Мескалин
| Мескалин | |||
|---|---|---|---|
| |||
| Общие | |||
| Систематическое наименование |
2-(3,4,5-триметоксифенил)-этиламин | ||
| Хим. формула | C11H17NO3 | ||
| Физические свойства | |||
| Молярная масса | 211,26 г/моль | ||
| Плотность | 1.067 г/см³ | ||
| Термические свойства | |||
| Температура | |||
| • плавления | 128—130 °C | ||
| • кипения | 312 °C | ||
| • воспламенения | 145 °C | ||
| Химические свойства | |||
| Растворимость | |||
| • в воде | растворим (мескалина гидрохлорид); умеренно растворим (основание); слабо растворим (дигидрат сульфата) | ||
| Классификация | |||
| Рег. номер CAS | 54-04-6 | ||
| PubChem | 4076 | ||
| Рег. номер EINECS | 200-190-7 | ||
| SMILES | |||
| InChI | |||
| ChEBI | 28346 | ||
| ChemSpider | 3934 | ||
| Безопасность | |||
| Токсичность | LD50 | ||
| Приведены данные для стандартных условий (25 °C, 100 кПа), если не указано иное. | |||


Мескали́н — психоделик, энтеоген из класса фенилэтиламинов.[1] Один из старейших известных галлюциногенов и исходное соединение психоделических фенилэтиламинов, одного из трёх основных подклассов психоделических соединений.
В небольших количествах содержится в кактусах рода Lophophora (Lophophora williamsii) и Эхинопсис (Echinopsis pachanoi, Echinopsis peruviana)[2][3].
История
Это один из самых древних известных галлюциногенов, применение которого насчитывает 5700 лет[4]. О свойствах некоторых кактусов издавна знали индейцы различных племён и употребляли эти растения во время религиозных церемоний.
Впервые в чистом виде мескалин был выделен из кактуса пейот (Lophophora williamsii) 23 ноября 1897 немецким химиком Артуром Хеффтером (кроме пейота, мескалин содержится также в кактусах Сан-Педро Echinopsis pachanoi, которые более популярны, нежели пейот, так как вырастают быстрее последнего). Позднее, в 1919 году, Эрнст Шпет впервые синтезировал мескалин химическим путём[5].
В 1927 году в Германии был опубликован первый научный труд, посвященный психофизиологическим эффектам мескалина «Der Meskalinrausch».
В мае 1953 года Олдос Хаксли впервые употребляет мескалин в дозе 400 мг и в 1954 году публикует эссе «Двери восприятия», описывающее его эксперимент[6].
Мескалин — важная часть жизни и работы Александра Шульгина. Он использовал мескалин в качестве отправной точки для синтеза десятков новых психоделических фенилэтиламиновых соединений, таких как семейства 2C-x и DOx, о которых написал в своей книге «PiHKAL»[7]
Фармакология
Мескалин является агонистом серотониновых рецепторов 5-HT2A и 5-HT2C[8]. Он также оказывает воздействие через агонистическое связывание с норадреналиновыми α1A/2A и дофаминовыми D1/2/3 рецепторами. В целом, мескалин оказывает анксиолитическое действие на животных и улучшает просоциальное поведение, локомоцию и реактивность. У людей мескалин может вызывать эйфорию, галлюцинации, улучшение самочувствия и психического состояния, а также психотомиметические эффекты в натуралистической или религиозной обстановке[4].
Дозировка и продолжительность
Средняя дозировка для перорального применения у мескалина гидрохлорида составляет 300 мг. Эффект начинает проявляться через 45—60 минут после употребления. Пик активности длится около 4 часов, после чего происходит спад продолжительностью также 4 часа. Сульфат мескалина немного менее активен при той же дозе.
Эффекты
Психотропные эффекты
- галлюцинации с открытыми или закрытыми глазами;
- заторможенность действий;
- изменение мыслительного процесса;
- иррациональность мыслительного процесса;
- мистические переживания;
- ускоренность мыслительного процесса;
- эйфория.
Побочные эффекты
- головная боль;
- головокружение;
- диспептические расстройства (рвота);
- ощущение жара или холода (озноб);
- расширение зрачков;
- спутанность сознания;
- сухость слизистых оболочек, сухость во рту;
- тахикардия;
- чувство беспричинной тревоги или страха.
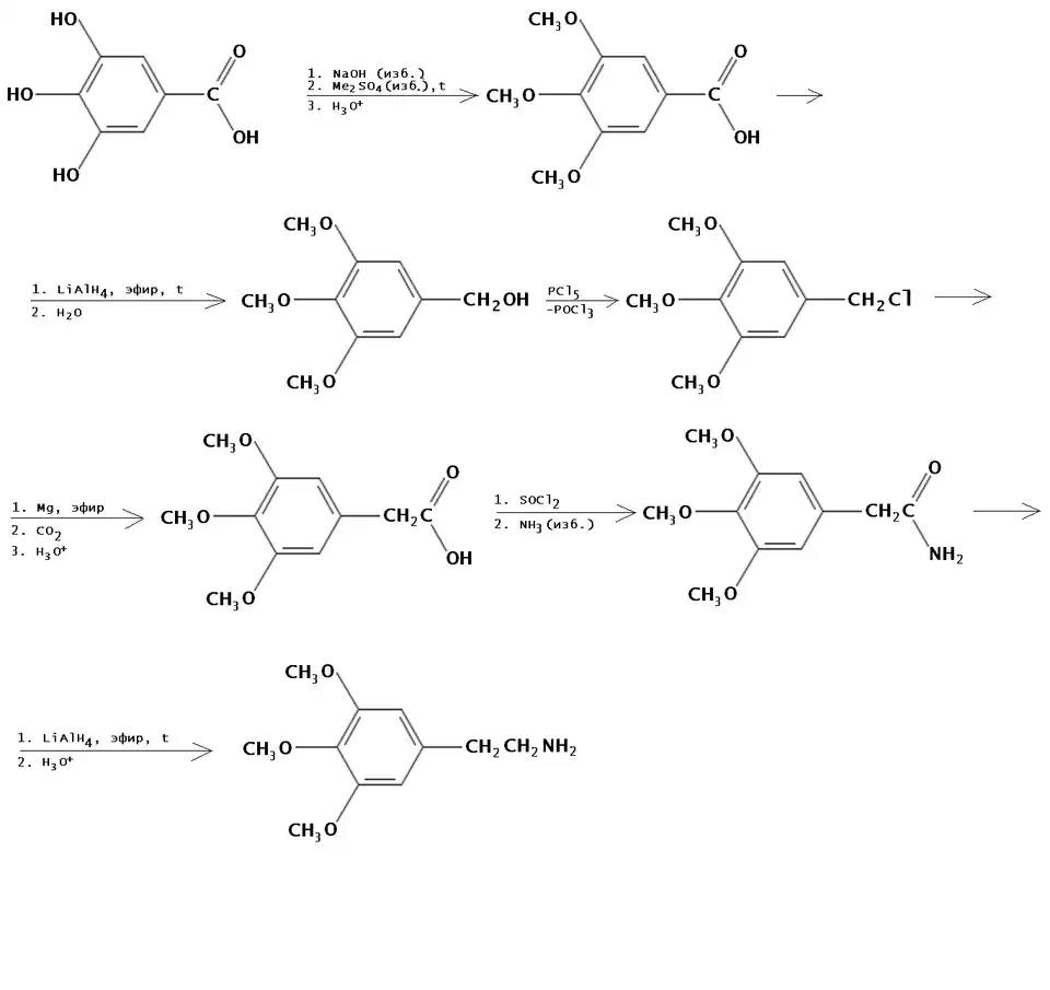
Получение
Синтезируется искусственным путём из галловой кислоты, также может быть синтезирован из ванилина[9].
Получается из галловой кислоты и приведённых на схеме реагентов[10]:
.png)
Правовой статус
В большинстве стран производство и распространение мескалина запрещено законом (в том числе и в России).
В России
Мескалин находится в списке I наркотических средств, запрещённых в Российской Федерации. Для целей 228, 228.1, 229 и 229.1 УК РФ значительным размером мескалина и его производных считается 0,5 г, крупным — 2,5 г, особо крупным — 500 г[11].
В США
В США мескалин, как и пейот, находится в Списке I (англ. Schedule I). Это значит, что продажа, покупка, хранение, владение и распространение этих веществ без лицензии Управления по борьбе с наркотиками запрещены. Другие кактусы, содержащие мескалин, такие как Сан Педро, тоже контролируются.
См. также
Примечания
- ↑ David E. Nichols. Psychedelics (англ.) // Pharmacological Reviews. — 2016-04. — Vol. 68, iss. 2. — P. 264–355. — doi:10.1124/pr.115.011478. Архивировано 8 апреля 2025 года.
- ↑ mescaline | Ligand page | IUPHAR/BPS Guide to PHARMACOLOGY. www.guidetopharmacology.org. Дата обращения: 5 апреля 2025. Архивировано 7 февраля 2025 года.
- ↑ Mescaline - an overview | ScienceDirect Topics. www.sciencedirect.com. Дата обращения: 5 апреля 2025. Архивировано 17 марта 2024 года.
- 1 2 Ioanna A. Vamvakopoulou, Kelly A. D. Narine, Ian Campbell, Jason R. B. Dyck, David J. Nutt. Mescaline: The forgotten psychedelic // Neuropharmacology. — 2023-01-01. — Т. 222. — С. 109294. — ISSN 0028-3908. — doi:10.1016/j.neuropharm.2022.109294. Архивировано 12 ноября 2024 года.
- ↑ Manske & Holmes. [www.erowid.org/archive/rhodium/chemistry/mescaline.alkaloids.html The Alkaloids] (неопр.) // Academic Press. — Erowid.org, 1953. — Т. 3. — С. 324—328.
- ↑ Джей Стивенс «Штурмуя небеса». Дата обращения: 29 сентября 2013. Архивировано 12 мая 2014 года.
- ↑ Alexander T. Shulgin, Ann Shulgin. Pihkal: a chemical love story. — 1. ed., 8. print. — Berkeley: Transform, 2010. — 978 с. — ISBN 978-0-9630096-0-9.
- ↑ Aaron P. Monte, Steve R. Waldman, Danuta Marona-Lewicka, David B. Wainscott, David L. Nelson, Elaine Sanders-Bush, David E. Nichols. Dihydrobenzofuran Analogues of Hallucinogens. 4. Mescaline Derivatives (англ.) // Journal of Medicinal Chemistry. — 1997-09-01. — Vol. 40, iss. 19. — P. 2997–3008. — ISSN 0022-2623. — doi:10.1021/jm970219x. Архивировано 17 января 2025 года.
- ↑ Makepeace U. Tsao. A New Synthesis of Mescaline // Journal of the American Chemical Society. — 1951-11-01. — Т. 73, вып. 11. — С. 5495–5496. — ISSN 0002-7863. — doi:10.1021/ja01155a562. Архивировано 17 января 2025 года.
- ↑ A New Synthesis of Mescaline Journal of the American Chemical Society (acs.org)
- ↑ Постановление от 1 октября 2012 г. № 1002 об утверждении значительного, крупного и особо крупного размеров наркотических средств и психотропных веществ. Дата обращения: 14 ноября 2017. Архивировано 14 ноября 2017 года.
Литература
- Данилов М., Либерман Ю., Пятигорский А., Сегал Д., Успенский Б. Предварительное сообщение об опыте семиотического исследования речевого потока под действием мескалина // Труды по знаковым системам. 2. 1965


