Гуанозиндифосфат

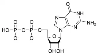
Гуанозиндифосфат (ГДФ, GDP,) — нуклеотид, эфир пирофосфорной кислоты с гуаниловым нуклеозидом. ГДФ состоит из пирофосфата, сахара пентозы рибозы и азотистого основания гуанина[1].
ГДФ — продукт дефосфорилирования ГТФ ГТФазами, например, в реакциях передачи сигнала G-белками[2].
В клетке ГДФ превращается в ГТФ ферментом пируваткиназой, дополнительная фосфатная группа переносится с молекулы фосфоенолпирувата.