Паральдегид
| Паральдегид | |
|---|---|
| |
| |
| Общие | |
| Систематическое наименование |
2,4,6-триметил-1,3,5-триоксан |
| Традиционные названия | паральдегид; параацетальдегид |
| Хим. формула | С6H12O3 |
| Рац. формула | C6H12O3 |
| Физические свойства | |
| Состояние | бесцветная жидкость |
| Молярная масса | 132,16 г/моль |
| Плотность | 0,9934 г/см³ |
| Термические свойства | |
| Температура | |
| • плавления | 10,5; 12,6 °C |
| • кипения | 124,4 °C |
| Химические свойства | |
| Растворимость | |
| • в воде | 1213; 5,88100 г/100 мл |
| Оптические свойства | |
| Показатель преломления | 1,4049 |
| Структура | |
| Дипольный момент | 1,92 Д |
| Классификация | |
| Рег. номер CAS | 123-63-7 |
| PubChem | 31264 |
| Рег. номер EINECS | 204-639-8 |
| SMILES | |
| InChI | |
| ChEBI | 27909 |
| ChemSpider | 21106173 |
| Приведены данные для стандартных условий (25 °C, 100 кПа), если не указано иное. | |
Паральдегид — органическое соединение, циклический тример ацетальдегида, бесцветная жидкость, растворимая в воде и органических растворителях.
Получение
- Полимеризация ацетальдегида при 20°С в присутствии минеральных кислот.
Физические свойства
Паральдегид — бесцветная жидкость, растворимая в воде.
Бесконечная растворимость в этаноле, диметиловом эфире и хлороформе.
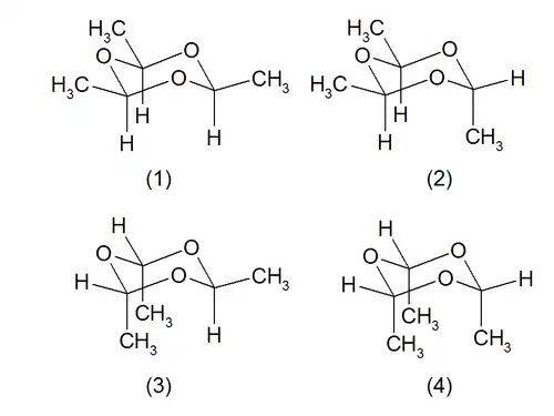
Молекула паральдегида может иметь четыре стереомерных форм, из которых структуры (1) и (2) известны как цис- и транс-паральдегид. Стереоизомеры (3) и (4) не реализуются из-за стерических препятствий.
Химические свойства
- При нагревании с небольшими добавками кислоты разлагается на мономеры — ацетальдегид.
- При бромировании получается трибромацетальдегид:
Применение
- В фармакологии как успокоительное, противосудорожное.
- Растворитель.
- Консервант.
- В производстве пластмасс.
Литература
- Химическая энциклопедия / Редкол.: Кнунянц И.Л. и др.. — М.: Советская энциклопедия, 1988. — Т. 1. — 623 с.
- Справочник химика / Редкол.: Никольский Б.П. и др.. — 3-е изд., испр. — Л.: Химия, 1971. — Т. 2. — 1168 с.
- Несмеянов А. Н., Несмеянов Н. А. Начала органической химии. В 2-х томах. — 2-е изд., пер. — М.: «Химия», 1974. — Т. 1. — 624 с.

