Реакция Майяра
Реа́кция Майя́ра (реакция сахароаминной конденсации[1]) — химическая реакция между аминокислотами и сахарами, которая происходит при нагревании. Примером такой реакции является жарка мяса или выпечка хлеба, в ходе которых в процессе нагревания пищевого продукта возникает типичный запах, цвет и вкус приготовленной пищи. Эти изменения вызваны образованием продуктов реакции Майяра. Названа в честь французского химика и врача Луи Камиля Майяра, который одним из первых исследовал реакцию в 1910-х годах.
Химия

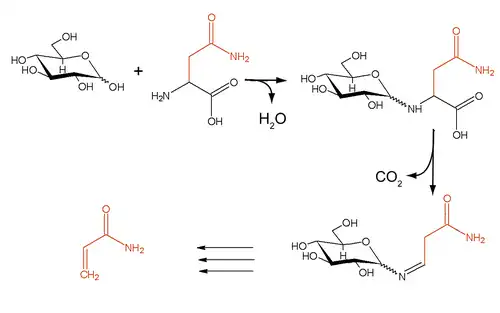
Реакция включает несколько этапов:
- Реактивная карбонильная группа сахара (в его открытой конформации) взаимодействует с нуклеофильной группой аминокислоты с образованием нестабильного N-замещённого гликозиламина и воды.
- Гликозиламин самопроизвольно подвергается перегруппировке Амадори и превращается в кетозамин.
- Кетозамины в ходе последующих реакций могут превратиться в:
- редуктоны,
- короткоцепочечные гидролитические продукты (диацетил, аспирин, пирувальдегид и др.) или
- бурые нитрогенные полимеры и меланоидины.
Различные сахара обладают различной реактивностью. Реактивность сахаров следует в таком порядке: пентоза > гексоза > дисахарид. Так, например, фруктоза в 100—200 раз более активна, чем глюкоза. Реакция Майяра приводит к образованию многочисленных продуктов поро́й с довольно сложной и часто ещё неизвестной структурой.
Промышленность
Пищевая промышленность производит многие продукты реакции Майяра, которые используются для придания желаемого вкуса и запаха пищевым продуктам. В пищевой химии известна как сахароаминная реакция[1]. Так, реакция Майяра является необходимым компонентом в технологии изготовления вина мадера, когда виноматериал выдерживается при достаточно высокой температуре (порядка 30—45 °C) в течение значительного времени.
Медицина
Реакция Майяра происходит не только при приготовлении пищи. Эта реакция между аминокислотами и сахарами (т. н. гликирование) происходит и в живом организме[2]. В нормальных условиях скорость реакции настолько мала, что её продукты успевают удаляться. Однако при резком повышении сахара в крови при диабете реакция значительно ускоряется, продукты накапливаются и способны вызвать многочисленные нарушения (например, гиперлипидемии). Особенно это выражено в крови, где резко повышается уровень повреждённых белков (например, концентрация гликированного гемоглобина является показателем степени компенсированности диабета). Накопление изменённых белков в хрусталике вызывает тяжёлое нарушение зрения у больных диабетом. Однако имеются данные[3] о том, что «негативный эффект гликолизирования определяется не собственно присоединением глюкозы к долгоживущим белкам, а обусловленным свободными радикалами их окислительным повреждением».
Накопление некоторых поздних продуктов реакции Майяра, так же как и продуктов окисления, которое происходит с возрастом, приводит к возрастным изменениям в тканях[4]. Пока не найдено лекарств, способных ингибировать реакцию Майяра в организме, хотя некоторые агенты (аминогуанидин) существенно снижают реакцию in vitro. Наиболее распространённым поздним продуктом реакции является карбоксиметиллизин, производное лизина. Карбоксиметиллизин в составе белков служит биомаркером общего оксидативного стресса организма. Он накапливается с возрастом в тканях, например в коллагене кожи, и повышен при диабете.
Продукты реакции

Примеры продуктов реакции:
- 6-ацетил-1,2,3,4-тетрагидропиридин — запах печёного хлеба, бисквита.
- 2-ацетил-1-пирролин — запах приготовленного риса.
История
Несмотря на то, что реакция названа именем Луи Камиля Майяра, механизм реакции был исследован и описан лишь в 1953 году американским химиком Джоном Эдвардом Ходжем в статье «Химия реакций с потемнением в модельных системах»[5]. В статье Ходж предложил схему реакции Майяра, которая стала известна как «схема Ходжа». Вклад Ходжа в исследование реакции Майяра был долгое время малоизвестен[6][7], однако в 1979 году статья Ходжа была признана[кем?] классической из-за большого количества ссылок на неё в других научных работах.
См. также
Примечания
- 1 2 Вездесущая реакция Майара Архивная копия от 30 мая 2015 на Wayback Machine // Химия и жизнь № 2, 2012
- ↑ Grandhee, SK; Monnier, V. M. Mechanism of formation of the Maillard protein cross-link pentosidine. Glucose, fructose, and ascorbate as pentosidine precursors (англ.) // J. Biol. Chem. : journal. — 1991. — 25 June (vol. 266, no. 18). — P. 11649—11653. — PMID 1904866. Архивировано 14 декабря 2008 года.
- ↑ Гликозилирование белков и ДНК и процессы старения. Дата обращения: 15 декабря 2018. Архивировано 15 декабря 2018 года.
- ↑ Advanced Glycation End Products (AGEs): A Complete Overview. healthline.com. Дата обращения: 14 декабря 2018. Архивировано 15 декабря 2018 года.
- ↑ J. E. Hodge. Dehydrated Foods, Chemistry of Browning Reactions in Model Systems // Journal of Agricultural and Food Chemistry. — 1953-10-01. — Т. 1, вып. 15. — С. 928—943. — ISSN 0021-8561. — doi:10.1021/jf60015a004.
- ↑ The Black male in white America. — Hauppauge, N.Y.: Nova Science Publishers, 2002. — P. ix, 227. — ISBN 9781590333709.
- ↑ Сергей Белков. Реакционные ароматизаторы. Дата обращения: 23 сентября 2017. Архивировано 19 сентября 2017 года.