Ацетилсалициловая кислота
| Ацетилсалициловая кислота | |
|---|---|
| лат. Acidum acetylsalicylicum | |
| |
| |
| Химическое соединение | |
| ИЮПАК | 2-ацетилоксибензойная кислота |
| Брутто-формула | C9H8O4 |
| Молярная масса | 180,157 г/моль |
| CAS | 50-78-2 |
| PubChem | 2244 |
| DrugBank | DB00945 |
| Состав | |
| Классификация | |
| Фармакол. группа | Ненаркотические анальгетики, включая нестероидные и другие противовоспалительные средства. Антиагреганты |
| АТХ | A01AD05, B01AC06, N02BA01 |
| МКБ-10 | G43, I20.0, I25, I26, I63, M06.9, M54.3, M54.4, M79.0, R50, R51, R52.2 |
| Лекарственные формы | |
| таблетки, таблетки для детей, таблетки покрытые кишечнорастворимой оболочкой, таблетки покрытые оболочкой, таблетки шипучие | |
| Способы введения | |
| перорально | |
| Другие названия | |
| «Аспирин Кардио», «АСК-кардио», «Аскопирин», «Аспиватрин», «Аспикор», «Аспинат», «Аспирин», «Аспитрин», «Аспровит», «Ацекардол», «Ацсбирин», «КардиАСК», «Кардиопирин», «Кардиомагнил», «Некстрим Фаст», «Таспир», «Терапин», «Тромбо АСС», «Упсарин Упса», «Флуспирин», «Магникор» | |
Ацетилсалици́ловая кислота́ (разг. аспири́н[1]; лат. Acidum acetylsalicylicum) — лекарственное средство, оказывающее обезболивающее, жаропонижающее, противовоспалительное действие[2]. Также ацетилсалициловая кислота является блокатором циклооксигеназы тромбоцитов (не путать с антикоагулянтами)[3].
Механизм действия и профиль безопасности ацетилсалициловой кислоты хорошо изучены, её эффективность клинически апробирована, в связи с чем данный препарат входит в список важнейших лекарственных средств ВОЗ[4], а также в перечень «Жизненно необходимые и важнейшие лекарственные препараты» (ЖНВЛП) РФ.
Ацетилсалициловая кислота также широко известна под торговой маркой «Аспирин», запатентованной германской фирмой «Bayer»[5].
Не следует путать с парацетамолом и ацетилцистеином (АЦЦ).
Применение в лечебной практике
Аспирин используют для лечения ряда состояний, включая: лихорадку, боль (головная, зубная, в спине, в суставах), ревматическую лихорадку и воспалительные заболевания (ревматоидный артрит, перикардит, болезнь Кавасаки[6]). Было показано, что более низкие дозы аспирина снижают риск смерти от сердечного приступа или риск развития инсульта в некоторых случаях[7][8][9]. Есть некоторые доказательства того, что аспирин эффективен для профилактики колоректального рака, хотя механизмы этого эффекта неясны[10]. В США низкую дозу аспирина считают разумной для лиц в возрасте 50—70 лет, у которых риск сердечно-сосудистых заболеваний выше 10 % и нет повышенного риска кровотечения[11].
Лечение боли
Аспирин является эффективным обезболивающим средством при острой боли, но не имеет доказанных преимуществ перед парацетамолом. Аспирин обычно неэффективен для лечения болей, вызванных мышечными судорогами, вздутием живота, растяжением желудка или острым раздражением кожи[12]. Как и в случае с другими НПВС, комбинация аспирина с кофеином даёт немного большее уменьшение боли, чем употребление чистого аспирина[13][14]. Разновидности аспирина в шипучих таблетках уменьшают боль быстрее, чем аспирин в обычных таблетках[15], что делает шипучие формы аспирина полезными для лечения мигрени[16]. На сегодняшний момент аспирин может быть эффективным для лечения некоторых видов нейропатической боли[17]. Аспирин может быть назначен женщинам, испытывающим боли в промежности после родов. У большего числа женщин было адекватное облегчение боли через 4—8 часов после приёма аспирина, по сравнению с женщинами, получавшими плацебо. Одна доза аспирина может облегчить боль в промежности после эпизиотомии у женщин, не кормящих грудью, на период 4—8 часов после приёма[18][19].
Лечение головной боли
Препарат, содержащий только аспирин, или его комбинация с другими лекарствами оказывает эффективное воздействие на определённые типы головной боли, но его эффективность может быть сомнительной для других разновидностей головных болей. Пациенты, имеющие вторичные головные боли, вызванные другими расстройством или травмой, должны незамедлительно обратиться к врачу.
Среди основных головных болей в международной классификации расстройств головной боли различают головную боль напряжения (наиболее распространённую), мигрень и кластерную головную боль. Аспирин или альтернативные анальгетики признаны широко эффективными лекарственными средствами для лечения головной боли напряжения[20]. Ни в одном из исследований не сообщили об отсутствии острой эпизодической головной боли напряжения у участников через 2 часа после приёма лекарства. И только в одном исследовании сообщили об исходе, который был оценён как эквивалент отсутствия боли или о наличии только небольшой боли через 2 часа[21][22].
Аспирин, особенно в качестве компонента комбинации аспирин-парацетамол-кофеин, считают терапией первой линии при лечении мигрени и сопоставим с низкими дозами суматриптана. Это средство наиболее эффективно для остановки мигрени, когда она начинается[23].
Лечение лихорадки
Как и способность блокировать боль, способность аспирина лечить лихорадку обусловлена его действием на систему простагландинов посредством его необратимого ингибирования ЦОГ[24]. Хотя применение аспирина в качестве жаропонижающего средства у взрослых хорошо изучено, многие медицинские общества и регулирующие органы (в том числе Американская академия семейных врачей, Американская академия педиатрии и Управление по контролю за продуктами и лекарствами США (FDA)) категорически не советуют использовать аспирин для лечения лихорадки у детей из-за риска синдрома Рея, редкой, но часто смертельной болезни, связанной с использованием аспирина или других салицилатов у детей во время эпизодов вирусной или бактериальной инфекции[25][26][27]. Из-за риска синдрома Рея у детей FDA в 1986 году потребовало наличия на всех аспиринсодержащих лекарствах маркировки, предупреждающей о его применении у детей и подростков[28].
Лечение заболеваний, связанных с воспалением
Аспирин используют как противовоспалительное средство как для острого, так и для длительного воспаления[28], а также при лечении воспалительных заболеваний, таких как ревматоидный артрит[6].
Лечение сердечных приступов и инсультов
Поскольку ацетилсалициловая кислота является блокатором циклооксигеназы-1, она ингибирует агрегацию тромбоцитов и её применяют при лечении ишемической болезни сердца[3].
Ацетилсалициловая кислота является важной частью лечения тех пациентов, у кого был инфаркт миокарда[29]. В одном из исследований было установлено, что среди тех, у кого, вероятно, есть повышение уровня ST-сегмента, аспирин спасает жизнь 1 из 42, уменьшая 30-дневную смертность с 11,8 % до 9,4 %[30]. Не было различий в основных кровотечениях, но было небольшое увеличение незначительного кровотечения, составляющее примерно 1 из каждых 167 человек, получавших аспирин[30]. Аспирин может быть безопасной альтернативой у пациентов с неревматической фибрилляцией предсердий и инсультом или транзиторной ишемической атакой в анамнезе[31][32]. Аспирин в дозе от 160 мг до 300 мг при начале применения в течение 48 часов после появления симптомов инсульта привёл к сохранению (спасению) жизни и уменьшению риска развития повторного инсульта в течение первых двух недель. Если лечение было начато спустя 48 часов после развития заболевания, но в течение 14 дней, ограниченные данные этого обзора и данные из других источников позволяют предположить, что аспирин приносит пользу даже на такой поздней стадии. Аспирин повышает шансы выжить, а также шансы на полное восстановление после инсульта[33][34]. Анализы показывают, что антитромбоцитарные средства у пациентов с перемежающейся хромотой уменьшали риск смерти от всех причин, а также от сердечного приступа и инсульта вместе взятых, по сравнению с плацебо. При сравнении аспирина с другими антитромбоцитарными средствами были некоторые доказательства того, что альтернативный антитромбоцитарный препарат оказывает более полезное воздействие в отношении снижения смертности от всех причин или развития сердечно-сосудистых событий, таких как сердечный приступ или инсульт[35][36].
Повышение рисков, связанных с лечением
Для людей, у которых уже был сердечный приступ или инсульт, приём аспирина ежедневно в течение 2 лет предотвращал 1 из 50 случаев сердечно-сосудистой проблемы (сердечный приступ, инсульт или смерть), но также вызывал проблемы с нефатальным кровотечением в 1 из 400 случаев[37][38][39].
Понижение рисков, связанных с лечением
У тех, у кого нет истории болезни сердца, аспирин снижает риск нефатального инфаркта миокарда, но не меняет общего риска смерти[40]. Одно исследование показало, что среди тех, у кого никогда не было сердечного приступа или инсульта, приём аспирина ежедневно в течение 1 года предотвращает 1 из 1667 случаев сердечного приступа или инсульта без смертельного исхода, но вызвал 1 из 3333 случаев нефатального кровотечения. Однако у исследуемой популяции был относительно высокий риск в отличие от тех, у кого никогда не было сердечного приступа или инсульта[41].
Аспирин, по-видимому, мало выгоден для пациентов с более низким риском сердечного приступа или инсульта, например, без истории этих событий или с ранее существовавшим заболеванием. Некоторые исследования рекомендуют аспирин в каждом конкретном случае[42][43], в то время как другие предположили, что риски других событий, таких как желудочно-кишечные кровотечения, были достаточными для того, чтобы перевесить любые потенциальные выгоды и рекомендовали полностью отказаться от использования аспирина для первичной профилактики[44]. Аспирин также был предложен в качестве компонента полипилла для профилактики сердечно-сосудистых заболеваний[45][46].
Усложнение использования аспирина для профилактики — это явление устойчивости к аспирину[47][48]. Для людей, которые устойчивы к аспирину, эффективность аспирина снижается[49]. Некоторые авторы предложили схемы тестирования для выявления людей, которые устойчивы к аспирину[50].
Послеоперационная реанимация
После чрескожных коронарных вмешательств (ЧКВ), таких как размещение стента коронарной артерии, агентство США по исследованиям в области здравоохранения и качества рекомендует, чтобы аспирин принимали неограниченно долго[51]. Часто аспирин комбинируют с ингибитором рецептора ADP (клопидогрель, прасугрел, тикагрелор), чтобы предотвратить образование тромбов. Это называют «двойной антитромбоцитарной терапией» (DAPT). Руководящие принципы США и ЕС несколько не согласуются в том, как долго и по каким показаниям эта комбинированная терапия должна быть продолжена после операции. Руководящие принципы США рекомендуют применять DAPT не менее 12 месяцев, в то время как рекомендации ЕС рекомендуют DAPT в течение 6—12 месяцев после размещения стента с лекарственным покрытием[52]. Тем не менее они согласны с тем, что приём аспирина будет продолжаться пожизненно после завершения DAPT.
Профилактика онкологических заболеваний
Считается, что аспирин снижает общий риск возникновения рака и смерти от рака[53]. Этот эффект особенно полезен для колоректального рака (CRC)[10][54][55][56], но его необходимо принимать в течение по меньшей мере 10—20 лет, чтобы увидеть это преимущество[57]. Это может также слегка снизить риск рака эндометрия[58], рака молочной железы и рака предстательной железы[59].
Некоторые исследователи заключают, что выгоды выше, чем риски, связанные с кровотечением у лиц со средним риском[53]. Другие исследователи считают, что неясно, выше ли преимущества, чем риск[60][61]. Учитывая эту неопределённость, рекомендации целевой группы по профилактическим услугам США 2007 года по этой теме направлены против использования аспирина для профилактики CRC у людей со средним риском[62]. 9 лет спустя, однако, USPSTF опубликовал рекомендацию класса B для использования аспирина с низкой дозой (от 75 до 100 мг/день) для первичной профилактики сердечно-сосудистых заболеваний и CRC у взрослых 50—59 лет, у которых 10%-й или более высокий 10-летний риск сердечно-сосудистых заболеваний — не подвержены повышенному риску кровотечения, имеют ожидаемую продолжительность жизни не менее 10 лет и готовы ежедневно принимать аспирин с низкой дозой в течение как минимум 10 лет[63].
Другие виды применения аспирина
Аспирин — это лечение первой линии для лихорадки и симптомов суставной боли при остром ревматизме. Терапия часто длится 1—2 недели и редко показана на более длительные периоды. После того, как лихорадка и боль уменьшились, аспирин больше не нужен, поскольку он не уменьшает частоту сердечных осложнений и остаточной ревматической болезни сердца[64][65]. Показано, что Напроксен эффективен, как аспирин и менее токсичен, но из-за ограниченного клинического опыта напроксен рекомендуют только в качестве лечения второй линии[64][66].
Наряду с ревматической лихорадкой болезнь Кавасаки остаётся одним из немногих признаков употребления аспирина у детей[67], несмотря на отсутствие качественных доказательств его эффективности[68][69].
Низкая доза аспирина имеет умеренные преимущества при использовании для профилактики преэклампсии[70][71][72]. Это преимущество выше при начале беременности[73]. Аспирин широко применяют в целях повышения шансов рождения живого ребёнка у женщин, подвергающихся ВРТ. Однако существуют противоречивые доказательства эффективности такого лечения, подходящего времени для начала лечения и его продолжительности. Хотя физиологически аспирин приносит пользу в отношении некоторых аспектов, необходимых для успешной беременности, применение аспирина также связывали с выкидышем и вагинальным кровотечением. В настоящее время нет доказательств в поддержку использования аспирина для улучшения показателей беременности в общей популяции ЭКО. Качество доказательств в отношении рождения живого ребёнка было умеренным, а в отношении других исходов — от очень низкого до умеренного[74][75].
По результатам исследования, проведённого учёными из Массачусетса, приём 2 и более таблеток аспирина в неделю снижает риск возникновения гепатоцеллюлярной карциномы. В ходе более, чем 3-летнего исследования было выявлено, что риск заболевания снизился на 59 % у пациентов, регулярно принимавших аспирин в течение 5 и более лет[76].
Было выявлено 2 рандомизированных контролируемых клинических испытания, которые сравнивали использования перорального аспирина (300 мг в день) в сочетании с компрессионной терапией с терапией плацебо при венозной язве ног. Было расценено, что эти 2 исследования были слишком малы и низкого качества, чтобы делать какие-либо определённые выводы о пользе и вреде перорального аспирина в отношении заживления и рецидивов венозных язв на ногах[77][78].
Имеются данные о благотворных эффектах аспирина на инфекции микобактериями. Известно, что аспирин действует против Mycobacterium tuberculosis через аспирин-индуцированные липоксины, которые оказывают противовоспалительное воздействие, снижая бремя гранулём и вероятность смерти[79]. Аспирин также может уменьшать рост M. tuberculosis путём ингибирования фактора некроза опухоли α с помощью стабилизации NF-κB. Систематический обзор роли аспирина в туберкулёзном менингите подтвердил, что он снижает риск нового церебрального инсульта[80].
Устойчивость к аспирину
Для некоторых людей аспирин не оказывает столь сильного влияния на тромбоциты, как у других, эффект, известный как резистентность к аспирину или нечувствительность. Одно исследование показало, что женщины с большей вероятностью могут быть устойчивыми к нему, чем мужчины[81], а другое совокупное исследование, состоящее из 2930 человек, показало, что 28 % были резистентными[82]. Исследование, проведённое среди 100 итальянцев, показало, что у кажущихся 31 % аспирин-резистентных субъектов только 5 % были действительно устойчивыми, а остальные были несовместимы[83]. В другом исследовании, посвящённом 400 здоровым добровольцам, не было обнаружено ни одного испытуемого, который был действительно устойчив, но некоторые имели «псевдосопротивление, отражающее задержку и снижение абсорбции лекарственного средства»[84].
Дозировка
В виде таблеток назначают ацетилсалициловую кислоту внутрь после еды. Обычные дозы для взрослых как болеутоляющего и жаропонижающего средства (при лихорадочных заболеваниях, головной боли, мигрени, невралгиях) — 0,25—0,5—1 г 3—4 раза в день; для детей, в зависимости от возраста, — от 0,1 до 0,3 г на приём.
При ревматизме, инфекционно-аллергическом миокардите, ревматоидном полиартрите назначают длительно взрослым по 2—3 г (реже — 4 г) в сутки, детям — по 0,2 г на год жизни в сутки. Разовая доза для детей в возрасте 1 года составляет 0,05 г; 2 лет — 0,1 г; 3 лет — 0,15 г; 4 лет — 0,2 г. Начиная с 5-летнего возраста можно назначать в таблетках по 0,25 г на приём. У детей до 12 лет приём ацетилсалициловой кислоты в качестве жаропонижающего средства сопряжён с риском возникновения синдрома Рея.
Побочные эффекты

Противопоказания
Аспирин не должны принимать люди, которые страдают аллергией на ибупрофен или напроксен[85] или которые имеют непереносимость салицилата[86][87] или более выраженную непереносимость лекарственных средств к НПВС, и следует проявлять осторожность у пациентов с бронхиальной астмой, вызванной астмой или НПВС. Из-за его воздействия на слизистую оболочку желудка производители рекомендуют людям с пептическими язвами, лёгким диабетом и гастритом обратиться за медицинской помощью перед использованием аспирина[85][88]. Даже если ни одного из этих состояний не присутствует, риск желудочного кровотечения увеличивается, когда аспирин принимают с алкоголем или варфарином[85][89]. Люди с гемофилией и другими болезнями, вызывающими склонность к кровотечениям, не должны принимать аспирин и другие салицилаты[85][88]. Известно, что аспирин вызывает гемолитическую анемию у людей с дефицитом глюкозо-6-фосфатдегидрогеназы, особенно в больших дозах[90]. Использование аспирина во время лихорадки денге не рекомендуют из-за увеличения тенденции к кровотечению[91]. Люди с заболеваниями почек, гиперурикемией и подагрой не должны принимать аспирин, потому что это препятствует способности почек выделять мочевую кислоту, что может усугубить эти состояния. Аспирин не следует давать детям и подросткам для контроля симптомов простуды и гриппа, поскольку это связано с синдромом Рея[92].
Проблемы с ЖКТ
Было показано, что использование аспирина увеличивает риск желудочно-кишечного кровотечения[93][94]. Хотя некоторые композиции с аспирином с кишечнорастворимым покрытием рекламируют как «нежные для желудка», в одном исследовании энтеросолюбильное покрытие, похоже, не уменьшало этот риск[93]. Было также показано, что сочетание аспирина с другими НПВС также увеличивает риск[93]. Использование аспирина в сочетании с клопидогрелем или варфарином также увеличивает риск кровотечений в верхних отделах желудочно-кишечного тракта[95].
Блокада ЦОГ-1 аспирином, по-видимому, приводит к усилению ЦОГ-2 как части защиты от желудочного сока[96] и приём ингибиторов ЦОГ-2 одновременно с аспирином увеличивает эрозию слизистой желудка[97]. Поэтому следует проявлять осторожность при объединении аспирина с любыми «натуральными» добавками с ингибирующими ЦОГ-2 свойствами, такими как экстракты чеснока, куркумин, черника, сосновая кора, гинкго, рыбий жир, ресвератрол, генистеин, кверцетин, резорцин.
В дополнение к кишечнорастворимому покрытию «буферизация» — это другой основной метод, который компании использовали, чтобы попытаться смягчить проблему желудочно-кишечного кровотечения. Буферизирующие агенты предназначены для работы, предотвращая концентрацию аспирина в стенках желудка, хотя преимущества буферизованного аспирина оспаривают. Можно использовать практически любой буферный агент, используемый в антацидах, например, буферин использует оксид магния. Другие препараты используют карбонат кальция[98].
Принятие аспирина с витамином С было исследовано как способ защиты стенки желудка. Взятие равных доз витамина С и аспирина может уменьшить количество повреждений желудка, которое происходит по сравнению с употреблением только аспирина[99][100].
Влияние на нервную систему
Большие дозы салицилата, метаболита аспирина, вызывают временный шум в ушах (звон в ушах), судя по экспериментам на крысах, посредством действия на каскад арахидоновой кислоты и NMDA-рецепторы[101].
Ототоксичен (может ухудшать слух)[102][103].
Синдром Рея
Синдром Рея — редкая, но тяжёлая болезнь, характеризующаяся острой энцефалопатией и отложениями жира в печени, может возникать, когда детям или подросткам дают аспирин от лихорадки или другой болезни или инфекции. С 1981 по 1997 год 1207 случаев синдрома Рея у людей моложе 18 лет были зарегистрированы в Центрах по контролю и профилактике заболеваний США. Из них 93 % сообщили, что болели за 3 недели, предшествующие началу синдрома Рея, чаще всего с респираторной инфекцией, ветряной оспой или диареей. Салицилаты были обнаружены у 81,9 % детей, о которых сообщали результаты испытаний[104]. После сообщения об ассоциации между синдромом Рея и аспирином и были приняты меры безопасности для предотвращения этого (включая предупреждение генерального хирурга и изменения в маркировке аспиринсодержащих лекарств), аспирин, принимаемый детьми, значительно сократился в США, поскольку количество зарегистрированных случаев синдрома Рея, аналогичное снижение было обнаружено в Соединённом Королевстве после того, как были выпущены предупреждения против использования педиатрического аспирина[104]. Управление по санитарному надзору за качеством пищевых продуктов и медикаментов в настоящее время не рекомендует назначать аспирин (или содержащие аспирин продукты) никому в возрасте до 12 лет, у кого есть лихорадка[92], а национальная служба здравоохранения Великобритании рекомендует детям, не достигшим 16-летнего возраста, не принимать аспирин, если только он не по рекомендации врача[105].
Проблемы с кожей
Для небольшого числа людей приём аспирина может привести к симптомам, похожим на аллергическую реакцию, включая крапивницу, отёк и головную боль. Реакция вызвана непереносимостью салицилата и не является истинной аллергией, а скорее — неспособностью метаболизировать даже небольшие количества аспирина, что приводит к передозировке.
Аспирин и другие НПВС, такие как ибупрофен, могут задерживать заживление кожных ран[106]. Аспирин, однако, может помочь излечить венозные язвы ног, которые не зажили после обычного лечения[107].
Другие побочные эффекты
Аспирин может вызвать отёк тканей кожи у некоторых людей. В одном исследовании ангиодистрофия появилась через 1—6 часов после приёма аспирина у некоторых людей. Однако, когда аспирин принимали в одиночку, он не вызывал ангиодистрофию у этих людей; аспирин был взят в сочетании с другим препаратом, индуцированным НПВС, когда появилась ангиодистрофия[108].
Аспирин вызывает повышенный риск развития микрокровоизлияний головного мозга, имеющих при МРТ-сканировании вид гипоинтенсивных пятен размером от 5 до 10 мм или меньше ("серых зон")[109][110]. Такие мозговые микрокровоизлияния — важны, поскольку они часто встречаются до ишемического инсульта или внутримозгового кровоизлияния, болезни Бинсвангера и болезни Альцгеймера.
Изучение группы со средней дозой аспирина 270 мг в день оценивало среднее абсолютное увеличение риска внутримозгового кровоизлияния 12 событий на 10 000 человек[111]. Для сравнения, предполагаемое абсолютное снижение риска инфаркта миокарда составило 137 случаев на 10 000 человек и сокращение 39 событий на 10 000 человек при ишемическом инсульте[111]. В случаях, когда ICH уже произошёл, использование аспирина приводит к более высокой смертности с дозой около 250 мг в день, что приводит к относительному риску смерти в течение 3 месяцев после ICH около 2,5 (95 % доверительный интервал 1,3—4,6)[112].
Аспирин и другие НПВС могут вызывать аномально высокие уровни содержания калия в крови, индуцируя гипопонинемическое гипоальдостеронное состояние посредством ингибирования синтеза простагландинов; однако эти агенты обычно не вызывают гиперкалиемию сами по себе при установлении нормальной функции почек и эуволемического состояния[113].
Аспирин может вызвать длительное кровотечение после операций на срок до 10 дней. В одном из исследований 30 из 6499 человек, имеющих выборную хирургию, нуждались в повторных операциях для контроля кровотечения. 20 имели диффузное кровотечение, а у 10 — струйное кровотечение. Диффузное, но не дискретное кровотечение ассоциировали с предоперационным использованием аспирина отдельно или в сочетании с другими НПВС у 19 из 20 людей[114].
9 июля 2015 года FDA ужесточило предупреждения повышенного сердечного приступа и риска инсульта, связанные с НПВС. Аспирин является НПВС, но на него не влияют новые предупреждения[115].
Передозировка
Передозировка аспирина может быть острой или хронической. Острое отравление происходит, когда принимают одну большую дозу; при хроническом отравлении — более высокие, чем обычные дозы, принимают в течение определённого периода времени. Острая передозировка имеет смертность 2 %. Хроническая передозировка — чаще летальна, смертность составляет 25 %[116]; хроническая передозировка может быть особенно тяжёлой у детей[117]. Токсичность управляется с помощью ряда возможных методов лечения, включая активированный уголь, внутривенную декстрозу и нормальный физиологический раствор, бикарбонат натрия и диализ[118]. Диагноз отравления обычно включает измерение салицилата плазмы, активного метаболизма аспирина, путём автоматизированных спектрофотометрических методов. Уровни салицилата в плазме обычно варьируются от 30—100 мг/л после обычных терапевтических доз, 50—300 мг/л у людей, принимающих высокие дозы и 700—1400 мг/л после острой передозировки. Салицилат также образуется в результате воздействия субсалицилата висмута, метилсалицилата и салицилата натрия[119][120].
Взаимодействия с другими ЛС
Известно, что аспирин взаимодействует с другими лекарственными средствами. Например, известно, что ацетазоламид и хлорид аммония усиливают токсическое действие салицилатов, а алкоголь также увеличивает желудочно-кишечные кровотечения, связанные с этими типами лекарств[85]. Известно, что аспирин вытесняет ряд препаратов из связывающих белков крови, включая антидиабетические препараты толбутамид и хлорпропамид, варфарин, метотрексат, фенитоин, пробенецид, вальпроевую кислоту (а также препятствует бета-окислению, важной части метаболизма вальпроата) и других НПВС. Кортикостероиды также могут снизить концентрацию аспирина. Ибупрофен может уменьшить антитромбоцитарный эффект аспирина, используемый для кардиозащиты и профилактики инсульта[121]. Фармакологическую активность спиронолактона можно уменьшить, принимая аспирин, и, как известно, он конкурирует с пенициллином G для почечно-трубчатой секреции[122]. Аспирин может также ингибировать поглощение витамина С[123][124][125].
У детей и беременных женщин
В связи с имеющимися экспериментальными данными о тератогенном действии ацетилсалициловой кислоты не рекомендуют назначать её и содержащие её препараты женщинам в первые 3 месяца беременности.
Приём ненаркотических обезболивающих (аспирин, ибупрофен и парацетамол) во время беременности повышает риск нарушений развития половых органов у новорождённых мальчиков в виде проявления крипторхизма. Результаты исследования показали, что одновременное использование 2 из 3 перечисленных препаратов во время беременности повышает риск рождения ребёнка с крипторхизмом до 16 раз по сравнению с женщинами, не принимавшими этих лекарств[126].
В настоящее время существуют данные о возможной опасности применения ацетилсалициловой кислоты у детей с целью снижения температуры при гриппе, острых респираторных и других лихорадочных заболеваниях в связи с наблюдающимися случаями развития синдрома Рея (Рейе) (гепатогенная энцефалопатия). Патогенез развития синдрома Рея — неизвестен. Заболевание протекает с развитием острой печёночной недостаточности. Заболеваемость синдромом Рея среди детей до 18 лет в США составляет примерно 1:100 000, при этом летальность превышает 36 %[127].
Свойства вещества

Ацетилсалициловая кислота представляет собой салициловый эфир уксусной кислоты. Это белые мелкие игольчатые кристаллы или лёгкий кристаллический порошок слабокислого вкуса, малорастворимый в воде при комнатной температуре, растворимый в горячей воде, легко растворимый в спирте, растворах едких и углекислых щелочей.
Ацетилсалициловая кислота при гидролизе распадается на салициловую и уксусную кислоты. Гидролиз проводят при кипячении раствора ацетилсалициловой кислоты в воде в течение 30 минут. После охлаждения раствора салициловая кислота, плохо растворимая в воде, выпадает в осадок в виде пушистых игольчатых кристаллов.
Для обнаружения ничтожно малых количеств ацетилсалициловой кислоты используют реакцию АСЦ с реактивом Коберта в присутствии серной кислоты (2 части серной кислоты, 1 часть реактива Коберта), раствор окрашивается в розовый цвет (иногда требуется нагревание). Ацетилсалициловая кислота ведёт себя при этом полностью аналогично салициловой кислоте.
Ацетилсалициловая кислота при нагревании выше 200 °С становится активным флюсом, растворяющим оксиды меди, железа и других металлов, поэтому её используют для пайки при отсутствии других подходящих флюсов. Также может быть использована для удаления эмалевой изоляции с обмоточных проводов. Для этого очищаемый провод кладут на таблетку и греют сверху паяльником.
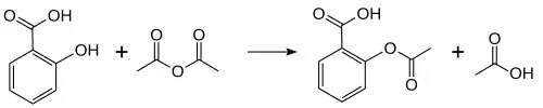
Получение
Ацетилсалициловую кислоту в лаборатории получают взаимодействием салициловой кислоты и уксусного ангидрида реакцией этерификации в присутствии серной кислоты[128][129]:

Для очистки продукт перекристаллизовывают. Выход целевого продукта составляет около 80 %.
Механизм действия

Подавление синтеза простагландинов и тромбоксанов.
Ацетилсалициловая кислота является необратимым ингибитором циклооксигеназы (PTGS) — фермента, участвующего в синтезе простагландинов и тромбоксанов. Ацетилсалициловая кислота действует так же, как и другие нестероидные противовоспалительные препараты (в частности, диклофенак и ибупрофен), которые являются обратимыми ингибиторами.
После высказанного в статье нобелевского лауреата Джона Вейна[130] предположения долгое время считалось, что ацетилсалициловая кислота выступает в качестве суицидного ингибитора циклооксигеназы, ацетилируя гидроксильную группу в активном центре фермента. Однако результаты проведённых затем исследований опровергли эту гипотезу[131][132].
Фармакологическое действие
Ацетилсалициловая кислота оказывает противовоспалительное, жаропонижающее и болеутоляющее действие и её широко применяют при лихорадочных состояниях, головной боли, невралгиях и в качестве противоревматического средства.
Противовоспалительное действие ацетилсалициловой кислоты (и других салицилатов) объясняют её влиянием на процессы, протекающие в очаге воспаления, уменьшением проницаемости капилляров, понижением активности гиалуронидазы, ограничением энергетического обеспечения воспалительного процесса путём торможения образования АТФ. В механизме противовоспалительного действия имеет значение ингибирование биосинтеза простагландинов.
Жаропонижающее действие связано также с влиянием на гипоталамические центры терморегуляции.
Анальгезирующий эффект обусловлен влиянием на центры болевой чувствительности, а также способностью салицилатов уменьшать альгогенное действие брадикинина.
Кроверазжижающее действие ацетилсалициловой кислоты позволяет применять её для снижения внутричерепного давления при головных болях.
Салициловая кислота послужила основой для целого класса лекарственных веществ, называемых, примером такого препарата является диоксибензойная кислота.
История

В налёте на зубах скелета неандертальца, найденном в пещере в Эль-Сидроне, были выявлены молекулярные соединения тысячелистника и ромашки. Эти растения лишены питательной ценности, и обнаружение их следов во рту древнего человека наводит на мысль, что они могли применяться в лечебных целях. Древняя ДНК и белки, извлечённые из того же зубного налёта, убедительно указывают на присутствие салициловой кислоты — действующего вещества аспирина, которое содержится в коре тополя[133].
Лекарства, изготовленные из ивы и других богатых салицилатом растений, появляются в древнешумерских глиняных табличках, а также в древнеегипетском папирусе Эберса[134][135]. Гиппократ ссылался на использование салицилового чая для снижения лихорадок около 400 года до н. э., и он был частью фармакопеи западной медицины в классической древности и средневековье[135]. Экстракт коры ивы был признан за его специфическое воздействие на лихорадку, боль и воспаление в середине XIII века[136]. К XIX столетию фармацевты экспериментировали и предписывали различные химические вещества, связанные с салициловой кислотой, активным компонентом экстракта ивы[134].
Кору молодых ветвей белой ивы давно использовали как жаропонижающее средство, например, в виде отвара. Получила кора признание у медиков под названием Salicis cortex. Однако все существовавшие терапевтические средства из коры ивы обладали очень серьёзным побочным эффектом — они вызывали сильную боль в животе и тошноту.
В стабильной форме, пригодной для очистки, салициловая кислота была впервые выделена из ивовой коры итальянским химиком Рафаэлем Пириа в 1838 году. Впервые была синтезирована Шарлем Фредериком Жераром в 1853 году.

В 1859 году профессор химии Герман Кольбе из Марбургского университета раскрыл химическую структуру салициловой кислоты, что позволило в 1874 году открыть в Дрездене первую фабрику по её производству. В 1875 году для лечения ревматизма и в качестве жаропонижающего средства был применён салицилат натрия. Вскоре было установлено его глюкозурическое действие, и салицин начали назначать при подагре.
10 августа 1897 года Феликс Хоффман, работавший в лабораториях фирмы Bayer AG, впервые получил образцы ацетилсалициловой кислоты в форме, возможной для медицинского применения; используя метод ацетилирования, он стал первым в истории химиком, кому удалось получить салициловую кислоту химически чистой и в стабильной форме. Наряду с Хоффманом изобретателем аспирина также называют Артура Айхенгрюна (нем. Arthur Eichengrün)[137][138]. Сырьём для получения ацетилсалициловой кислоты служила кора дерева ивы. Bayer зарегистрировала новое лекарство под торговой маркой аспирин. Хоффман открыл лечебные свойства ацетилсалициловой кислоты, пытаясь найти лекарство для своего отца, страдавшего ревматизмом.
В 1971 году фармаколог Джон Вейн продемонстрировал, что ацетилсалициловая кислота подавляет синтез простагландинов и тромбоксанов[139][140]. За это открытие в 1982 году ему, а также Суне Бергстрёму и Бенгту Самуэльсону была присуждена Нобелевская премия по медицине[141]; в 1984 году ему был присвоен титул рыцаря-бакалавра.
Торговое название «Aspirin»
После долгих споров за основу решили взять латинское наименование растения, из которого берлинский учёный Карл Якоб Лёвих впервые выделил салициловую кислоту, — Spiraea ulmaria. К 4 буквам spir приставили «a», чтобы подчеркнуть особую роль реакции ацетилирования, а справа для благозвучия и в соответствии со сложившейся традицией — in. Получилось простое в произношении и легко запоминающееся название Aspirin («Аспирин»).
Уже в 1899 году первая партия этого лекарства появилась в продаже. Изначально был известен лишь жаропонижающий эффект аспирина, позднее выяснились также его болеутоляющие и противовоспалительные свойства. В первые годы аспирин продавался как порошок, а с 1904 года — в форме таблеток.
В 1983 году в медицинском журнале The New England Journal of Medicine появилась публикация исследования[142], в котором было доказано новое важное свойство препарата — при его использовании во время нестабильной стенокардии уменьшается риск возникновения инфаркта миокарда.
Ацетилсалициловая кислота также снижает риск заболеть раком, в частности, молочной железы и толстой кишки[143].
Статус фармакопеи
- Российская фармакопея[144]
- Фармакопея Соединённых Штатов[145]
Ветеринария
Аспирин иногда используют в ветеринарной медицине в качестве антикоагулянта или для облегчения боли, связанной с опорно-двигательным аппаратом, воспалением или остеоартритом. Аспирин следует давать животным только под непосредственным наблюдением ветеринара, так как возможны побочные эффекты, в том числе — желудочно-кишечные расстройства. Передозировка аспирина у любых видов может привести к отравлению, характеризующемуся кровоизлияниями, судорогами, комой и даже смертью[146].
Кошки и собаки
Собаки лучше переносят аспирин, чем кошки[147]. Кошки медленно усваивают аспирин, потому что им не хватает конъюгатов глюкуронида, которые помогают в выделении аспирина, что делает его потенциально токсичным, если дозировка не рассчитана должным образом[146][148]. Никаких клинических признаков токсикоза не было, когда кошки получали 25 мг/кг аспирина каждые 48 часов в течение 4 недель[147], но рекомендуемая доза для облегчения боли и лихорадки и для лечения заболеваний, связанных со свёртыванием крови у кошек, составляла 10 мг/кг[146][149].
Крупный рогатый скот и лошади
Аспирин показал некоторые улучшения в лечении ламинита у лошадей[150].
Некоторые факты
- Ежегодно потребляют более 80 миллиардов таблеток аспирина[151].
- Для того, чтобы поднять продажи своего продукта, компания Bayer стала демонстрировать в рекламе лекарства от похмелья, зубной и головной болей «Алка-Зельцер» 2 таблетки вместо 1[152]. Этот маркетинговый ход значительно увеличил сбыт продукции.
- В 2009 году исследователи обнаружили, что салициловая кислота, производным которой является ацетилсалициловая кислота, может вырабатываться организмом человека[153].
- Ацетилсалициловую кислоту применяют как активный кислотный флюс при пайке и лужении легкоплавкими припоями[154]. Но при пайке таким «флюсом» происходит выделение паров фенола — токсичного вещества с резким запахом. Производить пайку рекомендуют под вытяжкой.
- Обнаружено, что аспирин может способствовать лечению многих случаев бесплодия у женщин, так как он противодействует воспалению, вызванному белком, повышенное содержание которого является причиной выкидышей. Женщины могут увеличить свои шансы забеременеть путём приёма ограниченных доз аспирина[155].
Примечание
- ↑ Большой толковый словарь русского языка. Под ред. С. А. Кузнецова, статья аспирин. Дата обращения: 4 июня 2022. Архивировано 25 июня 2021 года.
- ↑ под ред. Л. Е. Зиганшиной, В. К. Лепахина, В. И. Петрова, Р. У. Хабриева. Большой справочник лекарственных средств. Дата обращения: 26 апреля 2018. Архивировано 9 мая 2018 года.
- 1 2 Абросимов, В. Н. Антитромбоцитарные препараты // Ишемическая болезнь сердца в практике семейного врача : [арх. 6 июля 2017] : уч. пос. / В. Н. Абросимов, Л. А. Жукова, С. И. Глотов … [и др.]. — 2-е изд., доп. и перераб. — Рязань : ФГОУ ВО «РязГМУ Минздрава России», 2015. — С. 120. — 209 с. : Табл.: 26; рис.: 2; библиогр.: 50. — ББК 54.101.033. — УДК 616.12-005.4(075.8).
- ↑ WHO Model List of Essential Medicines, 16th list (англ.) (pdf). WHO (март 2009). Дата обращения: 6 января 2012. Архивировано 3 февраля 2012 года.
- ↑ Регистр Патентного и торгового управления Германии Архивная копия от 1 марта 2017 на Wayback Machine (нем.)
- 1 2 Aspirin. The American Society of Health-System Pharmacists. Дата обращения: 3 апреля 2011. Архивировано 1 января 2011 года.
- ↑ Aspirin for reducing your risk of heart attack and stroke: know the facts. U.S. Food and Drug Administration. Дата обращения: 26 июля 2012. Архивировано 14 августа 2012 года.
- ↑ Aspirin for the prevention of cardiovascular disease. U.S. Preventive Services Task Force. Дата обращения: 26 июля 2012. Архивировано 11 июля 2012 года.
- ↑ Seshasai, SR; Wijesuriya, S; Sivakumaran, R; Nethercott, S; Erqou, S; Sattar, N; Ray, K.K. Effect of aspirin on vascular and nonvascular outcomes: meta-analysis of randomized controlled trials (англ.) // Archives of Internal Medicine : journal. — 2012. — 13 February (vol. 172, no. 3). — P. 209—216. — doi:10.1001/archinternmed.2011.628. — PMID 22231610.
- 1 2 Algra, AM; Rothwell, P.M. Effects of regular aspirin on long-term cancer incidence and metastasis: a systematic comparison of evidence from observational studies versus randomised trials (англ.) // The Lancet : journal. — Elsevier, 2012. — May (vol. 13, no. 5). — P. 518—527. — doi:10.1016/S1470-2045(12)70112-2. — PMID 22440112.
- ↑ Bibbins-Domingo, K; U.S. Preventive Services Task, Force. Aspirin use for the primary prevention of cardiovascular disease and colorectal cancer: U.S. Preventive Services Task Force recommendation statement (англ.) // Annals of Internal Medicine : journal. — 2016. — 21 June (vol. 164, no. 12). — P. 836—845. — doi:10.7326/m16-0577. — PMID 27064677.
- ↑ Gaciong. The real dimension of analgesic activity of aspirin (англ.) // Thrombosis Research : journal. — 2003. — Vol. 110, no. 5—6. — P. 361—364. — doi:10.1016/j.thromres.2003.08.009. — PMID 14592563.
- ↑ Christopher J Derry; Sheena Derry; R Andrew Moore. Caffeine as an analgesic adjuvant for acute pain in adults. Cochrane Systematic Review - Intervention. Кофеин в качестве анальгетического адъюванта при острой боли у взрослых.
- ↑ Derry, C. J.; Derry, S.; Moore, R. A. Caffeine as an analgesic adjuvant for acute pain in adults (англ.) // Cochrane Library : journal / Derry, Sheena. — 2014. — December (vol. 3, no. 3). — P. CD009281. — doi:10.1002/14651858.CD009281.pub3. — PMID 22419343.
- ↑ Hersh, E; Moore, P; Ross, G. Over-the-counter analgesics and antipyretics: A critical assessment (англ.) // Clinical Therapeutics : journal. — 2000. — Vol. 22, no. 5. — P. 500—548. — doi:10.1016/S0149-2918(00)80043-0. — PMID 10868553.
- ↑ Mett, A.; Tfelt-Hansen, P. Acute migraine therapy: recent evidence from randomized comparative trials (англ.) // Current Opinion in Neurology : journal. — Lippincott Williams & Wilkins, 2008. — Vol. 21, no. 3. — P. 331—337. — doi:10.1097/WCO.0b013e3282fee843. — PMID 18451718.
- ↑ Kingery, W.S. A critical review of controlled clinical trials for peripheral neuropathic pain and complex regional pain syndromes (англ.) // Pain : journal. — 1997. — November (vol. 73, no. 2). — P. 123—139. — doi:10.1016/S0304-3959(97)00049-3. — PMID 9415498.
- ↑ Аспирин (одна доза) при боли в промежности в раннем послеродовом периоде. Дата обращения: 3 апреля 2018. Архивировано 3 апреля 2018 года.
- ↑ Aspirin (single dose) for perineal pain in the early postpartum period. Дата обращения: 24 апреля 2018. Архивировано 27 марта 2018 года.
- ↑ Loder, E.; Rizzoli, P. Tension-type headache (англ.) // BMJ : journal. — 2008. — 12 January (vol. 336, no. 7635). — P. 88—92. — doi:10.1136/bmj.39412.705868.AD. — PMID 18187725. — PMC 2190284.
- ↑ Пероральный аспирин для лечения острой эпизодической головной боли напряжения у взрослых. Дата обращения: 3 апреля 2018. Архивировано 4 апреля 2018 года.
- ↑ Aspirin for acute treatment of episodic tension-type headache in adults. Дата обращения: 24 апреля 2018. Архивировано 26 апреля 2018 года.
- ↑ Gilmore, B.; Michael, M. Treatment of acute migraine headache (англ.) // American Family Physician : journal. — 2011. — 1 February (vol. 83, no. 3). — P. 271—280. — PMID 21302868.
- ↑ Bartfai, T.; Conti, B. Fever (англ.) // The Scientific World Journal. — 2010. — 16 March (vol. 10). — P. 490—503. — doi:10.1100/tsw.2010.50. — PMID 20305990. — PMC 2850202.
- ↑ Pugliese, A.; Beltramo, T.; Torre, D. Reye's and Reye's-like syndromes (англ.) // Cell biochemistry and function. — 2008. — October (vol. 26, no. 7). — P. 741—746. — doi:10.1002/cbf.1465. — PMID 18711704.
- ↑ Beutler, A. I.; Chesnut, G. T.; Mattingly, J. C.; Jamieson, B. FPIN's Clinical Inquiries. Aspirin use in children for fever or viral syndromes (англ.) // American Family Physician : journal. — 2009. — 15 December (vol. 80, no. 12). — P. 1472. — PMID 20000310.
- ↑ Medications Used to Treat Fever. American Academy of Pediatrics. Дата обращения: 25 ноября 2012. Архивировано 18 февраля 2013 года.
- 1 2 51 FR 8180 (англ.) // United States Federal Register. — 1986. — 7 March (vol. 51, no. 45). Архивировано 19 августа 2011 года.
- ↑ Myocardial infarction with ST-segment elevation: the acute management of myocardial infarction with ST-segment elevation [Internet] (англ.) // NICE Clinical Guidelines : journal. — 2013. — July (no. 167). — P. 17.2 Asprin. — PMID 25340241. Архивировано 31 декабря 2015 года.
- 1 2 Joshua Quaas. Aspirin given immediately for a major heart attack (STEMI). The NNT (28 ноября 2009). Дата обращения: 10 августа 2016. Архивировано 9 августа 2016 года.
- ↑ Антикоагулянты против антиагрегантов для профилактики инсульта у пациентов с неревматической фибрилляцией предсердий и инсультом или транзиторной ишемической атакой в анамнезе. Дата обращения: 3 апреля 2018. Архивировано 4 апреля 2018 года.
- ↑ Anticoagulants versus antiplatelet therapy for preventing stroke in patients with nonrheumatic atrial fibrillation and a history of stroke or transient ischemic attack.
- ↑ Пероральная антитромбоцитарная терапия при остром ишемическом инсульте. Дата обращения: 3 апреля 2018. Архивировано 4 апреля 2018 года.
- ↑ Oral antiplatelet therapy for acute ischaemic stroke.
- ↑ Антитромбоцитарные средства при перемежающейся хромоте. Дата обращения: 3 апреля 2018. Архивировано 3 апреля 2018 года.
- ↑ Antiplatelet agents for intermittent claudication. Дата обращения: 24 апреля 2018. Архивировано 26 апреля 2018 года.
- ↑ David Newman. Aspirin to prevent cardiovascular disease in people with known heart disease or strokes. The NNT (10 июля 2011). Дата обращения: 30 ноября 2015. Архивировано 8 декабря 2015 года.
- ↑ Hall, SL; Lorenc, T. Secondary prevention of coronary artery disease (англ.) // American Family Physician : journal. — 2010. — 1 February (vol. 81, no. 3). — P. 289—296. — PMID 20112887.
- ↑ Baigent, C.; Blackwell, L.; Collins, R.; Emberson, J.; Godwin, J.; Peto, R.; Buring, J.; Hennekens, C.; Kearney, P.; Meade, T.; Patrono, C.; Roncaglioni, M. C.; Zanchetti, A. Aspirin in the primary and secondary prevention of vascular disease: collaborative meta-analysis of individual participant data from randomised trials (англ.) // The Lancet : journal. — Elsevier, 2009. — Vol. 373, no. 9678. — P. 1849—1860. — doi:10.1016/S0140-6736(09)60503-1. — PMID 19482214. — PMC 2715005.
- ↑ Guirguis-Blake, J. M.; Evans, C. V.; Senger, C. A.; O'Connor, E. A.; Whitlock, E. P. Aspirin for the Primary Prevention of Cardiovascular Events: A Systematic Evidence Review for the U.S. Preventive Services Task Force (англ.) // Annals of Internal Medicine : journal. — 2016. — 21 June (vol. 164, no. 12). — P. 804—813. — doi:10.7326/M15-2113. — PMID 27064410.
- ↑ David Newman. Aspirin to prevent a first heart attack or stroke. theNNT (8 января 2015). Дата обращения: 30 ноября 2015. Архивировано 9 декабря 2015 года.
- ↑ Wolff, T; Miller, T; Ko, S. Aspirin for the primary prevention of cardiovascular events: an update of the evidence for the U.S. Preventive Services Task Force (англ.) // Annals of Internal Medicine : journal. — 2009. — 17 March (vol. 150, no. 6). — P. 405—410. — doi:10.7326/0003-4819-150-6-200903170-00009. — PMID 19293073.
- ↑ U.S. Preventive Services Task Force. Aspirin for the Prevention of Cardiovascular Disease: recommendation statement. Дата обращения: 15 августа 2012. Архивировано 11 сентября 2012 года.
- ↑ Berger, J. S.; Lala, A.; Krantz, M. J.; Baker, G. S.; Hiatt, W. R. Aspirin for the prevention of cardiovascular events in patients without clinical cardiovascular disease: a meta-analysis of randomized trials (англ.) // American Heart Journal : journal. — 2011. — July (vol. 162, no. 1). — P. 115—124. — doi:10.1016/j.ahj.2011.04.006. — PMID 21742097.
- ↑ Norris, J.W. Antiplatelet agents in secondary prevention of stroke: a perspective (англ.) // Stroke : journal. — Lippincott Williams & Wilkins, 2005. — September (vol. 36, no. 9). — P. 2034—2036. — doi:10.1161/01.STR.0000177887.14339.46. — PMID 16100022.
- ↑ Sleight, P; Pouleur, H; Zannad, F. Benefits, challenges, and registerability of the polypill (англ.) // European Heart Journal : journal. — 2006. — July (vol. 27, no. 14). — P. 1651—1656. — doi:10.1093/eurheartj/ehi841. — PMID 16603580.
- ↑ Wang, TH; Bhatt, DL; Topol, E.J. Aspirin and clopidogrel resistance: an emerging clinical entity (англ.) // European Heart Journal : journal. — 2006. — March (vol. 27, no. 6). — P. 647—654. — doi:10.1093/eurheartj/ehi684. — PMID 16364973.
- ↑ Oliveira, D. C.; Silva, R. F.; Silva, D. J.; Lima, V. C. Aspirin resistance: fact or fiction? (англ.) // Arquivos brasileiros de cardiologia. — 2010. — September (vol. 95, no. 3). — P. e91—4. — doi:10.1590/S0066-782X2010001300024. — PMID 20944898.
- ↑ Topçuoglu, MA; Arsava, EM; Ay, H. Antiplatelet resistance in stroke (англ.) // Expert Review of Neurotherapeutics. — 2011. — February (vol. 11, no. 2). — P. 251—263. — doi:10.1586/ern.10.203. — PMID 21306212. — PMC 3086673.
- ↑ Ben-Dor, I; Kleiman, N. S.; Lev, E. Assessment, mechanisms, and clinical implication of variability in platelet response to aspirin and clopidogrel therapy (англ.) // American Journal of Cardiology : journal. — 2009. — 15 July (vol. 104, no. 2). — P. 227—233. — doi:10.1016/j.amjcard.2009.03.022. — PMID 19576352.
- ↑ National Guideline Clearinghouse (NGC). 2011 ACCF/AHA/SCAI guideline for percutaneous coronary artery intervention. A report of the American College of Cardiology Foundation/American Heart Association Task Force on Practice Guidelines and the Society for Cardiovascular Angiography and Interventions. United States Agency for Healthcare Research and Quality (AHRQ). Дата обращения: 28 августа 2012. Архивировано 13 августа 2012 года.
- ↑ Musumeci, G.; Di Lorenzo, E.; Valgimigli, M. Dual antiplatelet therapy duration: what are the drivers? (англ.) // Current Opinion in Cardiology : journal. — Lippincott Williams & Wilkins, 2011. — December (vol. 26 Suppl 1). — P. S4—14. — doi:10.1097/01.hco.0000409959.11246.ba. — PMID 22129582.
- 1 2 Cuzick, J.; Thorat, M. A.; Bosetti, C.; Brown, P. H.; Burn, J.; Cook, N. R.; Ford, L. G.; Jacobs, E. J.; Jankowski, J. A.; La Vecchia, C.; Law, M.; Meyskens, F.; Rothwell, P. M.; Senn, H. J.; Umar, A. Estimates of benefits and harms of prophylactic use of aspirin in the general population (англ.) // Annals of Oncology : journal. — 2014. — 5 August (vol. 26, no. 1). — P. 47—57. — doi:10.1093/annonc/mdu225. — PMID 25096604. — PMC 4269341.
- ↑ Manzano, A; Pérez-Segura, P. Colorectal cancer chemoprevention: is this the future of colorectal cancer prevention? (англ.) // The Scientific World Journal : journal. — 2012. — 29 April (vol. 2012). — P. 327341. — doi:10.1100/2012/327341. — PMID 22649288. — PMC 3353298.
- ↑ Chan, AT; Arber, N; Burn, J; Chia, WK; Elwood, P.; Hull, M. A.; Logan, R. F.; Rothwell, P. M.; Schrör, K.; Baron, J. A. Aspirin in the chemoprevention of colorectal neoplasia: an overview (англ.) // Cancer Prevention Research (Philadelphia, PA) : journal. — 2012. — February (vol. 5, no. 2). — P. 164—178. — doi:10.1158/1940-6207.CAPR-11-0391. — PMID 22084361. — PMC 3273592.
- ↑ Thun, M. J.; Jacobs, E. J.; Patrono, C. The role of aspirin in cancer prevention (англ.) // Nature Reviews Clinical Oncology. — 2012. — 3 April (vol. 9, no. 5). — P. 259—267. — doi:10.1038/nrclinonc.2011.199. — PMID 22473097.
- ↑ Richman, I. B.; Owens, D. K. Aspirin for Primary Prevention (англ.) // The Medical Clinics of North America : journal. — 2017. — July (vol. 101, no. 4). — P. 713—724. — doi:10.1016/j.mcna.2017.03.004. — PMID 28577622.
- ↑ Verdoodt, F; Friis, S; Dehlendorff, C.; Albieri, V.; Kjaer, S. K. Non-steroidal anti-inflammatory drug use and risk of endometrial cancer: a systematic review and meta-analysis of observational studies (англ.) // Gynecologic Oncology : journal. — 2016. — February (vol. 140, no. 2). — P. 352—358. — doi:10.1016/j.ygyno.2015.12.009. — PMID 26701413.
- ↑ Bosetti, C.; Rosato, V.; Gallus, S.; Cuzick, J.; La Vecchia, C. Aspirin and cancer risk: a quantitative review to 2011 (англ.) // Annals of Oncology : journal. — 2012. — 19 April (vol. 23, no. 6). — P. 1403—1415. — doi:10.1093/annonc/mds113. — PMID 22517822.
- ↑ Sutcliffe, P.; Connock, M.; Gurung, T.; Freeman, K.; Johnson, S.; Kandala, N. B.; Grove, A.; Gurung, B.; Morrow, S.; Clarke, A. Aspirin for prophylactic use in the primary prevention of cardiovascular disease and cancer: a systematic review and overview of reviews (англ.) // Health Technology Assessment (Winchester, England) : journal. — 2013. — September (vol. 17, no. 43). — P. 1—253. — doi:10.3310/hta17430. — PMID 24074752. — PMC 4781046.
- ↑ Kim, S.E. The benefit-risk consideration in long-term use of alternate-day, low dose aspirin: focus on colorectal cancer prevention (англ.) // Annals of Gastroenterology : journal. — 2014. — Vol. 27, no. 1. — P. 87—88. — PMID 24714632. — PMC 3959543.
- ↑ U.S. Preventive Services Task, Force. Routine aspirin or nonsteroidal anti-inflammatory drugs for the primary prevention of colorectal cancer: U.S. Preventive Services Task Force recommendation statement (англ.) // Annals of Internal Medicine : journal. — 2007. — 6 March (vol. 146, no. 5). — P. 361—364. — doi:10.7326/0003-4819-146-5-200703060-00008. — PMID 17339621.
- ↑ Bibbins-Domingo, K; U.S. Preventive Services Task Force. Aspirin Use for the Primary Prevention of Cardiovascular Disease and Colorectal Cancer: U.S. Preventive Services Task Force Recommendation Statement (англ.) // Annals of Internal Medicine : journal. — 2016. — 21 June (vol. 164, no. 12). — P. 836—845. — doi:10.7326/M16-0577. — PMID 27064677.

- 1 2 National Heart Foundation of Australia (RF/RHD guideline development working group) and the Cardiac Society of Australia and New Zealand. Diagnosis and management of acute rheumatic fever and rheumatic heart disease in Australia. An evidence-based review (PDF) 33–37. National Heart Foundation of Australia (2006). Дата обращения: 9 мая 2011. Архивировано 26 июля 2008 года.
- ↑ Working Group on Pediatric Acute Rheumatic Fever and Cardiology Chapter of Indian Academy of Pediatrics; Saxena, A.; Kumar, R. K.; Gera, R. P.; Radhakrishnan, S.; Mishra, S.; Ahmed, Z. Consensus guidelines on pediatric acute rheumatic fever and rheumatic heart disease (англ.) // Indian Pediatrics : journal. — 2008. — July (vol. 45, no. 7). — P. 565—573. — PMID 18695275.
- ↑ Hashkes; Tauber, T.; Somekh, E.; Brik, R.; Barash, J.; Mukamel, M.; Harel, L.; Lorber, A.; Berkovitch, M.; Uziel, Y.; Pediatric Rheumatlogy Study Group of Israel. Naproxen as an alternative to aspirin for the treatment of arthritis of rheumatic fever: a randomized trial (англ.) // The Journal of Pediatrics : journal. — 2003. — Vol. 143, no. 3. — P. 399—401. — doi:10.1067/S0022-3476(03)00388-3. — PMID 14517527.
- ↑ Rowley, AH; Shulman, S.T. Pathogenesis and management of Kawasaki disease (англ.) // Expert review of anti-infective therapy. — 2010. — February (vol. 8, no. 2). — P. 197—203. — doi:10.1586/eri.09.109. — PMID 20109049. — PMC 2845298.
- ↑ J Harry Baumer; Samantha Love; Amit Gupta; Linda Haines; Ian K Maconochie; Jaspal S Dua. Salicylate for the treatment of Kawasaki disease in children. Cochrane Systematic Review - Intervention. Салицилат для лечения болезни Кавасаки у детей.
- ↑ Baumer, J. H.; Love, S. J.; Gupta, A.; Haines, L. C.; Maconochie, I.; Dua, J. S. Salicylate for the treatment of Kawasaki disease in children (англ.) // Cochrane Library : journal / Baumer, J. Harry. — 2006. — 18 October (no. 4). — P. CD004175. — doi:10.1002/14651858.CD004175.pub2. — PMID 17054199.
- ↑ Lelia Duley; Shireen Meher; Kylie E. Hunter; Anna Lene Seidler; Lisa M. Askie. Antiplatelet agents for preventing pre‐eclampsia and its complications. Cochrane Systematic Review - Intervention. Антиагреганты для профилактики преэклампсии и ее осложнений.
- ↑ Duley, L; Henderson-Smart, DJ; Meher, S; King, J.F. Antiplatelet agents for preventing pre-eclampsia and its complications (англ.) // Cochrane Library : journal / Duley, Lelia. — 2007. — No. 2. — P. CD004659. — doi:10.1002/14651858.CD004659.pub2. — PMID 17443552.
- ↑ Roberge, S. P.; Villa, P.; Nicolaides, K.; Giguère, Y.; Vainio, M.; Bakthi, A.; Ebrashy, A.; Bujold, E. Early administration of low-dose aspirin for the prevention of preterm and term preeclampsia: a systematic review and meta-analysis (англ.) // Fetal Diagnosis and Therapy : journal. — 2012. — Vol. 31, no. 3. — P. 141—146. — doi:10.1159/000336662. — PMID 22441437.
- ↑ Roberge, S.; Nicolaides, K.; Demers, S.; Hyett, J.; Chaillet, N.; Bujold, E. The role of aspirin dose on the prevention of preeclampsia and fetal growth restriction: systematic review and meta-analysis (англ.) // American Journal of Obstetrics and Gynecology : journal. — Elsevier, 2017. — February (vol. 216, no. 2). — P. 110—120.e6. — doi:10.1016/j.ajog.2016.09.076. — PMID 27640943.
- ↑ Аспирин у женщин, подвергающихся вспомогательным репродуктивным технологиям (ВРТ). Дата обращения: 3 апреля 2018. Архивировано 4 апреля 2018 года.
- ↑ Aspirin for in vitro fertilisation.
- ↑ Архивированная копия. Дата обращения: 26 октября 2018. Архивировано 26 октября 2018 года.
- ↑ Пероральный аспирин при венозных язвах ног. Дата обращения: 3 апреля 2018. Архивировано 4 апреля 2018 года.
- ↑ Oral aspirin for treating venous leg ulcers.
- ↑ Stefano Di Bella, Roberto Luzzati, Luigi Principe, Verena Zerbato, Elisa Meroni, Mauro Giuffrè, Lory Saveria Crocè, Marco Merlo, Maria Perotto, Elisabetta Dolso, Cristina Maurel, Antonio Lovecchio, Eugenia Dal Bo, Cristina Lagatolla, Bruna Marini, Rudy Ippodrino, Gianfranco Sanson. Aspirin and Infection: A Narrative Review (англ.) // Biomedicines. — 2022-01-25. — Vol. 10, iss. 2. — P. 263. — ISSN 2227-9059. — doi:10.3390/biomedicines10020263. Архивировано 4 ноября 2023 года.
- ↑ Imran Rizvi, RavindraK Garg, HardeepS Malhotra, Neeraj Kumar, Ravi Uniyal. Role of Aspirin in Tuberculous Meningitis: A Systematic Review and Meta-analysis (англ.) // Neurology India. — 2019. — Vol. 67, iss. 4. — P. 993. — ISSN 0028-3886. — doi:10.4103/0028-3886.266232. Архивировано 12 февраля 2020 года.
- ↑ Dorsch M. P., Lee J. S., Lynch D. R., Dunn S. P., Rodgers J. E., Schwartz T., Colby E., Montague D., Smyth S. S. Aspirin resistance in patients with stable coronary artery disease with and without a history of myocardial infarction (англ.) // Annals of Pharmacotherapy : journal. — 2007. — Vol. 41, no. May. — P. 737—741. — doi:10.1345/aph.1H621. — PMID 17456544.
- ↑ Krasopoulos G., Brister S. J., Beattie W. S., Buchanan M. R. Aspirin "resistance" and risk of cardiovascular morbidity: systematic review and meta-analysis (англ.) // The BMJ : journal. — 2008. — Vol. 336, no. 7637. — P. 195—198. — doi:10.1136/bmj.39430.529549.BE. — PMID 18202034. — PMC 2213873.
- ↑ Pignatelli P., Di Santo S., Barillà F., Gaudio C., Violi F. Multiple anti-atherosclerotic treatments impair aspirin compliance: effects on aspirin resistance (англ.) // Journal of Thrombosis and Haemostasis : journal. — 2008. — Vol. 6, no. 10. — P. 1832—1834. — doi:10.1111/j.1538-7836.2008.03122.x. — PMID 18680540.
- ↑ Grosser, Tilo; Fries, Susanne; Lawson, John A.; Kapoor, Shiv C.; Grant, Gregory R.; FitzGerald, Garret A. Drug resistance and pseudoresistance: an unintended consequence of enteric coating aspirin (англ.) // Circulation : journal. — Lippincott Williams & Wilkins, 2013. — Vol. 127, no. 3. — P. 377—385. — doi:10.1161/CIRCULATIONAHA.112.117283. — PMID 23212718. — PMC 3552520.
- 1 2 3 4 5 Aspirin information from Drugs.com. Drugs.com. Дата обращения: 8 мая 2008. Архивировано 9 мая 2008 года.
- ↑ Raithel, M.; Baenkler, H. W.; Naegel, A.; Buchwald, F.; Schultis, H. W.; Backhaus, B.; Kimpel, S.; Koch, H.; Mach, K.; Hahn, E. G.; Konturek, P. C. Significance of salicylate intolerance in diseases of the lower gastrointestinal tract (англ.) // Journal of Physiology and Pharmacology : journal. — 2005. — Vol. 56, no. Suppl 5. — P. 89—102. — PMID 16247191. Архивировано 9 апреля 2011 года.
- ↑ Senna G. E., Andri G., Dama A. R., Mezzelani P., Andri L. Tolerability of imidazole salycilate in aspirin-sensitive patients (англ.) // Allergy Proc : journal. — 1995. — Vol. 16, no. 5. — P. 251—254. — doi:10.2500/108854195778702675. — PMID 8566739.
- 1 2 PDR guide to over the counter (OTC) drugs. Дата обращения: 28 апреля 2008. Архивировано 10 апреля 2008 года.
- ↑ Oral Aspirin information. First DataBank. Дата обращения: 8 мая 2008. Архивировано из оригинала 18 сентября 2000 года.
- ↑ Livingstone, Frank B. Frequencies of hemoglobin variants: thalassemia, the glucose-6-phosphate dehydrogenase deficiency, G6PD variants, and ovalocytosis in human populations (англ.). — Oxford University Press, 1985. — ISBN 0-19-503634-4.
- ↑ Dengue and dengue hemorrhagic fever: information for health care practitioners. Дата обращения: 28 апреля 2008. Архивировано 17 марта 2008 года.
- 1 2 Macdonald S. Aspirin use to be banned in under 16-year olds (англ.) // BMJ : journal. — 2002. — Vol. 325, no. 7371. — P. 988c—988. — doi:10.1136/bmj.325.7371.988/c. — PMID 12411346. — PMC 1169585.
- 1 2 3 Sørensen HT; Mellemkjaer L; Blot WJ; Nielsen, Gunnar Lauge; Steffensen, Flemming Hald; McLaughlin, Joseph K.; Olsen, Jorgen H. Risk of upper gastrointestinal bleeding associated with use of low-dose aspirin (англ.) // Am. J. Gastroenterol. : journal. — 2000. — Vol. 95, no. 9. — P. 2218—2224. — doi:10.1111/j.1572-0241.2000.02248.x. — PMID 11007221.
- ↑ Архивированная копия. Дата обращения: 5 ноября 2018. Архивировано 5 ноября 2018 года.
- ↑ Delaney J. A.; Opatrny L.; Brophy J. M.; Suissa S. Drug–drug interactions between antithrombotic medications and the risk of gastrointestinal bleeding (англ.) // CMAJ : journal. — 2007. — Vol. 177, no. 4. — P. 347—351. — doi:10.1503/cmaj.070186. — PMID 17698822. — PMC 1942107.
- ↑ Wallace, J. L. Prostaglandins, NSAIDs, and gastric mucosal protection: why doesn't the stomach digest itself? (англ.) // Physiological Reviews : journal. — 2008. — Vol. 88, no. 4. — P. 1547—1565. — doi:10.1152/physrev.00004.2008. — PMID 18923189.
- ↑ Fiorucci, S.; Santucci, L.; Wallace, J. L.; Sardina, M.; Romano, M.; Del Soldato, P.; Morelli, A. Interaction of a selective cyclooxygenase-2 inhibitor with aspirin and NO-releasing aspirin in the human gastric mucosa (англ.) // Proceedings of the National Academy of Sciences of the United States of America : journal. — 2003. — Vol. 100, no. 19. — P. 10937—10941. — doi:10.1073/pnas.1933204100. — . — PMID 12960371. — PMC 196906.
- ↑ General chemistry online: FAQ: Acids and bases: What is the buffer system in buffered aspirin? Antoine.frostburg.edu. Дата обращения: 11 мая 2011. Архивировано 14 апреля 2011 года.
- ↑ Dammann, HG; Saleki, M.; Torz, M.; Schulz, H. U.; Krupp, S.; Schürer, M.; Timm, J.; Gessner, U. Effects of buffered and plain acetylsalicylic acid formulations with and without ascorbic acid on gastric mucosa in healthy subjects (англ.) // Alimentary Pharmacology & Therapeutics : journal. — 2004. — Vol. 19, no. 3. — P. 367—374. — doi:10.1111/j.1365-2036.2004.01742.x. — PMID 14984384.
- ↑ Konturek; Kania, J; Hahn, EG; Konturek, J.W. Ascorbic acid attenuates aspirin-induced gastric damage: role of inducible nitric oxide synthase (англ.) // Journal of Physiology and Pharmacology : journal. — 2006. — Vol. 57 Suppl 5, no. 5. — P. 125—136. — PMID 17218764.
- ↑ Guitton M. J., Caston J., Ruel J., Johnson R. M., Pujol R., Puel J. L. Salicylate induces tinnitus through activation of cochlear NMDA receptors (англ.) // The Journal of Neuroscience : journal. — 2003. — Vol. 23, no. 9. — P. 3944—3952. — PMID 12736364. Архивировано 22 декабря 2007 года.
- ↑ Пьер Кампо, Кэти Маген, Стефан Габриэль, Анжела Мёллер, Эберхард Нис, Мария Долорес Соле Гомес и Эско Топпила. Ухудшение слуха при воздействии промышленного шума и химикатов. Обзор = Combined exposure to Noise and Ototoxic Substance (англ.) / Эусебио Риал Гонсалес и Джоанна Коск-Биенко (ред). — Люксембург: Европейское агентство по безопасности и гигиене труда, 2009. — 63 p. — ISBN 978-92-9191-276-612. — doi:10.2802/16028. Архивировано 9 декабря 2023 года. P. Campo, K. Maguin, S. Gabriel, A. Möller, E. Nies, M. Dolores, S. Gómez, E. Toppila. Combined Exposure to Noise and Ototoxic Substances (англ.) / E.R. González, J. Kosk-Bienko. — Luxembourg: European Agency for Safety and Health, 2009. — 62 p. — (Literature reviews). — ISBN 978-92-9191-276-6. — doi:10.2802/16028.
- ↑ Ann-Christin Johnson and Thais C. Morata. 142. Occupational exposure to chemicals and hearing impairment (The Nordic Expert Group for Criteria Documentation of Health Risks from Chemicals) (англ.) / Kjell Torén ed. — Arbete och Hälsa, Vetenskaplig skriftserie 2010; 44 (4) ISSN 0346-7821. — Gothenburg, Sweden: University of Gothenburg, 2010. — 190 p. — (Arbete och Hälsa / Work and Health). — ISBN 978-91-85971-21-3. Архивировано 11 мая 2023 года. PDF Архивная копия от 24 мая 2023 на Wayback Machine
- 1 2 Belay E. D., Bresee J. S., Holman R. C., Khan A. S., Shahriari A., Schonberger L. B. Reye's syndrome in the United States from 1981 through 1997 (англ.) // The New England Journal of Medicine : journal. — 1999. — Vol. 340, no. 18. — P. 1377—1382. — doi:10.1056/NEJM199905063401801. — PMID 10228187.
- ↑ Reye's syndrome. NHS Choices. National Health Service (12 января 2016). Дата обращения: 10 августа 2016. Архивировано 9 августа 2016 года.
- ↑ Stadelmann, WK; Digenis, AG; Tobin, G.R. Impediments to wound healing (англ.) // American journal of surgery. — 1998. — August (vol. 176, no. 2A Suppl). — P. 39S—47S. — PMID 9777971.
- ↑ Maessen-Visch, M. B.; de Roos, K. P. Dutch venous ulcer guideline update (англ.) // Phlebology. — 2014. — 19 May (vol. 29, no. 1 suppl). — P. 153—156. — doi:10.1177/0268355514529693. — PMID 24843102.
- ↑ Berges-Gimeno M. P., Stevenson D. D. Nonsteroidal anti-inflammatory drug-induced reactions and desensitization (англ.) // Journal of Asthma : journal. — 2004. — Vol. 41, no. 4. — P. 375—384. — doi:10.1081/JAS-120037650. — PMID 15281324.
- ↑ Vernooij M. W., Haag M. D., der Lugt A., Hofman A., Krestin G. P., Stricker B. H., Breteler M. M. Use of antithrombotic drugs and the presence of cerebral microbleeds: the Rotterdam scan study (англ.) // JAMA : journal. — 2009. — Vol. 66, no. 6. — P. 714—720. — doi:10.1001/archneurol.2009.42. — PMID 19364926.
- ↑ Gorelick P. B. Cerebral microbleeds: evidence of heightened risk associated with aspirin use (англ.) // Archives of Neurology : journal. — 2009. — Vol. 66, no. 6. — P. 691—693. — doi:10.1001/archneurol.2009.85. — PMID 19506128.
- 1 2 He, J.; Whelton, P. K.; Vu, B.; Klag, M. J. Aspirin and risk of hemorrhagic stroke: A meta-analysis of randomized controlled trials (англ.) // JAMA : journal. — 1998. — Vol. 280, no. 22. — P. 1930—1935. — doi:10.1001/jama.280.22.1930. — PMID 9851479.
- ↑ Saloheimo, P.; Ahonen, M.; Juvela, S.; Pyhtinen, J.; Savolainen, E. R.; Hillbom, M. Regular aspirin-use preceding the onset of primary intracerebral hemorrhage is an independent predictor for death (англ.) // Stroke : journal. — Lippincott Williams & Wilkins, January 2006. — Vol. 37, no. 1. — P. 129—133. — doi:10.1161/01.STR.0000196991.03618.31. — PMID 16322483.
- ↑ Medical knowledge self-assessment program for students 4, By American College of Physicians, Clerkship Directors in Internal Medicine, Nephrology 227, Item 29
- ↑ Scher, K. S. Unplanned reoperation for bleeding (англ.) // American Surgeon. — 1996. — Vol. 62, no. 1. — P. 52—55. — PMID 8540646.
- ↑ Staff. FDA strengthens warning of heart attack and stroke risk for non-steroidal anti-inflammatory drugs. FDA (9 июля 2015). Дата обращения: 9 июля 2015. Архивировано 11 июля 2015 года.
- ↑ Kreplick, LW. Salicylate toxicity in emergency medicine. Medscape (2001). Архивировано 31 августа 2012 года.
- ↑ Gaudreault P., Temple A. R., Lovejoy F. H. The relative severity of acute versus chronic salicylate poisoning in children: a clinical comparison (англ.) // Pediatrics : journal. — American Academy of Pediatrics, 1982. — Vol. 70, no. 4. — P. 566—569. — PMID 7122154. (primary source)
- ↑ Marx, John. Rosen's emergency medicine: concepts and clinical practice (англ.). — Mosby/Elsevier, 2006. — P. 2242. — ISBN 978-0-323-02845-5.
- ↑ Morra P., Bartle W. R., Walker S. E., Lee S. N., Bowles S. K., Reeves R. A. Serum concentrations of salicylic acid following topically applied salicylate derivatives (англ.) // Annals of Pharmacotherapy : journal. — 1996. — Vol. 30, no. 9. — P. 935—940. — doi:10.1177/106002809603000903. — PMID 8876850.
- ↑ Baselt, R. Disposition of toxic drugs and chemicals in man (англ.). — 9th. — Seal Beach, California: Biomedical Publications, 2011. — P. 20—23. — ISBN 0962652385.
- ↑ Information for Healthcare Professionals: Concomitant Use of Ibuprofen and Aspirin. FDA. U.S. Department of Health & Human Services (сентябрь 2006). Дата обращения: 22 ноября 2010. Архивировано 19 октября 2010 года.
- ↑ Katzung, B. G. Basic and clinical pharmacology (англ.). — McGraw-Hill Education. — P. 584. — ISBN 0838505651. (недоступная ссылка)
- ↑ Loh HS; Watters K; Wilson C.W. The effects of aspirin on the metabolic availability of ascorbic acid in human beings (англ.) // Journal of Clinical Pharmacology : journal. — 1973. — 1 November (vol. 13, no. 11). — P. 480—486. — doi:10.1002/j.1552-4604.1973.tb00203.x. — PMID 4490672. Архивировано 16 марта 2007 года. Архивированная копия. Дата обращения: 29 марта 2018. Архивировано из оригинала 16 марта 2007 года.
- ↑ Basu T. K. Vitamin C-aspirin interactions (англ.) // Internationale Zeitschrift für Vitamin- und Ernährungsforschung. Supplement to the International Journal for Vitamin and Nutrition Research. — 1982. — Vol. 23. — P. 83—90. — PMID 6811490.
- ↑ Ioannides C.; Stone A. N.; Breacker P. J.; Basu T. K. Impairment of absorption of ascorbic acid following ingestion of aspirin in guinea pigs (англ.) // Biochemical Pharmacology : journal. — 1982. — Vol. 31, no. 24. — P. 4035—4038. — doi:10.1016/0006-2952(82)90652-9. — PMID 6818974.
- ↑ Анальгетики при беременности нарушают развитие половых органов у сыновей. Дата обращения: 8 ноября 2010. Архивировано 11 ноября 2010 года.
- ↑ Синдром Рейе у детей. Дата обращения: 14 января 2008. Архивировано из оригинала 12 февраля 2008 года.
- ↑ Нифантьев И. Э., Ивченко П. В. Практикум по органической химии. Методическая разработка для студентов факультета биоинженерии и биоинформатики. Москва, 2006 г.
- ↑ Химия в борьбе с болезнями Архивная копия от 10 декабря 2010 на Wayback Machine гл. 6 книги Гроссе Э., Вайсмантель X. Химия для любознательных. Основы химии и занимательные опыты. 2-е русское изд. — Л.: Химия, 1985. — Лейпциг, 1974. Перевод с немецкого Л. Н. Исаевой под ред. Р. Б. Добротина (гл. 1-3) и А. Б. Томчина (гл. 4—8)
- ↑ Vane, J.R. (1971) Inhibition of prostaglandin synthesis as a mechanism of action of aspirin-like drugs. [Nature 231, 232–235 Inhibition of prostaglandin synthesis as a mechanism of action of aspirin-like drugs]. — 1971. — Т. 231. — С. 232—235.
- ↑ Vane J.R. [FASEB J. 1, 89–96 (1987) Inflammation and the mechanism of action of anti-inflammatory drugs]. — 1987. — Т. 1. — С. 89—96.
- ↑ Vane, J.R. (1987). [Drugs 33 (Suppl. 1), 18–27 The evolution of non-steroidal anti-inflammatory drugs and their mechanisms of action]. — Т. 33, № Suppl. 1. — С. 18—27.
- ↑ Хайэм, 2024, с. 57.
- 1 2 Jeffreys, Diarmuid. Aspirin the remarkable story of a wonder drug (англ.). — Bloomsbury Publishing USA, 2008. — ISBN 9781596918160. Архивировано 8 сентября 2017 года.:46–48
- 1 2 Aspirin. Chemical & Engineering News. Дата обращения: 13 августа 2007. Архивировано 11 октября 2008 года.
- ↑ Goldberg, Daniel R. Aspirin: Turn of the Century Miracle Drug (англ.) // Chemical Heritage Magazine. — Chemical Heritage Foundation. — Vol. 27, no. 2. — P. 26—30. Архивировано 20 марта 2018 года.
- ↑ Mahdi, J. G.; Mahdi, A. J., Mahdi, A. J., Bowen, I. D. The historical analysis of aspirin discovery, its relation to the willow tree and antiproliferative and anticancer potential (англ.) // Cell proliferation : journal. — 2006. — April (vol. 39, no. 2). — P. 147—155. — doi:10.1111/j.1365-2184.2006.00377.x. — PMID 16542349.
- ↑ Sneader W. The discovery of aspirin: a reappraisal (англ.) // BMJ : journal. — 2000. — 23 December (vol. 321, no. 7276). — P. 1591—1594. — doi:10.1136/bmj.321.7276.1591. — PMID 11124191. — PMC 1119266.
- ↑ John Robert Vane. Inhibition of prostaglandin synthesis as a mechanism of action for aspirin-like drugs (англ.) // Nature – New Biology : journal. — 1971. — Vol. 231, no. 25. — P. 232—235. — PMID 5284360.
- ↑ Vane J. R., Botting R. M. The mechanism of action of aspirin (англ.) // Thromb Res : journal. — 2003. — Vol. 110, no. 5—6. — P. 255—258. — doi:10.1016/S0049-3848(03)00379-7. — PMID 14592543. Архивировано 28 февраля 2008 года.
- ↑ The Nobel Prize in Physiology or Medicine 1982 (англ.). Nobelprize.or. Архивировано 4 июня 2013 года.
- ↑ Lewis H. D., et al. Protective effects of aspirin against acute myocardial infarction and death in men with unstable angina. Results of a Veterans Administration Cooperative Study (англ.) // N Engl J Med : journal. — 1983. — August (vol. 309, no. 7). — P. 396—403. — ISSN 00284793. — doi:10.1056/NEJM198308183090703. — PMID 6135989.
- ↑ Michael J. Thun, Eric J. Jacobs & Carlo Patrono «The role of aspirin in cancer prevention»
- ↑ ФС.2.1.0006.15 Ацетилсалициловая кислота. Государственная Фармакопея РФ XIII. Дата обращения: 28 апреля 2018. Архивировано 1 мая 2018 года.
- ↑ Sigma Aldrich. Aspirin. Дата обращения: 13 июля 2009. Архивировано 18 августа 2011 года.
- 1 2 3 Edwards, Scott H. Nonsteroidal Anti-inflammatory Drugs: Aspirin. Merck Veterinary Manual (англ.). Архивировано 18 декабря 2016. Дата обращения: 24 апреля 2018.
- 1 2 Analgesics (toxicity). Merck. Дата обращения: 19 января 2018. Архивировано 11 апреля 2015 года.
- ↑ Feline internal medicine secrets (англ.) / Lappin, Michael R.. — Philadelphia: Hanley & Belfus, 2001. — P. 160. — ISBN 1-56053-461-3.
- ↑ Plants poisonous to livestock. Cornell University Department of Animal Science. Дата обращения: 3 марта 2016. Архивировано 16 августа 2015 года.
- ↑ Cambridge H., Lees P., Hooke R. E., Russell C. S. Antithrombotic actions of aspirin in the horse (англ.) // Equine Veterinary Journal. — 1991. — Vol. 23, no. 2. — P. 123—127. — doi:10.1111/j.2042-3306.1991.tb02736.x. — PMID 1904347.
- ↑ Discovery Health «How Aspirin Works». Дата обращения: 23 марта 2007. Архивировано 29 марта 2007 года.
- ↑ 10 МАРКЕТИНГОВЫХ ХОДОВ, КОТОРЫЕ ВОШЛИ В ИСТОРИЮ (15 марта 2017). Дата обращения: 22 мая 2021. Архивировано 22 мая 2021 года.
- ↑ Исследование: Организм человека может вырабатывать аспирин, Подробности Архивная копия от 19 февраля 2009 на Wayback Machine (В названии статьи ошибка: Аспирином называют ацетат салициловой кислоты, речь о которой идёт в статье.)
- ↑ Припои и флюсы. Дата обращения: 11 мая 2010. Архивировано 5 апреля 2009 года.
- ↑ Прием аспирина может увеличить шансы забеременеть и выносить здорового ребенка. USA.one. Архивировано 22 февраля 2017. Дата обращения: 20 февраля 2017.
Литература
- Аспирин // Энциклопедический словарь Брокгауза и Ефрона : в 86 т. (82 т. и 4 доп.). — СПб., 1890—1907. Статья Гинзберга А. С.
- Том Хайэм. Мир до нас. Новый взгляд на происхождение человека = Tom Higham. The World Before Us: How Science is Revealing a New Story of Our Human Origins. — М.: Альпина нон-фикшн, 2024. — С. 396. — ISBN 978-5-00139-672-7.
Ссылки
- Аспирин — применение и состав
- Ацетилсалициловая кислота — сайт вещества
- Ацетилсалициловая кислота — Энциклопедия лекарств и товаров аптечного ассортимента. РЛС Патент. — Инструкция, применение и формула
- Ацетилсалициловая кислота (Acetylsalicylic acid) — Энциклопедия лекарств и товаров аптечного ассортимента. РЛС Патент. — Действующее вещество
- - Энциклопедия лекарств и товаров аптечного ассортимента. РЛС Патент. — Инструкция, применение и формула. Энциклопедия лекарств и товаров аптечного ассортимента. РЛС Патент. — Инструкция, применение и формула

