Сукцинимид
| Сукцинимид | |
|---|---|
| |
| |
| Общие | |
| Систематическое наименование |
Сукцинимид |
| Хим. формула | C4H5NO2 |
| Физические свойства | |
| Состояние | Бесцветные кристаллы |
| Молярная масса | 99,09 г/моль |
| Плотность | 1,42 г/см³ |
| Поверхностное натяжение | (при 126°С) 44,31 Н/м |
| Термические свойства | |
| Температура | |
| • плавления | 125 °C |
| • кипения | 287-288 °C |
| Уд. теплоёмк. | 1328 Дж/(кг·К) |
| Классификация | |
| Рег. номер CAS | 123-56-8 |
| PubChem | 11439 |
| Рег. номер EINECS | 204-635-6 |
| SMILES | |
| InChI | |
| RTECS | WN2200000 |
| ChEBI | 9307 |
| ChemSpider | 10955 |
| Приведены данные для стандартных условий (25 °C, 100 кПа), если не указано иное. | |
Сукцинимид (2,5-пирролидиндион, имид янтарной кислоты) - бесцветные кристаллы орторомбической сингонии (a=0,75 нм, b=0,962 нм, c=1,275 нм, z=8), хорошо растворяется в воде и этаноле, плохо - в диэтиловом эфире, не растворяется в хлороформе.
Свойства
- Сукцинимид - слабая кислота, K = 2,38·10-10(25°C), с металлами образует соли и комплексные соединения.
- При восстановлении сукцинимида, в зависимости от условий реакции, образуются пирролидин, 2-пирролидон, пиррол или γ-аминомасляная кислота:

- Галогенирование сукцинимида приводит к N-галогенсукцинимидам, взаимодействие с бромом Br2 или гипобромитом натрия NaBrO в щелочной среде при нагревании - к β-аланину NH2(CH2)2COOH.
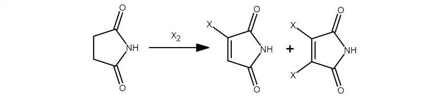
- При пропускании в расплав сукцинимида хлора или брома при 160°С образуются галогензамещенные имиды малеиновой кислоты, взаимодействие сукцинимида с пентахлоридом фосфора PCl5 дает 2,2,3,4,5-пентахлор-2Н-пиррол:

- Обработка сукцинимида аммиаком NH3 или метанолом CH3OH приводит к размыканию цикла с образованием соответствующего диамида NH2CO(CH2)2CONH2 или метилового эфира моноамида янтарной кислоты CH3OOC(CH2)2CONH2. При действии на сукцинимид формальдегида образуется N-гидроксиметиленсукцинимид (в присутствии K2CO3) либо N,N'-метилендисукцинимид (при 160°С).
Получение
- Получают сукцинимид нагреванием янтарной кислоты или ее ангидрида в токе аммиака при 180-200°С.
- Сухой перегонкой диаммониевой соли или амида янтарной кислоты либо мочевины.
- Обработкой акрилонитрила водным раствором цианида натрия NaCN.
- Карбонилированием акриламида в присутствии кобальта Co.
Применение
- Применяют сукцинимид главным образом для получения N-хлор- и N-бромсукцинимидов, а также для синтеза гетероциклических соединений ряда пиррола. Некоторые производные сукцинимида, например, N-сукцинил-3,5-дихлоранилин, используют в качестве пестицидов.
Литература
- Химическая энциклопедия / Редкол.: Зефиров Н. С. и др. — М.: Большая Российская энциклопедия, 1995. — Т. 4. — С. 451—452.

