | IntEnz view |
| BRENDA | BRENDA entry |
| ExPASy | NiceZyme view |
| MetaCyc | metabolic pathway |
| KEGG | KEGG entry |
| PRIAM | profile |
| PDB structures | RCSB PDB PDBe PDBj PDBsum |
| Gene Ontology | AmiGO • EGO |
| Поиск | |
| PMC | статьи |
| PubMed | статьи |
| NCBI | NCBI proteins |
| CAS | 39369-19-2 |
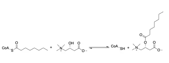
Карнитин-О-октаноилтрансфераза, также карнитин-октаноилтрансфераза (англ. Carnitine O-octanoyltransferase, сокр. CROT) — митохондриальный фермент (КФ 2.3.1.137), из семейства ацилтрансфераз (класс трансферазы), который катализирует реакцию переноса ацильной группы (-COR), в частности октаноила, жирных кислот со средней длиной цепи (С6-С8) на молекулу субстрата — карнитин, по уравнению:
Октаноил-КоА + карнитин октаноилкарнитин + КоА-SH.

Продуктами реакции являются октаноилкарнитин и кофермент А[1].
Эта реакция легко обратима с химической точки зрения и не требует затрат энергии, поскольку и ацил-КоА жирных кислот, и ацилкарнитины считаются химически "активированными" формами ацильных групп[2].
Ген, кодирующий у человека данный фермент CROT, локализован на 7-й хромосоме.
Структура

Карнитин-О-октаноилтрансфераза имеет длину полипетидной цепи 612 аминокислот[3] и молекулярную массу около 70 кДа[2]. С точки зрения общих структурных особенностей, CROT имеет 20 α-спиралей и 16 β-цепей, и может быть разделена на два общих домена, названных N и C[3].
По состоянию на конец 2007 года для этого класса ферментов было раскрыто 4 структуры с кодами доступа в 1XL7, 1XL8, 1XMC, и 1XMD.
CROT в комплексе с карнитином
Другое изображение кармана активного центра CROT в комплексе с карнитином.
Было установлено, что важным каталитическим остатком во всех карнитин-ацилтрансферазах, включая CROT, является остаток гистидина, что было подтверждено исследованиями сайт-направленного мутагенеза. В CROT этот остаток находится в положении 327. Данный остаток аминокислоты, как и остальная часть активного сайта, находится на границе между N и C доменами. Активный сайт стабилизирует карнитин благодаря сложной сети водородных связей между остатками и ключевой молекулой воды. Более длинная ацильная цепь стабилизируется гидрофобными остатками, расположенными приблизительно цилиндрически[3].
Как и следовало ожидать от членов одного ферментативного семейства, существует сильное сходство между структурами карнитинацетилтрансферазы (CRAT) и CROT, поскольку эти ферменты имеют 36 % гомологии последовательности[3]. Ключевое различие между этими ферментами, которое может объяснить их селективность между коротко- и среднецепочечными ацил-КоА, связано с остатком глицина, который присутствует в сайте связывания ацила в CROT, Gly-553. В CRAT, однако, остаток в той же позиции в сайте связывания ацила — это остаток метионина, Met-564[3] Было показано, что эти остатки служат "привратником" субстрата как в CRAT, так и в CROT. Было показано, что мутанты CRAT M564G воспринимают и катализируют более широкий спектр субстратов ацил-КоА[4]. Аналогично, мутанты CROT G553M проявляют заметную неактивность в отношении октаноил-КоА, сохраняя активность в отношении короткоцепочечных ацил-КоА[3].
Субстраты
Хотя каноническим субстратом CROT является октаноил-КоА, известно, что CROT также может катализировать деацилирование многочисленных ацил-КоА, таких как ацетил-КоА, пропионил-КоА, бутирил-КоА и гексаноил-КоА[5]. CROT также может распознавать в качестве субстратов жирные ацил-КоА с разветвлённой цепью, такие как 4,8-диметилнонаноил-КоА, который образуется в результате метаболизма пристановой кислоты в пероксисоме[6].
Выполняемые функции
Одна из функций CROT — снабжение ацетил-КоА клеток, испытывающих дефицит глюкозы. В отсутствие карнитинацетилтрансферазы (CRAT) ацилтрансферазы, такие как CROT, могут катализировать перенос ацетильной группы с ацетилкарнитина на коэнзим А. Эксперименты по спасению клеток с нокаутом гена CROT показали, что пероксисомальная CROT может опосредовать производство ацетил-КоА в условиях нехватки глюкозы. Затем пероксисома может экспортировать эти продукты в цитозоль[5].
Локализация
Хотя CROT распределяется по обеим сторонам микросомальных везикул, было обнаружено, что основная часть активности CROT в мышиной печени находится в цитоплазме везикул и эндоплазматическом ретикулуме. CROT может играть роль в преобразовании пероксисомальных производных среднецепочечных ацилкарнитинов в производные среднецепочечных ацил-КоА. Затем они могут поступать в различные биосинтетические пути для удлинения и других модификаций[7].
Кроме того, CROT ингибируется трипсином дозозависимым образом. Максимальное ингибирование очищенного CROT составило 60 %, что аналогично тому, что наблюдалось в отношении карнитин-пальмитоилтрансферазы (CPT). Активность CROT также ингибируется в одинаковой степени как в проницаемых, так и в герметичных микросомальных мембранах[7].
Считается, что CROT локализуется в пероксисомах. Было обнаружено, что введение ди(2-этилгексил)фталата (DEHP), пероксисомного пролифератора, крысам Wistar (лабораторные крысы) привело к увеличению экспрессии CROT в 14,1 раза. Это произошло в результате увеличения трансляции мРНК CROT, а также снижения ее деградации в 1,5 раза[8].
Активность CROT также была зарегистрирована в тканях печени, почек, адипоцитов, молочной железы, скелетных мышц и сердца мыши. Было обнаружено, что активность CROT в почке была в основном открытой, а в печени и сердце — латентной. Интересно, что для родственного фермента, карнитин-пальмитоилтрансферазы (CPT), была обнаружена противоположная тенденция[9].
Регуляция
Поскольку активность CROT играет роль в бета-окислении жирных кислот и синтезе кетоновых тел, она является важной точкой регуляции. Одним из известных ингибиторов CROT является малонил-КоА, который ингибирует CROT нелинейно. При инкубации малонил-КоА с очищенным CROT наблюдается сложное кинетическое поведение.
Снижение pH также может усилить ингибирование CROT молекулами малонил-КоА. Некоторые исследования показали, что при снижении рН условий анализа с 7,4 до 6,8 ингибирование может увеличиться на 20-30 %. Кроме того, при таком снижении Ki (константа ингибирования) для малонил-КоА в CROT уменьшается со 106 мкМ до 35 мкМ. Это изменение не наблюдается для пальмитоил-КоА и деканоил-КоА. Однако степень ингибирования малонил-КоА аналогична той, которая наблюдается при использовании других короткоцепочечных эфиров ацил-КоА, таких как глутарил-КоА, гидроксиметилглутарил-КоА и метилмалонил-КоА.
Состояние ионизации малонил-КоА существенно не изменяется в диапазоне рН 7,4-6,8. Изменение чувствительности к ингибиторам может быть связано с остатком His-327 активного сайта CROT. Малонил-КоА также обнаруживается в клетке в более низкой концентрации (1-6 мкМ), чем его Ki. Таким образом, его ингибирование CROT может не быть физиологически значимым в гомеостатических условиях[10].
Примечания
- ↑ Farrell, S. O.; Fiol, C. J.; Reddy, J. K.; Bieber, L. L. (10 ноября 1984). Properties of purified carnitine acyltransferases of mouse liver peroxisomes. The Journal of Biological Chemistry. 259 (21): 13089–13095. doi:10.1016/S0021-9258(18)90661-7. ISSN 0021-9258. PMID 6436243.
- 1 2 Jogl, Gerwald; Hsiao, Yu-Shan; Tong, Liang (November 2004). Structure and function of carnitine acyltransferases. Annals of the New York Academy of Sciences. 1033 (1): 17–29. Bibcode:2004NYASA1033...17J. doi:10.1196/annals.1320.002. ISSN 0077-8923. PMID 15591000. S2CID 24466239. Архивировано 29 января 2024. Дата обращения: 18 декабря 2023.
- 1 2 3 4 5 6 Jogl, Gerwald; Hsiao, Yu-Shan; Tong, Liang (7 января 2005). Crystal structure of mouse carnitine octanoyltransferase and molecular determinants of substrate selectivity. The Journal of Biological Chemistry. 280 (1): 738–744. doi:10.1074/jbc.M409894200. ISSN 0021-9258. PMID 15492013.
- ↑ Hsiao, Yu-Shan; Jogl, Gerwald; Tong, Liang (23 июля 2004). Structural and biochemical studies of the substrate selectivity of carnitine acetyltransferase. The Journal of Biological Chemistry. 279 (30): 31584–31589. doi:10.1074/jbc.M403484200. ISSN 0021-9258. PMID 15155726.
- 1 2 Hsu, Jake; Fatuzzo, Nina; Weng, Nielson; Michno, Wojciech; Dong, Wentao; Kienle, Maryline; Dai, Yuqin; Pasca, Anca; Abu-Remaileh, Monther; Rasgon, Natalie; Bigio, Benedetta; Nasca, Carla; Khosla, Chaitan (February 2023). Carnitine octanoyltransferase is important for the assimilation of exogenous acetyl-L-carnitine into acetyl-CoA in mammalian cells. The Journal of Biological Chemistry. 299 (2): 102848. doi:10.1016/j.jbc.2022.102848. ISSN 1083-351X. PMC 9898754. PMID 36587768.
- ↑ Ferdinandusse, S.; Mulders, J.; IJlst, L.; Denis, S.; Dacremont, G.; Waterham, H. R.; Wanders, R. J. (16 сентября 1999). Molecular cloning and expression of human carnitine octanoyltransferase: evidence for its role in the peroxisomal beta-oxidation of branched-chain fatty acids. Biochemical and Biophysical Research Communications. 263 (1): 213–218. doi:10.1006/bbrc.1999.1340. ISSN 0006-291X. PMID 10486279. Архивировано 26 февраля 2024. Дата обращения: 18 декабря 2023.
- 1 2 Valkner, K. J.; Bieber, L. L. (14 июля 1982). The sidedness of carnitine acetyltransferase and carnitine octanoyltransferase of rat liver endoplasmic reticulum. Biochimica et Biophysica Acta (BBA) - Biomembranes. 689 (1): 73–79. doi:10.1016/0005-2736(82)90190-0. ISSN 0006-3002. PMID 7104352. Архивировано 1 марта 2023. Дата обращения: 18 декабря 2023.
- ↑ Ozasa, H.; Miyazawa, S.; Osumi, T. (August 1983). Biosynthesis of carnitine octanoyltransferase and carnitine palmitoyltransferase. Journal of Biochemistry. 94 (2): 543–549. doi:10.1093/oxfordjournals.jbchem.a134385. ISSN 0021-924X. PMID 6630174. Архивировано 14 ноября 2023. Дата обращения: 18 декабря 2023.
- ↑ Saggerson, E. D.; Carpenter, C. A. (6 июля 1981). Carnitine palmitoyltransferase and carnitine octanoyltransferase activities in liver, kidney cortex, adipocyte, lactating mammary gland, skeletal muscle and heart. FEBS Letters. 129 (2): 229–232. doi:10.1016/0014-5793(81)80171-8. ISSN 0014-5793. PMID 7286216. S2CID 2011527. Архивировано 15 июля 2023. Дата обращения: 18 декабря 2023.
- ↑ A'Bháird, N. N.; Ramsay, R. R. (1 сентября 1992). Malonyl-CoA inhibition of peroxisomal carnitine octanoyltransferase. The Biochemical Journal. 286 ( Pt 2) (Pt 2): 637–640. doi:10.1042/bj2860637. ISSN 0264-6021. PMC 1132947. PMID 1530596.
