Урацил
| Урацил | |
|---|---|
| |
| Общие | |
| Систематическое наименование |
Пиримидин-2,4(1H,3H)-дион |
| Хим. формула | C4H4N2O2 |
| Физические свойства | |
| Состояние | твёрдое |
| Молярная масса | 112,08676 г/моль |
| Плотность | 1,32 г/см³ |
| Термические свойства | |
| Температура | |
| • плавления | 339 ± 0 °C[1] и 330 °C[2] |
| • разложения | 335[3] |
| Химические свойства | |
| Константа диссоциации кислоты | 9,45[4] |
| Классификация | |
| Рег. номер CAS | 66-22-8 |
| PubChem | 1174 |
| Рег. номер EINECS | 200-621-9 |
| SMILES | |
| InChI | |
| RTECS | YQ8650000 |
| ChEBI | 17568 |
| ChemSpider | 1141 |
| Безопасность | |
| NFPA 704 | |
| Приведены данные для стандартных условий (25 °C, 100 кПа), если не указано иное. | |
Урацил (2,4-диоксипиримидин) — пиримидиновое основание, которое является компонентом рибонуклеиновых кислот и, как правило, отсутствует в дезоксирибонуклеиновых кислотах, входит в состав нуклеотида. В составе нуклеиновых кислот может комплементарно связываться с аденином, образуя две водородные связи[5].
Физические свойства
Белое аморфное вещество или иглоподобные кристаллы, растворимые в горячей воде[6].
Химические свойства
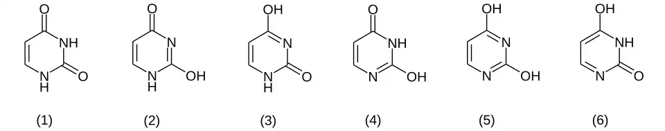
Обладает амфотерными свойствами, способен к таутомерии[6].
Возможные таутомеры:

История открытия
Впервые обнаружен в 1900 году в продуктах расщепления нуклеиновых кислот из дрожжей[6].
Примечания
- ↑ CRC Handbook of Chemistry and Physics (англ.) / W. M. Haynes — 97 — Boca Raton: 2016. — P. 3—546. — ISBN 978-1-4987-5428-6
- ↑ Bradley J., Williams A., Andrew S.I.D. Lang Jean-Claude Bradley Open Melting Point Dataset — 2014. — doi:10.6084/M9.FIGSHARE.1031637.V2
- ↑ Richard L. Myers, Rusty L. Myers: The 100 most important chemical compounds, 92-93 link Архивная копия от 13 августа 2019 на Wayback Machine
- ↑ CRC Handbook of Chemistry and Physics (англ.) / W. M. Haynes — 97 — Boca Raton: 2016. — P. 5—97. — ISBN 978-1-4987-5428-6
- ↑ Кнорре Д. Г., Мызина С. Д. Биологическая химия. — 3. — М.: Высшая школа, 2000. — 479 с. — 7000 экз. — ISBN 5060037207.
- 1 2 3 Большая Советская Энциклопедия
Литература
- Кнорре Д. Г., Мызина С. Д. Биологическая химия. — 3. — М.: Высшая школа, 2000. — 479 с. — 7000 экз. — ISBN 5060037207.
- Альбертс Б., Брей Д., Льюис Дж., Рэфф М., Робертс К., Уотсон Дж. Молекулярная биология клетки: в трёх томах. — 2. — М.: Мир, 1994. — Т. 1. — 517 с. — 10 000 экз. — ISBN 5030019855.
- Марри Р., Греннер Д., Мейес П., Родуэлл В. Биохимия человека: в двух томах. — М.: Мир, 2004. — Т. 1. — 381 с. — 2000 экз. — ISBN 5030036008.

